Computer analysis and rapid assessment of data obtained by measuring residual stresses after vibration-hardening of samples
- Autores: Galimov E.R.1, Tyurin A.V.1, Gimbitsky A.1
-
Afiliações:
- Kazan National Research Technical University named after A.N. Tupolev – KAI
- Edição: Volume 19, Nº 2 (2023)
- Páginas: 68-74
- Seção: New materials and technology
- ##submission.dateSubmitted##: 23.03.2024
- ##submission.datePublished##: 19.07.2023
- URL: https://ogarev-online.ru/1816-9228/article/view/253720
- DOI: https://doi.org/10.18822/byusu20230268-74
- ID: 253720
Citar
Texto integral
Resumo
Subject of research: is the use of computer analysis in measuring residual stresses. The purpose of the study is to create a program for evaluating and clustering numerical data obtained during the measurement of residual stresses.
Object of research: is a computer model of experimental data processing. This model uses a modified order of approximation of data received from sensors.
Main results of research: a program of computer analysis and rapid evaluation of numerical data has been developed. With the help of a software product, in the R programming language, calculated and experimental data are processed automatically. In the structure of the mathematical model for calculating residual stresses, a principle of a different order of approximation is introduced, which approximates not the result of multi-stage calculations, but the data obtained from sensors. This solution makes it possible to reduce the error of calculations and increase the adequacy of the model as a whole, and the developed program makes it possible to quickly evaluate the measurement results.
Texto integral
Введение
В результате упрочнения поверхностного слоя металлов поверхностным наклепом (виброударным методом) возникают технологические остаточные напряжения. Остаточными технологическими напряжениями называют напряжения, которые существуют в деталях при отсутствии внешних воздействий. Основой в определении остаточных напряжений является метод, разработанный Давиденковым Н.Н. и Биргером И.А. [1, 2].
Программа компьютерного анализа, рассматриваемая в данной работе, построена на языке R. Язык R является языком программирования, который используется в целях статистической обработки данных и работой с графическим компонентом. Данный язык является свободной программной средой вычисления с открытым исходным кодом.
Результаты и обсуждение
Представленная методика компьютерного анализа и экспресс-оценки данных регламентирует процесс определения остаточных напряжений в образцах, вырезанных из лонжерона, после виброударного упрочнения. Лонжерон должен иметь технологический паспорт с отметкой БТК о приемке его по операциям механической обработки и результатов испытаний образцов, изготовленных из сплава АВ-Т1.
В современной среде промышленным предприятиям необходимо внедрять информационные системы, которые способны обеспечить запросы сотрудников, занимающихся как решением текущих вопросов при работе с оборудованием, так и определением путей стратегического развития деятельности организации. Работа элементов такой системы должна направляться на структурирование фундамента для быстрого реагирования на изменение условий, а также для оперативного и стратегического планирования.
Недостаток подобных систем ведёт к снижению конкурентоспособности, а иногда может оказаться фактором выживания на рынке. При постановке стратегических задач, организации испытывают острую необходимость в комплексном представлении процесса обеспечения формирования и развития программных продуктов организации.
Вопросы измерения и анализа остаточных напряжений были изучены И.А. Биргером, Н.Н. Давиденковым, С.П. Буркиным, H.E. Jaramillo S, F.J. Belzunce и другими учеными [1, 2, 4–7].
Анализ экспериментальных данных, а также цифровизация и автоматизация процессов были рассмотрены С.Д. Бодруновым и другими учеными [3].
В настоящее время существует множество программных пакетов для компьютерного анализа, среди которых выделяются SPSS, SAS и MatLab. Однако, наряду с высокой конкуренцией, R стал одним из самых используемых программных продуктов в статистическом анализе среди научных публикаций.
Одним из вариантов сортировки информации является кластерный анализ. Кластерный анализ представляет собой набор разнообразных алгоритмов классификации. Техника кластеризации применяется в самых разнообразных областях науки и техники.
Рассмотрим применение языка программирования R для компьютерного анализа остаточных напряжений в образцах из сплава АВ-Т1.
R – это специальная среда вычислений, разработанная для обработки данных, математического моделирования, а также работы с графикой.
Разработанный нами алгоритм на языке программирования R позволяет производить компьютерный экспресс-анализ числовых массивов информации. В рамках компьютерного анализа программа в автоматическом режиме работает с числовыми значениями количественной информации по всему массиву (рисунок 1), а также строит эпюру остаточных напряжений в разных вариантах визуализации, с функцией кластерного анализа.
На рисунке 1 представлен фрагмент рабочей области программы, в котором реализован экспресс-анализ массива данных. Программа определяет минимальные, средние, максимальные значения из любых массивов количественной информации, и средние квадратичные отклонения результатов.
Рисунок 1 – Реализация алгоритма анализа данных
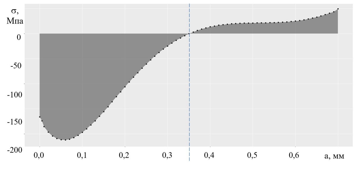
Программное обеспечение в автоматизированном режиме строит эпюру аппроксимированных значений остаточных напряжений по глубине упрочнённого слоя образца.
Рисунок 2 – Эпюра остаточных напряжений
Как мы знаем, эпюра позволяет судить о величине остаточных напряжений в пределах упрочнённого слоя. При этом глубина упрочнённого слоя (ан) определяется точкой пересечения значения на эпюре остаточных напряжений. В основу определения остаточных напряжений положен метод, разработанный Биргером И.А. и Давиденковым Н.Н. [1, 5].
С точки зрения анализа результатов нас особенно интересует группа значений, которая располагается в непосредственной близости к . Ввиду этого, было принято решение отобразить в алгоритме расчет интересующих нас показателей и принять число кластеров . Результат автоматического кластерного анализа представлен на рисунке 3.
Рисунок 3 – Кластеризация результатов измерения остаточных напряжений
В качестве альтернативного варианта визуализации эпюры остаточных напряжений мы предлагаем вариант гистограммы, изображенной на рисунке 4. В данном случае выбор цвета осуществляется программой автоматически, однако при необходимости мы можем задать необходимые нам цвета, и/или их оттенки.
Следует заметить, что алгоритм обработки данных универсален, и применим для других вариантов количественной информации. При изменении технического задания, программа может подлежать корректировке и отладке для другого спектра задач.
Рисунок 4 – Альтернативная визуализация эпюры напряжений
Заключение и выводы
В исследовании разработана программа компьютерного анализа и экспресс-оценки числовых данных. С помощью программного продукта, на языке программирования R, в автоматическом режиме обработаны расчетные и экспериментальные данные. В структуре математической модели вычисления остаточных напряжений введен принцип иного порядка аппроксимации, который аппроксимирует не результат многоступенчатых вычислений, а данные, полученные с датчиков. Данное решение позволяет снизить погрешность вычислений и повысить адекватность модели в целом, а разработанная программа дает возможность быстро оценить результаты измерений.
Программа позволят производить компьютерный анализ данных (рисунок 1), построение необходимых графиков (рисунки 2, 4), кластеризацию (рисунок 3) и сортировку числовых данных по требуемым критериям. В данном эксперименте глубина упрочненного слоя была определена как ан = 0,355 мм. Анализ серии проведенных экспериментов позволяет сделать заключение о том, что погрешность при вычислении остаточных напряжений и построении эпюры снижается в среднем своем значении на 8,4%. На данный момент осуществляется работа над усовершенствованием алгоритма, с добавлением компонента глубокого анализа данных, а также стратегического анализа поведения требуемых параметров от компонентного состава материала, параметров тока, состава электролита, а также других параметров системы, необходимых в решении конкретных задач.
Sobre autores
Engel Galimov
Kazan National Research Technical University named after A.N. Tupolev – KAI
Autor responsável pela correspondência
Email: 89871726737@mail.ru
Doctor of Technical Sciences, Professor, Head of the Department of Materials Science, Welding and Industrial Safety, Institute of Aviation, Ground Transport and Energy
Rússia, KazanAndrey Tyurin
Kazan National Research Technical University named after A.N. Tupolev – KAI
Email: kai.tyurin@gmail.com
Postgraduate Student, Assistant of the Department of Materials Science, Welding and Industrial Safety, Institute of Aviation, Ground Transport and Energy
Rússia, KazanArtur V. Gimbitsky
Kazan National Research Technical University named after A.N. Tupolev – KAI
Email: avgimbitskiy@kai.ru
Associate Professor of the Department of Heat Engineering and Power Engineering, Institute of Aviation, Ground Transport and Energy
Rússia, KazanBibliografia
- Биргер, И. А. Остаточные напряжения / И. А. Биргер. – М. : Машгиз, 1963. – 232 с. – Текст : непосредственный.
- Биргер, И. А. Расчет на прочность деталей машин: справочник / И. А. Биргер, Б. Ф. Шор, Б. Иосилевич. – М. : Машиностроение, 1993. – 640 с. – Текст : непосредственный.
- Бодрунов, С. Д. Интеграция производства, науки и образования как основа реиндустриализации российской экономики / С. Д. Бодрунов. – Текст : непосредственный // Экономическое возрождение России. – 2015. – № 1 (43). – С. 7-22.
- Буркин, С. П. Остаточные напряжения в металлопродукции / С. П. Буркин, В Шимов., Е. А. Андрюкова. – Текст : непосредственный // Екатеринбург : Издательство Уральского университета, 2015. – 239 с.
- Давиденков, Н. Н. К вопросу о классификации и проявлении остаточных напряжений / Н. Н. Давиденков. – Текст : непосредственный // Заводская лаборатория. – 1959. – № 3. – С. 318–319.
- Jaramillo S, H. E.; de Sánchez, N.A.; Avila D, J.A. Effect of the shot peening process on the fatigue strength of SAE 5160 steel. Proc. Inst. Mech. Eng. Part C J. Mech. Eng. Sci. 2018, 0954406218816349 [CrossRef].
- Segurado, E. Effects of low intensity shot peening treatments applied with different types of shots on the fatigue performance of a high-strength steel / F. J. Belzunce, I. F. Pariente // Surf. Coat. Technol. – 2018, 340, pp. 25–35. [CrossRef].
- Кирпичёв, В. А. Конечно-элементное моделирование поверхностного слоя деталей, подвергаемых упрочнению методами поверхностного пластического деформирования / В. А. Кирпичёв, А. С. Букатый, В. К. Шадрин, Н. И. Яковенко. – Текст : непосредственный // Математическое моделирование и краевые задачи: МЗЗ 4.1: Математические модели механики, прочности и надёжности элементов конструкций. – Самара : СамГТУ, 2009. – С. 121-122.
- Кирпичёв, В. А. Исследование степени наклёпа и сопротивления усталости сплава ЭИ 968 после упрочнения стеклянными и стальными микрошариками / В. А. Кирпичёв, А. А. Иванов, А. С. Букатый, О. Ю. Семёнова. – Текст : непосредственный // Международная научно-техническая конференция «Проблемы и перспективы развития двигателестроения» : в 2-х ч. – Самара: СГАУ, 2009. – Ч. 2. – С. 180-181.
- Букатый, С. А. Автоматизированный прибор для определения остаточных напряжений / С. А. Букатый, А. С. Букатый. – Текст : непосредственный // Ташкент, «Янгиасравлоди». Республика Узбекистан. Сб. научных статей Международной научно-практ. конференции «Инновация-2008», 2008. – С. 275-276.
- Макаров, В. Ф. Применение методов ППД при обработке деталей ГТД / В. Ф. Макаров, А. С. Горбунов. – Текст : непосредственный // Материалы Всеросс. Научно-практической конференции «Наукоемкие технологии в машиностроении», Ишимбай, 10-12 июня 2012 г., с. 12-13.
- Лабутин, А. Ю. Исследование изменения шероховатости поверхности лопаток авиадвигателей в ходе её модификации при пневмогидроструйной обработке в среде жидкости / А. Ю. Лабутин, А. В. Тюрин. – Текст : непосредственный.// Тезисы докл. АКТО – 2014.
- Лабутин, А. Ю. Патент RU 2211755 C2 МПК 7 B 24C 5/04, опуб. 10.09.2003 бюл. № 25. Эжектор для пневмогидроструйной обработки деталей.
- Лабутин Ю. П., Устройство для упрочнения контрольных пластин / Р. М. Халимулин, В. И. Горинов, А. Ю. Лабутин // Патент РФ № 2068333 С1. Кл. 6 В 24 С 3/00. Опубл. 27.10.96 бюл. № 30.
Arquivos suplementares





