Имитационный анализ OLG-модели с гетерогенными предпочтениями и способностями к обучению
- Авторы: Шпилевая А.Е.1, Полбин А.В.1, Синельников-Мурылев С.Г.2
-
Учреждения:
- Институт экономической политики им. Е.Т. Гайдара
- Всероссийская академия внешней торговли
- Выпуск: Том 28, № 1 (2024)
- Страницы: 44-80
- Раздел: Статьи
- URL: https://ogarev-online.ru/1813-8691/article/view/284670
- DOI: https://doi.org/10.17323/1813-8691-2024-28-1-44-80
- ID: 284670
Цитировать
Полный текст
Аннотация
Данная публикация является продолжением статьи[1] соавторов, посвященной разработке OLG-модели с сектором высшего образования для репрезентативной страны, где сдается единый государственный экзамен. Ключевыми предпосылками модели, отличающими ее от ряда других, являются гетерогенность индивидов по параметру несклонности к риску, коэффициенту дисконтирования и набираемым баллам ЕГЭ. На основе предложенной модели можно исследовать реакцию ключевых макроэкономических показателей, таких как потребление, инвестиции, государственные расходы и выпуск в ответ на различные меры государственной политики в области высшего образования. В этой части работы проводится численное имитационное моделирование на основе спецификации, предложенной авторами в предыдущей статье. В работе анализируются различные сценарии государственной политики, направленные на стимулирование накопления человеческого капитала. Рассматриваются сценарии с выделением государством дополнительных денежных средств на высшее образование, иным распределением бюджетных ассигнований, изменением налоговых ставок и структуры бюджета. Также мы анализируем реакцию переменных на изменение дисперсии заработных плат индивидов. Калибровка модели проводится с использованием российских статистических данных. С помощью предлагаемой модели мы показываем важность учета микрооснований в анализе образовательной политики. Анализ на устойчивость оценок на примере калибровки распределений гетерогенных параметров из альтернативных распределений показал сильную чувствительность результатов исследования к выбору параметров функций распределения предпочтений и способностей индивидов, что указывает на необходимость корректного учета гетерогенности в рассматриваемых задачах. Без корректного учета гетерогенности в рассматриваемых задачах никакие оценки сценариев изменения образовательной политики не могут быть адекватными.
[1] См.: Экономический журнал ВШЭ, т. 27, № 3, с. 449–469.
Полный текст
1. Введение
В предыдущей статье [Шпилевая и др., 2023] была формализована модель перекрывающихся поколений с гетерогенными предпочтениями и сектором высшего образования для репрезентативной страны, где сдается единый государственный экзамен (ЕГЭ). В модель включены 4 блока: индивиды, фирмы, образовательное учреждение и государство. Мы рассматриваем поведение индивидов, начиная с момента окончания ими среднего общего образования и сдачи ЕГЭ. В начале жизни индивиды принимают эндогенное решение об уровне образования. В рамках серьезных упрощающих предпосылок рассматривается только два уровня образования: среднее и высшее (бакалавриат) без разделения на среднее общее и среднее специальное. В течение жизни индивиды накапливают активы, на которые живут в нетрудоспособном возрасте. Альтруистические связи между поколениями отсутствуют, все индивиды в начале жизни обладают нулевыми активами. Фирмы производят блага и услуги в условиях конкуренции и максимизируют прибыль. Образовательное учреждение представляет всю систему образования в целом и не учитывает межвузовские и региональные различия в образовании, размеры вузов и их качество. Образовательное учреждение обеспечивает выпуск индивидов с высшим образованием. Государство взимает налоги, которые распределяет на трансферты и государственные расходы, а также обеспечивает финансирование бюджетных мест в вузе. Рассматриваемая модель является моделью закрытой экономики.
Ключевыми предпосылками модели, отличающими ее от ряда других, являются гетерогенность индивидов по параметру несклонности к риску, коэффициенту дисконтирования и набираемым баллам ЕГЭ. Необходимость учета гетерогенности индивидов в отношении параметра несклонности к риску связана с тем, что образование – это благо, приобретение и использование которого сопряжено с рисками. Колебания доходов в течение жизненного цикла, возникающие в результате случайных факторов, порождают для индивида колебания потребления, которые он стремится минимизировать. И чем больше степень неприятия риска, тем больше он предпочитает пусть меньшее, но детерминированное потребление, большему ожидаемому, но недетерминированному потреблению. В случае, если индивиды являются несклонными к риску, неопределенность в будущих доходах и расходах может сдерживать инвестиции в человеческий капитал, если накопление человеческого капитала ведет к росту вариации дохода.
Получение образования предполагает получение долгосрочных и отложенных во времени выгод, что обусловливает необходимость учета гетерогенности индивидуальных коэффициентов дисконтирования. Более смещенные к настоящему индивиды, т.е. те, кто больше ценит текущее потребление, чем потребление в будущем, могут быть не заинтересованы в получении высшего образования, расходы на получение которого они понесут сегодня.
Третий фактор, который мы включаем в анализ, – способности к обучению индивида, которые коррелируют с баллами за экзамены. Индивиды с низкими способностями могут быть не заинтересованы в получении высшего образования ввиду более низкой отдачи от него как из-за низких способностей, так и из-за невозможности поступить на места, финансируемые за счет государства.
Таким образом, в настоящей работе предлагается модель общего равновесия с перекрывающимися поколениями и сектором высшего образования, в которой учитываются различия в межвременных предпочтениях, способностях к обучению, измеряемых количеством баллов ЕГЭ, а также в гетерогенном отношении к риску. На основе предложенной модели можно исследовать реакцию ключевых макроэкономических показателей, таких как потребление, инвестиции, государственные расходы и выпуск в ответ на различные меры государственной политики в области высшего образования. В этой статье мы производим численное имитационное моделирование и изучаем, как различные экономические условия влияют на накопление человеческого капитала и макроэкономические показатели в равновесии.
С помощью предлагаемой модели мы показываем важность учета микрооснований в анализе образовательной политики. Для учета этих микрооснований нужно предположить гетерогенность индивидов. Модель демонстрирует существенную зависимость оценок результатов образовательной политики от индивидуальной склонности к риску, предпочтений потребления во времени и гетерогенности способностей. Оценка эффективности любых решений в области образования критически зависит от предпосылок, определяющих значения этих параметров и характеристики распределения их вероятности. Уже на данном уровне агрегированного описания сектора образования во взаимосвязи с макроэкономической динамикой разработанная модель показывает существенную чувствительность результатов различных стратегий реформирования к фундаментальным поведенческим параметрам индивидов, фирм и государства. Гетерогенность индивидов сильно воздействует на агрегированный отклик, получаемый в ответ на изменение политики в области образования. Изменение (или отсутствие учета) этих параметров (склонность к риску, предпочтения потребления во времени, различия в способностях к учебе) может привести к серьезным ошибкам в оценке эффективности реформ или даже свести на нет все реформаторские усилия.
В этой части статьи мы сначала приводим краткий обзор тенденций в сфере среднего и высшего образования в России, который позволяет сформировать некоторое представление об исследуемой системе образования. Затем приводится описание процедуры калибровки параметров. В конце приводятся результаты численного имитационного моделирования для различных сценариев образовательной политики и анализ чувствительности этих результатов.
2. Краткий обзор/статистическое описание тенденций в сфере среднего/высшего образования в РФ
В российской системе образования можно выделить несколько уровней: общее, среднее профессиональное, высшее профессиональное и аспирантура. В рамках высшего профессионального образования выделяют бакалавриат, специалитет, магистратуру, подготовку кадров высшей квалификации по программам ординатуры и программам ассистентуры-стажировки. В последние годы как численность студентов, обучающихся по программам бакалавриата, специалитета, магистратуры, так и выпуск стабильно снижаются. Скорее всего данная тенденция отражает именно снижение спроса на высшее образование, а не является следствием демографических причин. Численность населения в возрасте 17–18 лет за рассматриваемый период как уменьшалась, так и увеличивалась, в то время как численность и выпуск студентов стабильно снижались (табл. 1).
Таблица 1.
Численность студентов и выпускников по источникам финансирования, тыс. человек
| 2015 г. | 2018 г. | 2019 г. | 2020 г. | 2021 г. |
Численность студентов | 4766,5 | 4161,7 | 4068,3 | 4049,3 | 4044,2 |
обучающихся за счет бюджетных ассигнований | 1933,6 | 1911,7 | 1890,1 | 1904,6 | 1934,6 |
обучающихся по договорам | 2832,9 | 2249,9 | 2178,2 | 2144,8 | 2109,6 |
Численность выпускников | 1300,5 | 933,2 | 908,6 | 849,4 | 813,3 |
обучившихся за счет бюджетных ассигнований | 536,1 | 406,5 | 413,3 | 405,8 | 393,6 |
обучившихся по договорам | 764,4 | 526,7 | 495,3 | 443,6 | 419,7 |
Источник: [Индикаторы образования, 2023].
Одновременно с этим растет доля людей, обучающихся за счет бюджетных ассигнований, к 2021 г. доли обучающихся на платной основе и за счет бюджета почти сравнялись (табл. 2).
Таблица 2.
Доля студентов и выпускников по источникам финансирования, %
| 2015 г. | 2018 г. | 2019 г. | 2020 г. | 2021 г. |
Доля студентов |
|
|
|
|
|
обучающихся за счет бюджетных ассигнований | 40,6 | 45,9 | 46,5 | 47,0 | 47,8 |
обучающихся по договорам | 59,4 | 54,1 | 53,5 | 53,0 | 52,2 |
Доля выпускников |
|
|
|
|
|
обучившихся за счет бюджетных ассигнований | 41,2 | 43,6 | 45,5 | 47,8 | 48,4 |
обучившихся по договорам об оказании платных образовательных услуг | 58,8 | 56,4 | 54,5 | 52,2 | 51,6 |
Источник: [Индикаторы образования, 2023].
По завершении среднего общего образования в 2021 г. 12% школьников предпочли выйти на рынок труда, а 68% продолжили обучение по программам бакалавриата и специалитета. В 2010 г. эти числа составляли 3 и 73% соответственно.
Доля людей в экономике, имеющих высшее образование, определяется на основе данных Росстата о структуре занятых по уровню образования и возрастным группам (табл. 3). В разных возрастных группах доля людей, имеющих высшее образование, неодинакова. Для старших поколений она существенно ниже, чем для современных молодых когорт. Мы будем рассматривать долю людей с высшим образованием в возрасте 25–29 лет, поскольку большинство людей в этой возрастной группе, если планировали получать высшее образование, то уже закончили учиться. Кроме того, они принимали решение о получении высшего образования не так давно, как другие возрастные группы, т.е. ориентировались на современную экономическую ситуацию. Для возрастной группы 25–29 лет эта доля равна 41,1%. Такой будет предполагаться доля людей с высшим образованием в рабочей силе в исходном долгосрочном равновесии в нашей модели.
В соответствии со статистикой Минобрнауки, мы будем предполагать, что в экономике 47,8% студентов учится за счет бюджетных средств по программам бакалавриата. На основе этого значения определено значение – величина баллов ЕГЭ, начиная с которых обучение индивида происходит за счет государства. Она подбирается таким образом, чтобы 47,8% индивидов в стационарном состоянии учились на бюджетных местах.
Таблица 3.
Структура занятых по уровню образования и возрастным группам в 2019 г.
| Всего | в том числе имеют образование | |||||
высшее | среднее профессиональное | среднее общее | основное общее | не имеют основного общего | |||
по программе подготовки специалистов среднего звена | по программе подготовки квалифицированных рабочих, служащих | ||||||
Занятые – всего | 100 | 34,2 | 25,6 | 19,4 | 16,9 | 3,7 | 0,2 |
в том числе в возрасте, лет: |
|
|
|
|
|
|
|
15–19 | 100 | 0,2 | 10,4 | 9,1 | 45,3 | 29,7 | 5,4 |
20–24 | 100 | 21,2 | 29,9 | 18 | 25,8 | 4,8 | 0,3 |
25–29 | 100 | 41,1 | 24 | 16,4 | 15,1 | 3,10 | 0,1 |
30–34 | 100 | 41 | 22,4 | 17,8 | 15,1 | 3,5 | 0,2 |
35–39 | 100 | 37,7 | 23,8 | 18,7 | 15,8 | 3,8 | 0,2 |
40–44 | 100 | 34,6 | 25,3 | 19,7 | 16,2 | 3,9 | 0,2 |
45–49 | 100 | 32,8 | 27,2 | 20,9 | 15,8 | 3,2 | 0,2 |
50–54 | 100 | 29,4 | 28,1 | 22,2 | 17,4 | 2,8 | 0,1 |
55–59 | 100 | 27,9 | 27,9 | 22,8 | 18,1 | 3,1 | 0,1 |
60–64 | 100 | 28,5 | 28,7 | 20,9 | 18,1 | 3,6 | 0,2 |
65–69 | 100 | 31,6 | 27,7 | 16,5 | 18,3 | 5,6 | 0,3 |
70 и старше | 100 | 36,3 | 21,2 | 10,7 | 15,9 | 12,6 | 3,3 |
население | 100 |
| 25 | 19,6 | 16,9 | 3,6 | 0,2 |
Источник: Росстат. Рабочая сила, занятость и безработица в России. 2020.
(https://rosstat.gov.ru/storage/mediabank/2EfrJGVJ/Rab_sila_2020.pdf )
Что касается минимального балла ЕГЭ , начиная с которого индивиды могут претендовать на обучение в вузах, то он рассчитывается исходя из минимальных баллов по отдельным предметам, устанавливаемых Минобрнауки (табл. 4).
Таблица 4.
Минимальные баллы ЕГЭ, 2021 г.
Предмет | Минимальные баллы для поступления, |
Русский язык | 40 |
Математика | 39 |
Физика | 39 |
Обществознание | 45 |
История | 35 |
Информатика и ИКТ | 44 |
Иностранный язык | 30 |
Литература | 40 |
Биология | 39 |
География | 40 |
Химия | 39 |
Источник: Минобрнауки.
При расчете мы исходим из того, что в большинстве случаев при приеме в вузы учитываются результаты трех экзаменов, среди которых математика, русский и предмет по выбору. Величину мы полагаем равной 118, складывая минимальные баллы за русский язык, математику и предмет по выбору. В качестве минимального балла предмета по выбору мы берем средний из минимальных баллов всех предметов по выбору.
3. Калибровка
3.1. Калибровка распределений параметров гетерогенности
3.1.1. Баллы ЕГЭ
Для оценки распределения баллов ЕГЭ обратимся к данным о результатах ЕГЭ в России в 2012 г. После 2012 г. подробная информация о баллах ЕГЭ по России доступна только на 2013 г. Однако результаты ЕГЭ в 2013 г. являются сильно искаженными ввиду утечки в интернет в этом году заданий и ответов экзамена. На основе данных о распределении баллов ЕГЭ в 2012 г. калибруются параметры усеченного нормального распределения для способностей в модели.
Важным является вопрос о релевантности используемых данных. В отчетах Федерального института педагогических измерений (ФИПИ) отмечается высокая стабильность распределения результатов ЕГЭ во времени по таким предметам, как русский язык, информатика, биология, история, география, иностранный язык, обществознание. Отчеты не дают информации об изменениях в распределении результатов ЕГЭ по литературе. Некоторые изменения происходили в распределении результатов ЕГЭ в экзамене по физике и по химии. С 2016 г. увеличивалась доля участников, набравших 0–40 баллов по физике и доля участников, набравших 61–100 баллов. Рост доли участников, набравших высокие баллы, отмечается и в отчете 2023 г. В последние годы характер распределения баллов по химии менялся незначительно, однако в 2020 г. наблюдалось увеличение доли выпускников, набравших низкие и высокие баллы за экзамен. Таким образом, можно сделать вывод о том, что распределение результатов ЕГЭ на протяжении рассматриваемых лет по большей части предметов было стабильным. Важно отметить, что за рассматриваемый период изменился экзамен по математике, который был разделен на базовый и профильный уровни. Дисперсия результатов по таким экзаменам, как математика, физика, химия, изменилась с 2012 г., и наш подход, предполагающий постоянство дисперсии результатов во времени, имеет ограничения, однако мы считаем его приемлемым в условиях изменения дисперсии только по части экзаменов. Анализ устойчивости результатов моделирования показывает, что с увеличением дисперсии баллов ЕГЭ снижается доля людей с высшим образованием в равновесии, что ведет и к снижению других макропеременных, таких как потребление, выпуск и др.
Согласно предпосылкам модели, индивиды сдают три экзамена. При этом для каждого индивида комбинация экзаменов будет различной. Предположим, что все индивиды сдают профильную математику и русский язык. Третий экзамен по выбору может быть любым. В нашем распоряжении имеются агрегированные данные о распределениях результатов ЕГЭ в 2012 г. По каждому сдаваемому предмету известно количество сдавших экзамен на 0–10 баллов, 11–20 и т.д. до 91–100 баллов. Для того чтобы понять, как будет распределена сумма результатов ЕГЭ по математике, русскому языку и предмету по выбору, мы проводим следующую процедуру. На первом шаге методом максимального правдоподобия оцениваются параметры нормального усеченного[1] на отрезке [0, 100] распределения. Затем на втором шаге проводится тест Колмогорова – Смирнова, сопоставляющий эмпирическую функцию распределения, которую мы имеем в данных, с функцией усеченного нормального распределения при оцененных параметрах. Согласно результатам теста, гипотеза о том, что функции распределения в данных являются функциями нормального усеченного распределения, не отвергается на 5-процентном уровне (расчетные статистики и критическое значение представлены в Приложении 1). На третьем шаге мы получаем распределение суммы баллов за 3 экзамена следующим образом: сначала суммируются случайные величины порождающих нормальных распределений (до усечения) по баллам каждого из трех экзаменов, далее полученное нормальное распределение усекается на отрезке [0, 300]. Важно отметить, что результаты экзаменов по разным предметам являются коррелированными величинами. Имея только агрегированные данные по каждому предмету, мы не можем установить коэффициент корреляции. Поэтому при суммировании трех случайных величин мы сделали предположение относительно величины коэффициента корреляции. В качестве базовой предпосылки мы приняли значение коэффициента корреляции 0,75[2]. Такая предпосылка означает, что если индивид получает высокие баллы по одному предмету, то достаточно вероятно, что он получает высокие баллы и по второму предмету. Могут быть предложены другие подходы к калибровке, которые позволят получить более точные распределения. Используемая нами калибровка приводится в качестве примера. При суммировании трех случайных нормальных коррелированных величин их матожидания складываются, а дисперсия представляет собой сумму дисперсий и удвоенных ковариаций случайных величин. Последние получаются умножением коэффициента корреляции (в отношении величины которого мы используем принятое предположение) на стандартные отклонения двух случайных величин.
Рассмотрим полученные функции плотности распределения суммы баллов ЕГЭ для всех возможных вариантов экзамена из математики, русского языка и предмета по выбору (рис. 1).
Примечание: М – математика, РЯ – русский язык, Ф – физика, Х – химия, ИКТ – информатика и ИКТ, Б – биология, И – история, Г – география, АЯ – английский язык, НЯ – немецкий язык, ФЯ – французский язык, ОБЩ – обществознание, ИЯ – испанский язык, Л – литература.
Рис. 1 (а, б). Плотность распределения баллов ЕГЭ за три экзамена (математика, русский язык и предмет по выбору) Источник: расчеты авторов.
Поскольку каждый набор из трех предметов характеризуется различными матожиданием и дисперсией, в качестве основного распределения мы рассматриваем среднее из представленных. Таким образом, предположив корреляцию на уровне 0,75, сумма баллов за три экзамена характеризуется нормальным усеченным распределением на отрезке [0, 300] с коэффициентом сдвига 163 (для неограниченного нормального распределения данный параметр совпадает со средним) и коэффициентом масштаба 47 (для неограниченного нормального распределения данный параметр совпадает со стандартным отклонением).
Рис. 2. Распределение баллов ЕГЭ за три экзамена (математика, русский язык и предмет по выбору) в модели Источник: расчеты авторов.
Изменение предпосылки о величине корреляции оказывает влияние на величину дисперсии искомого распределения. При более низкой корреляции дисперсия суммы баллов за три экзамена уменьшается. Влияние дисперсии на результаты моделирование мы отмечали выше: с увеличением дисперсии баллов ЕГЭ снижается доля людей с высшим образованием в равновесии, что ведет и к снижению других макропеременных, таких как потребление, выпуск и др.
3.1.2. Параметр отношения к риску θ
Данный раздел применяется для калибровки параметра несклонности к риску. Модель рисковых предпочтений, используемая в нашей статье, описана в работе [Шпилевая и др., 2023, с. 458–459]. В модели используется функция мгновенной полезности вида CRRA (1):
(1)
где каждому индивиду присуще индивидуальное значение коэффициента . В экономической теории этот коэффициент представляет собой меру относительной несклонности к риску. Степень несклонности к риску определяется степенью выпуклости вверх функции полезности, т.е. значением коэффициента .
В исследовании [Alan, Browning, 2010] авторы обнаруживают существенные различия в отношении к риску среди людей. Оценки параметра несклонности к риску распределены от 1 до 15, а среднее значение получилось равным 8,6. В работе [Barsky et al., 1997] параметр несклонности к риску распределен на отрезке 4–16, в статье [Guiso, Paiella, 2008] медианное значение коэффициента составляет 4,8, а 90% оценок сосредоточено в промежутке 2,2 и 10. Используя эти оценки, мы будем предполагать, что параметр распределен среди индивидов на промежутке [1, 10]. Поскольку распределение ограничено на отрезке, мы будем использовать функцию плотности вероятности бета-распределения. Исследования показывают, что плотность распределения этого параметра смещена влево. Наиболее часто используемым значением в моделях общего равновесия с гомогенным параметром является 2. Учитывая всю эту информацию, мы задаем плотность распределения параметра функцией плотности вероятности бета-распределения с математическим ожиданием 3,67 и дисперсией 1,44 (рис. 3). Дисперсия параметра подбиралась таким образом, чтобы модель воспроизводила основные макроэкономические показатели экономики России.
Рис. 3. Плотность распределения параметра несклонности к риску θ в модели
3.1.3. Коэффициент дисконтирования β
Данный раздел применяется для калибровки распределения параметра межвременных предпочтений, используемого в функции полезности индивида (3) [Шпилевая и др., 2023, с. 460]:
(2)
Индивиды предполагаются гетерогенными по этому параметру. Параметр отражает межвременные предпочтения индивида. Низкое значение означает сильное обесценение будущей полезности (индивид сильнее ценит сегодняшнее потребление), высокое значение – слабое обесценение. Если образование предполагает выгоды в отдаленном будущем, а индивид обладает низким коэффициентом , получение высшего образования будет выглядеть менее привлекательным.
Распределение коэффициента дисконтирования (параметра ) для российской экономики также неизвестно. Оценка распределения этого параметра производилась в работах [Alan, Browning, 2010; Patnaik et al., 2020]. В них распределение параметра ограничено на отрезке [0, 9, 1] и смещено в сторону 1. Принимая во внимание результаты, полученные в этих работах, для определения распределения параметра мы будем использовать бета-распределение, параметры которого будут подбираться таким образом, чтобы модель наилучшим образом воспроизводила экономические показатели и соотношения между эндогенными переменными в образовательном секторе РФ. В результате было выбрано бета-распределение c математическим ожиданием 0,97 и дисперсией 0,01 (рис. 4).
Рис. 4. Плотность распределения параметра дисконтирования β в модели Источник: расчеты авторов.
3.2. Калибровка профилей доходов индивидов
В модели предполагается, что большее количество баллов ЕГЭ означает более высокие способности, которые оказывают влияние на будущую заработную плату индивида. Если не принимать во внимание различную сложность выполняемых на работе задач, разнообразие задач в различных фирмах, то более способный индивид будет справляться с ними лучше, чем менее способный, и получать в будущем в среднем более высокую заработную плату.
В работе [Hause, 1972] изучалась взаимосвязь между тестами, измеряющими интеллект, образованием и доходами. Было установлено, для низких уровней образования различия в способностях не играют существенной роли в различиях в доходах. Для более высоких уровней образования одно стандартное отклонение измеренной способности в пределах выборки группы студентов связано с разницей в доходах от 10 до 13% к тому времени, когда мужчины достигают возраста 35–40 лет.
Взаимосвязь баллов ЕГЭ и заработной платы была установлена в статье [Рощин, Рудаков, 2016]. При исследовании влияния качества вуза, измеряемого средним баллом приема ЕГЭ, на заработную плату выпускников было обнаружено, что один дополнительный балл приема по ЕГЭ в рейтинге качества вузов приносит выпускникам соответствующего вуза премию в размере 1,4–1,5% от заработной платы.
Оценки параметров параболы индивидов без высшего образования, а также дисперсии индивидуального шока были получены в работе [Замниус и др., 2023]:
Для калибровки параметров параболы индивидов с высшим образованием использовались данные РМЭЗ за 2019 г. о доходах индивидов в возрасте 25–55 лет[3]. Заработная плата индивидов с высшим образованием была нормирована на заработную плату индивидов без высшего образования в начале трудовой жизни, чтобы перейти от зарплат к условным единицам эффективности (в этих терминах заданы уравнения человеческого капитала (2) и (3) в работе [Шпилевая и др., 2023]):
(3)
(4)
где , – коэффициенты отдачи от возраста для индивидов со средним образованием; , – коэффициенты отдачи от возраста для индивидов с высшим образованием, зависящие от баллов ЕГЭ; , – случайные шоки для соответствующих уровней образования.
На основании этих преобразованных кроссекционных данных были рассчитаны матожидание и дисперсия заработных плат индивидов в возрасте 25, 44 и 55 лет, а также коэффициент асимметрии распределения в возрасте 44 лет. Выбранный возраст характеризует ключевые точки профиля доходов – заработную плату в начале трудовой жизни, на пике доходов, который приходится примерно на 44 года, и в последнем доступном предпенсионном возрасте. Эти 7 моментов были выбраны, чтобы откалибровать 7 параметров уравнения (4) – вектор и стандартное отклонение шока :
При заданном наборе параметров строятся искусственно сгенерированные данные по зарплатам индивидов: из распределения баллов ЕГЭ случайным образом генерируется совокупность индивидов с различными баллами и случайные шоки заработных плат из нормального распределения со стандартным отклонением , что позволяет построить необходимые моменты на сгенерированных данных. Параметры вектора и стандартного отклонения подбираются таким образом, чтобы моменты симулированных заработных плат сходились к моментам заработных плат, рассчитанных на данных РМЭЗ. Полученные оценки представлены в табл. 5.
Таблица 5.
Оценки параметров профиля доходов индивидов с высшим образованием
Параметр | Полученная оценка |
–0,000231 | |
–0,000003 | |
–0,000105 | |
0,000337 | |
0,001369 | |
–0,00619 | |
0,625939 |
Источник: составлено авторами.
3.3. Прочие параметры
Коэффициент a в производственной функции сектора товаров и услуг примем равным 0,3, что является стандартным значением для моделей общего равновесия. Норма амортизации в этом секторе .
Коэффициенты , , влияющие на плату за образование , подбираются таким образом, чтобы при соответствующем количестве студентов в модели обеспечивалось соотношение государственных расходов на высшее образование к ВВП 0,6%[4].
В модели используются следующие ставки налогов: (НДФЛ), налог на потребление (НДС), (социальные платежи), (налог на прибыль). В базовой постановке государство предоставляет бюджетные места в университетах, компенсируя расходы индивидов на образование в размере 100%, т.е. , начиная с определенного количества баллов ЕГЭ (). Также будут рассмотрены сценарии, при которых .
Государственные расходы на конечное потребление товаров и услуг установлены на уровне 18,2% от ВВП на основе данных Росстата о структуре валового внутреннего продукта, рассчитанного методом использования доходов (среднее значение за период 2011–2022 гг.).
4. Численное моделирование
На основе разработанной модели мы производим численное имитационное моделирование и изучаем, как различные экономические условия влияют на накопление человеческого капитала и макроэкономические показатели в равновесии. Для нахождения численного решения модели все непрерывные распределения индивидов по параметрам и случайным величинам эффективности труда дискретизируются. Далее алгоритм численного решения модели можно представить в следующем виде.
Шаг 1. Делается предположение относительно агрегированных объемов капитала, эффективного труда, выпуска сектора образования, трансфертов со стороны государства индивидам.
Шаг 2. На основе заданных предположений о величине агрегированных показателей рассчитывается ставка процента, ставка заработной платы и цена образовательной услуги исходя из соотношений, определяющих оптимальное поведение фирм.
Шаг 3. Находится решение задачи домохозяйств всех возрастов для каждого элемента дискретизированного распределения по способностям, несклонности к риску, дисконт-фактору и случайной реализации шока эффективности.
Шаг 4. Показатели, полученные на шаге 3, суммируются по возрастам и по дискретному распределению параметров, что наряду с прочими переменными модели дает предложение труда, капитала, спрос на услуги сектора высшего образования и объем трансфертов со стороны государственного сектора, балансирующих бюджет.
Шаг 5. Формируется новое предположение относительно объема агрегированных капитала, эффективного труда, выпуска сектора образования, трансфертов со стороны государства индивидам путем усреднения имеющегося предположения и вновь рассчитанных значений данных показателей на шаге 4.
Шаги 2–5 повторяются до сходимости.
4.1. Исходное стационарное состояние
В стационарном равновесии доля людей с высшим образованием составляет 41,1%. Примерно половина из обучаемых учится за счет бюджетных ассигнований, покрывающих полную стоимость обучения. Темп экономического роста в базовом сценарии составляет в год и не зависит от доли людей с высшим образованием в экономике. Процентная ставка равна 3%.
Рассмотрим, какое решение о выборе уровня образования принимают индивиды в зависимости от количества набранных баллов ЕГЭ и предпочтений. Постановка задачи индивида описывается уравнениями (10)–(14) в работе [Шпилевая и др., 2023]. Индивид максимизирует интегральную ожидаемую полезность, выбирая уровень образования, траекторию потребления и сбережений при условии бюджетного ограничения. Последнее принимает различную форму в зависимости от того, решает ли индивид получать высшее образование, и если да, учится ли он на бюджетном месте или платит за обучение.
На рисунках 7–10 выбор индивидов отмечен светлыми и темными точками. На выбор индивида оказывают влияние параметр несклонности к риску, коэффициент межвременного дисконтирования и количество набранных баллов ЕГЭ, поэтому графики представляют собой различные комбинации этих факторов, влияющих на выбор уровня образования. Темные точки указывают на то, что для заданных баллов ЕГЭ и предпочтений индивид решит не поступать в вуз, а пойдет работать сразу после окончания средней школы. Светлые точки указывают на то, что индивид будет поступать в вуз. Рисунки 7–10 показывают, как гетерогенность этого набора характеристик влияет на выбор индивидами уровня образования: с ростом количества баллов ЕГЭ, снижением коэффициента и ростом коэффициента индивиды скорее предпочтут учиться.
Более высокие баллы ЕГЭ означают более высокую отдачу от высшего образования, что создает стимул для получения образования. На рис. 5 представлены возможные профили заработной платы индивидов, которые не получают высшее образование, в случае реализации положительного и отрицательного шоков. Их заработная плата во времени растет, замедляясь к пенсионному возрасту.
Рис. 5. Профили заработной платы индивидов со средним образованием в случае реализации положительного и отрицательного шоков Источник: расчеты авторов.
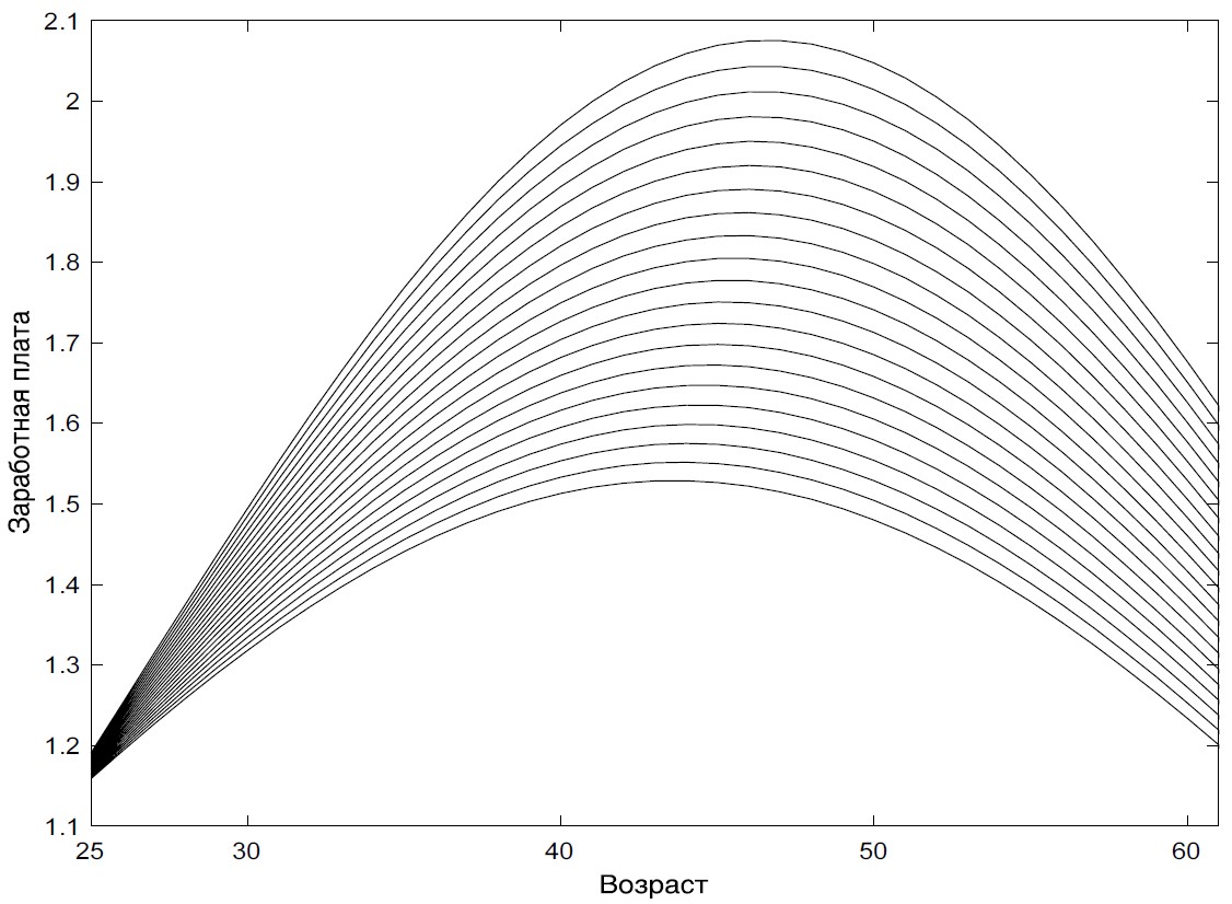
Профили заработной платы индивидов с высшим образованием располагаются в среднем выше и являются более выпуклыми. Мы предполагаем, что индивиды, используя знания и навыки, полученные в рамках обучения в вузе, выходя на работу и приобретая там соответствующий опыт, получают больший прирост человеческого капитала, чем те, кто не получал образование. Такой прирост тем выше, чем большее количество баллов ЕГЭ набрал индивид. На рис. 6 изображены профили заработной платы индивидов с различными баллами ЕГЭ. Выше располагаются профили тех индивидов, которые набрали большее количество баллов ЕГЭ.
Рис. 6. Профили заработной платы индивидов с высшим образованием Источник: составлено авторами.
Низкий коэффициент означает, что индивид более склонен к риску, поэтому избегание риска не становится фактором, препятствующим его желанию получать высшее образование (рис. 7). На графике видно, что индивиды, которые имеют более высокое избегание риска (значение коэффициента ближе к 10), в основном обучаются на бюджетных местах, предоставляемых всем индивидам, набравшим в сумме 233 балла. Индивиды с наименьшим значением избегания риска (значение коэффициента ближе к 1), напротив, выбирают получение высшего образования даже в случае, если набрали минимальный балл, необходимый для поступления в вуз.
Индивиды с более высоким коэффициентом (слабое предпочтение потребления во времени), при прочих равных условиях, чаще, чем индивиды с высокой склонностью к потреблению, выбирают получение высшего образования, поскольку выгоды от высшего образования, которые они получат в будущем, дисконтируются слабо (рис. 8). На рисунке представлен выбор индивидов для параметра несклонности к риску 2,1. Чем ближе коэффициент к значению 0,99, тем слабее индивиды дисконтируют будущую полезность. В этом случае индивиды готовы обучаться даже при более низких баллах ЕГЭ.
Рис. 7. Выбор уровня образования в зависимости от коэффициента неприятия риска θ и количества баллов ЕГЭ Источник: составлено авторами.
Рис. 8. Выбор уровня образования в зависимости от коэффициента дисконтирования β и количества баллов ЕГЭ (график для θ = 2,1) Источник: составлено авторами.
Подробнее влияние предпочтений на выбор индивидов в области образования можно изучить, построив график для индивидов с разными баллами ЕГЭ. На рис. 9 и 10 прослеживается четкая зависимость между предпочтениями и выбором уровня образования. При росте коэффициента и снижении индивиды будут более склонны сделать выбор в пользу выхода на работу, а не получения образования. На рис. 9 и 10 в явном виде показано влияние предпочтений на выбор уровня образования для индивидов, набравших одинаковое количество баллов ЕГЭ.
Рис. 9. Выбор уровня образования для индивидов, набравших 220 баллов ЕГЭ, u = 220 Источник: составлено авторами.
Рис. 10. Выбор уровня образования для индивидов, набравших 122 балла ЕГЭ, u = 122 Источник: составлено авторами.
Рассмотрим в качестве примеров, иллюстрирующих возможности построенной модели, некоторые сценарии государственной политики в области образования, имеющие влияние на долю людей с высшим образованием, и ключевые макроэкономические показатели.
4.2. Увеличение количества бюджетных мест в вузах, финансируемых за счет паушальных налогов
Доходы государственного бюджета состоят из налогов на трудовой доход, потребление, капитал и социальных отчислений. Эти средства направляются на государственные расходы, трансферты и финансирование бюджетных мест в университетах. Пусть государство вводит паушальный налог, за счет которого формируются дополнительные средства для увеличения количества бюджетных мест в вузах. В этом разделе мы применяем паушальный налог, чтобы не рассматривать влияние эффектов замещения, возникающих в случае искажающих налогов, на поведение индивидов в части накопления активов и потребления и фирм в части спроса на факторы производства.
В базовом сценарии бюджетные ассигнования равны плате за обучение. Пусть государство выделяет больше средств на финансирование системы высшего образования, за счет чего система образования может принять больше студентов и граница баллов ЕГЭ, которую необходимо набрать, чтобы попасть на места, финансируемые за счет бюджета, снижается. Увеличение паушальных налогов, направляемых на увеличение числа бюджетных мест, называемых контрольными цифрами приема, приводит к тому, что доля людей с высшим образованием в экономике растет. В результате изменяется объем налоговых поступлений от налогов на потребление, на трудовой доход, от социальных платежей – они возрастают, поскольку возрастает производительность труда и доходы индивидов, которые получили высшее образование. Эти дополнительные налоговые поступления могут быть направлены полностью на государственные расходы, перераспределены населению в качестве трансфертов или быть распределены в некотором соотношении между государственными расходами и трансфертами (например, таким образом, чтобы сохранялась прежняя структура бюджета). Реакция основных макроэкономических показателей на увеличение количества бюджетных мест при различных сценариях, описанных выше, представлена в табл. 6–8.
Независимо от выбранной бюджетной политики в результате увеличения количества бюджетных мест, финансируемых за счет паушальных налогов, происходит рост доли людей с высшим образованием. В результате растет общий уровень производительности труда, уровень потребления, инвестиций и выпуска. Вместе с этим растут поступления налогов на потребление, трудовой доход, капитал.
Таблица 6.
Реакция основных макроэкономических показателей на увеличение количества бюджетных мест (фиксированная структура бюджета)
| Изменение доли людей | Изменение уровня | Изменение уровня | Изменение уровня государственных расходов, % | Изменение уровня ВВП, % |
Граница ЕГЭ для обучения |
|
|
|
|
|
233 | – | – | – | – | – |
209 | 1,9 | 0,8 | 1,2 | 0,9 | 0,9 |
184 | 6,7 | 3,3 | 3,4 | 2,9 | 2,9 |
160 | 11,9 | 5,2 | 5,5 | 4,8 | 4,8 |
135 | 16,2 | 7,0 | 7,2 | 6,2 | 6,2 |
118 | 18,1 | 7,1 | 7,7 | 6,7 | 6,7 |
Примечание: 233 балла ЕГЭ – граница баллов ЕГЭ, с которой начинается обучение за счет бюджетных ассигнований в базовом стационарном равновесии; 118 – минимальное количество баллов ЕГЭ, необходимое для поступления в вуз.
Источник: составлено авторами.
Таблица 7.
Реакция основных макроэкономических показателей на увеличение количества бюджетных мест (фиксированные государственные расходы)
| Изменение доли людей | Изменение уровня | Изменение уровня | Изменение уровня государственных расходов, % | Изменение уровня ВВП, % |
Граница ЕГЭ для обучения |
|
|
|
|
|
233 | – | – | – | – | – |
209 | 2,4 | 1,8 | 1,3 | 0,0 | 1,1 |
| Изменение доли людей | Изменение уровня | Изменение уровня | Изменение уровня государственных расходов, % | Изменение уровня ВВП, % |
184 | 7,2 | 4,5 | 3,7 | 0,0 | 3,1 |
160 | 12,7 | 7,1 | 5,9 | 0,0 | 5,1 |
135 | 17,3 | 8,9 | 7,5 | 0,0 | 6,5 |
118 | 19,5 | 9,7 | 8,1 | 0,0 | 7,1 |
Источник: составлено авторами.
Таблица 8.
Реакция основных макроэкономических показателей на увеличение количества бюджетных мест (фиксированные трансферты)
| Изменение доли людей | Изменение уровня | Изменение уровня | Изменение уровня государственных расходов, % | Изменение уровня ВВП, % |
Граница ЕГЭ для обучения |
|
|
|
|
|
233 | – | – | – | – | – |
209 | 1,9 | 0,7 | 1,2 | 0,1 | 0,9 |
184 | 6,1 | 2,1 | 3,3 | 1,1 | 2,8 |
160 | 11,1 | 3,5 | 5,3 | 2,2 | 4,6 |
135 | 15,1 | 4,5 | 6,7 | 3,0 | 5,8 |
118 | 17,0 | 4,9 | 7,3 | 3,3 | 6,3 |
Источник: составлено авторами.
Рассмотрим равновесия, в которых граница ЕГЭ для предоставления бюджетного места устанавливается на уровне 118 (это соответствует ситуации предоставления всеобщего бесплатного высшего образования с учетом наличия минимальных проходных баллов ЕГЭ для поступления в вуз). Если весь прирост бюджета в новом равновесии направляется на государственные расходы, то в экономике складывается ситуация с более низкой долей людей с высшим образованием и меньшим приростом выпуска относительно других сценариев (табл. 8). В этом случае доля людей с высшим образованием в экономике вырастает до 58,1%, потребление увеличивается на 4,9%, инвестиции на 7,3%, государственные расходы на 3,3%, а выпуск на 6,3%. Прирост доли людей с высшим образованием в этом случае происходит только за счет увеличения количества бюджетных мест. В результате роста доли людей с высшим образованием в экономике растет производительность труда, что оказывает непосредственное положительное влияние на ВВП. До определенного момента понижение границы баллов ЕГЭ, необходимой для поступления на места, финансируемые за счет бюджета, ведет к снижению капиталовооруженности, росту процентной ставки и снижению равновесной ставки заработной платы на единицу эффективного труда. Это происходит потому, что больше индивидов становится вовлечено в получение высшего образования, для чего им требуется заимствовать средства для обеспечения потребления в момент обучения (до осуществления рассматриваемых изменений в образовательной политике они не заимствовали, поскольку выходили на работу после получения среднего образования). Часть индивидов по-прежнему заимствует средства для оплаты высшего образования. Спрос на заемные средства сначала растет ввиду значительного участия населения в получении высшего образования. Когда все индивиды получают возможность учиться бесплатно, спрос на заемные средства становится относительно меньше, поскольку им больше не нужно вносить плату за обучение, и он обусловлен исключительно потребительскими решениями индивидов. Кроме того, увеличиваются и сбережения взрослых индивидов, поскольку, получив высшее образование, они имеют более высокий доход и более высокие сбережения, чем индивиды без высшего образования. В результате действия этих эффектов процентная ставка начинает снижаться. Вслед за этим происходит рост инвестиций, капиталовооруженности, рост спроса на труд, что ведет к росту равновесной ставки заработной платы на единицу эффективного труда.
В другом крайнем случае, когда все дополнительные поступления в бюджет в новом равновесии возвращаются населению обратно в качестве трансфертов, достигается наибольший прирост потребления (+9,7%), инвестиций (+8,1%), выпуска (+7,1%) и доли людей с высшим образованием (вырастает до 60,7%) (табл. 7). В данном случае на долю людей с высшим образованием оказывает влияние не только количество бюджетных мест. Более высокие трансферты снижают дисперсию располагаемого дохода, что может положительно повлиять на решение некоторых несклонных к риску индивидов о получении высшего образования. Также более высокий уровень трансфертов может способствовать накоплению капитала из-за роста сбережений индивидов, слабо дисконтирующих будущее, что, в свою очередь, оказывает положительное воздействие на предельный продукт труда, ставку заработной платы и отдачи от образования.
Сценарий с фиксированной структурой бюджета представляет собой некоторую промежуточную ситуацию между рассмотренными двумя крайними случаями (табл. 6). В этом сценарии доля людей с высшим образованием вырастает до 59,2%, потребление увеличивается на 7,1%, инвестиции на 7,7%, государственные расходы на 6,7%, выпуск на 6,7%. В дальнейших симуляциях мы будем осуществлять анализ, используя вариант с сохранением фиксированной структуры бюджета, при котором доля государственных расходов в ВВП будет составлять 18,2% (табл. 6).
Далее проанализируем, какой выбор будут делать индивиды, если образование станет совершенно бесплатным для всех и прирост количества бюджетных мест будет финансироваться за счет паушальных налогов. Расчеты показывают, что предоставление высшего образования, финансируемого целиком за счет бюджетных ассигнований, не приводит к ситуации, в которой все индивиды выбирают получение высшего образования. Доля людей с высшим образованием в экономике вырастает максимум до 60,7%. Данный результат вполне согласуется с реальной ситуацией, которая наблюдается во Франции. Образование во Франции в университетах является практически бесплатным, однако в этой стране доля людей с высшим образованием не превышает 50%.
Такой выбор индивидов объясняется несколькими причинами. Во-первых, гетерогенность по параметрам θ и β приводит к тому, что в одинаковых экономических условиях и при одинаковых способностях люди могут принимать разные решения о получении высшего образования. Эти параметры характеризуют предпочтения индивидов.
Коэффициент β характеризует межвременные предпочтения индивидов. Низкий коэффициент β означает высокую степень дисконтирования будущего. Другими словами, предпочтения индивидов в области потребления смещены к настоящему, они больше ценят текущее потребление. При принятии решения индивиды большее значение придают издержкам на получение образования (даже в случае полностью бесплатного образования существуют альтернативные издержки в виде упущенных возможностей – индивид мог бы работать вместо получения образования), которые понесут в ближайшем будущем, и меньшее выгодам – которые ждут их в отдаленном будущем. Для индивидов, предпочтения в потреблении которых смещены к настоящему, получение высшего образования может не представлять интерес.
Поскольку в данной модели используется функция полезности вида CRRA, коэффициент θ можно рассматривать с двух сторон: как статическую и как динамическую характеристику предпочтений индивидов. С одной стороны, он определяет взаимосвязь траектории потребления и сбережений индивида с процентной ставкой в рамках межвременного замещения потребления (динамическая характеристика). С другой стороны, он характеризует его поведение в условиях риска и неопределенности (статическая характеристика). Поскольку предполагается, что индивиды несклонны к риску, а их будущая траектория заработной платы – случайная величина, то при высоком коэффициенте θ, указывающем на высокую степень несклонности к риску, они, при прочих равных условиях, не выберут получение высшего образования.
Рассмотрим подробнее влияние неопределенности на выбор индивидами уровня образования. Поскольку индивиды несклонны к риску, увеличение стандартного отклонения будущей заработной платы индивидов с высшим образованием будет оказывать негативное влияние на их решение о получении высшего образования, что будет негативно влиять и на основные макроэкономические показатели (табл. 9).
Увеличение разброса заработной платы индивидов с высшим образованием оказывает дестимулирующее воздействие на накопление человеческого капитала, что согласуется с результатами, полученными в работе [Levhari, Weiss, 1974]. Поскольку заработная плата для обоих уровней образования подвержена случайным шокам, важное значение приобретает соотношение дисперсии заработных плат для каждого уровня образования. Если индивиды несклонны к риску, а их заработная плата после окончания обучения в вузе имеет относительно больший разброс, чем у индивидов со средним образованием, это будет служить сдерживающим фактором для инвестиций в человеческий капитал. Из расчетов, представленных в табл. 9, следует, что увеличение стандартного отклонения заработной платы для индивидов с высшим образованием на 1% сокращает ВВП на 0,4%, увеличение на 5% сокращает ВВП на 1,7%. Это происходит потому, что часть несклонных к риску индивидов в условиях роста неопределенности в отношении будущей заработной платы предпочтет не поступать в ВУЗ, окончание которого не гарантирует им высокой отдачи в будущем. Доля людей с высшим образованием сокращается, что означает снижение количества высококвалифицированного труда в экономике, а вместе с ним и всех составляющих выпуска – потребления, инвестиций, государственных расходов (вследствие более низких налоговых сборов).
Таблица 9.
Влияние величины стандартного отклонения заработной платы индивидов с высшим образованием
Изменение стандартного отклонения заработной платы | Изменение доли людей | Изменение уровня | Изменение уровня | Изменение | Изменение уровня ВВП, % |
+1 | –2,2 | –0,5 | –0,0 | –0,4 | –0,4 |
+2 | –4,1 | –1,0 | –0,1 | –0,7 | –0,7 |
+5 | –8,8 | –2,0 | –0,5 | –1,7 | –1,7 |
Источник: составлено авторами.
Одним из способов стимулирования инвестиций в человеческий капитал может служить механизм распределения суммы бюджетных ассигнований. Рассмотрим сценарии, в которых государство покрывает не 100% расходов на образование, а лишь некоторую часть . Тогда та же сумма бюджетных ассигнований может быть предоставлена большему количеству людей, каждый получит меньшую компенсацию, однако для части населения этого будет достаточно, чтобы изменить их выбор относительно желаемого уровня образования (табл. 10). Как и ранее, мы рассматриваем вариант, при котором государство стремится поддерживать сложившуюся структуру бюджета с государственными расходами на уровне 18,2%.
Предоставление 50-процентной скидки на обучение вместо 100% покрытия расходов, согласно модельным расчетам, может позволить увеличить долю людей с высшим образованием на 0,8 п.п., уровень потребления на +0,3% и ВВП на +0,3%. Индивиды с более высокими баллами ЕГЭ, скорее всего, будут готовы получать высшее образование даже в случае, если оно не является полностью бесплатным для них, поскольку они ожидают более высокую отдачу от получения высшего образования ввиду обладания более высокими способностями. При этом некоторые индивиды с более низким баллами, которые ранее не получали скидку и были вынуждены покрывать полную стоимость обучения (вследствие чего получение высшего образования не было экономически целесообразным для них), теперь предпочтут получать высшее образование, поскольку оно становится менее дорогостоящим.
Таблица 10.
Реакция основных макроэкономических показателей на изменение в размере бюджетных ассигнований
Компенсация | Изменение доли людей | Изменение уровня | Изменение уровня | Изменение уровня государственных расходов, % | Изменение уровня ВВП, % |
0,1 | 0,1 | 0,1 | 0,1 | 0,1 | |
0,8 | 0,3 | 0,3 | 0,3 | 0,3 |
Источник: составлено авторами.
4.3. Влияние налогов на равновесное состояние экономики, в том числе долю людей с высшим образованием
Пусть государство решает увеличить одну из налоговых ставок (на трудовой доход, потребление, прибыль или по социальным платежам), чтобы профинансировать увеличение непроизводительных государственных расходов[5]. В модели учитываются ставки налога на трудовой доход (), потребление (), капитал () и ставка по социальным отчислениям ().
Результаты моделирования представлены в табл. 11.
Таблица 11.
Реакция эндогенных переменных модели на изменение налоговых ставок
Ставки налога | |||||
–0,8 | 0,0 | 2,7 | 0,0 | 0,0 | |
–1,6 | 0,0 | 5,4 | 0,0 | 0,0 |
Ставки налога | |||||
–4,0 | 0,0 | 13,1 | 0,0 | 0,0 | |
–0,9 | –0,6 | 2,1 | –0,3 | –0,4 | |
–1,8 | –1,3 | 4,1 | –0,6 | –0,7 | |
–4,4 | –3,2 | 10,1 | –1,5 | –2,0 | |
–0,6 | –0,4 | 1,4 | –0,2 | –0,2 | |
–1,2 | –0,8 | 2,7 | –0,4 | –0,5 | |
–2,8 | –2,1 | 6,6 | –0,9 | –1,3 | |
–0,1 | –0,3 | 0,4 | –0,1 | 0,1 | |
–0,2 | –0,6 | 0,7 | –0,1 | 0,3 | |
–0,5 | –1,5 | 1,9 | –0,3 | 0,7 |
Примечание: – изменение уровня потребления в %; – изменения уровня инвестиций в %; – изменение уровня государственных расходов в %; – изменение уровня ВВП в %; – изменение доли людей с высшим образованием в процентных пунктах.
Источник: составлено авторами.
Увеличение налоговой ставки на трудовой доход () и ставки по социальным отчислениям () ведут к сокращению доли людей с высшим образованием в экономике. Одновременно с этим снижаются совокупное потребление, инвестиции и выпуск. Увеличение этих ставок снижает отдачу от высшего образования, вследствие чего меньше индивидов предпочтут учиться и общий уровень производительности труда снизится. Увеличение ставки налога на капитал, напротив, создает дополнительный стимул для получения образования, снижая отдачу от капитала и делая привлекательнее инвестиции в человеческий капитал, что увеличивает долю людей с высшим образованием в экономике. Рост ставки налога на потребление не оказывает влияния на долю людей с высшим образованием, инвестиции и выпуск. Происходит перераспределение частного потребления в сторону государственных расходов на конечное потребление. Таким образом, с точки зрения стимулов инвестирования в человеческий капитал финансирование непроизводительных государственных расходов за счет налога на потребление или налога на капитал является более предпочтительным, чем за счет налогов на труд. Налог на потребление ведет к большему сокращению потребления, чем налог на прибыль, но не ведет к падению уровня инвестиций и выпуска. Увеличение налога на прибыль сокращает инвестиции, потребление и выпуск. Увеличение налога сопровождается большим снижением потребления и инвестиций, что может приводить к снижению выпуска, несмотря на растущую долю людей с высшим образованием. Таким образом, увеличение налоговых ставок ведет к изменениям в поведении индивидов относительно выбора уровня образования. Если дополнительные налоговые поступления направляются на непроизводительные государственные расходы, а не в сектор образования, это ведет в большинстве случаев к падению потребления домохозяйств, инвестиций и выпуска.
4.4. Модель с эндогенными темпами роста
Базовый вариант модели строился на предположении, что доля людей с высшим образованием влияет на уровень человеческого капитала в экономике, но не оказывает непосредственного влияния на устойчивые темпы экономического роста. Другими словами, экономика с бóльшим числом индивидов с высшим образованием будет иметь более высокий уровень ВВП, потребления, инвестиций и капитала за счет использования в производственных процессах большего объема эффективного труда, но в долгосрочном периоде данная экономика будет расти теми же устойчивыми темпами, что и экономика с меньшим числом индивидов с высшим образованием. Однако влияние экономической политики на темпы роста в краткосрочном и среднесрочном периодах ненулевое из-за необходимости осуществления перехода экономики из одного долгосрочного равновесия в другое. Таким образом, проводимые меры экономической политики, оказывающие влияние на долю индивидов с высшим образованием, могут иметь воздействие на долгосрочный уровень экономической активности и долгосрочное благосостояние экономических агентов, на кратко- и среднесрочные темпы роста, но не на долгосрочные темпы роста экономики.
Далее рассматривается другой вариант моделирования взаимосвязи экономического роста с человеческим капиталом, в котором доля индивидов с высшим образованием влияет не только на уровень человеческого капитала в экономике, но и на величину устойчивых темпов роста из-за наличия тех или иных внешних эффектов. В модели используется следующая зависимость темпов устойчивого роста γ от доли людей с высшим образованием в стационарном равновесии h (5):
(5)
В литературе отсутствует консенсус относительного того, влияет ли этот показатель (доля людей с высшим образованием) на темпы экономического роста. Ряд исследований в области человеческого капитала показывает неоправданно высокие значения этого коэффициента. Например, согласно оценке в работе [Sterlacchini, 2008], сделанной по регионам Европы, увеличение доли людей с высшим образованием на 10 п.п. увеличит темпы роста на 3,39%. Другие исследования не получают значимых оценок коэффициентов для интересующей нас переменной [Wolff, 2001]. Третьи отмечают, что коэффициент статистически значим, однако оценка этого коэффициента мала [Agasisti, Bertoletti, 2020]. Для полученной оценки, если доля людей с высшим образованием вырастет на 50 п.п., темп роста вырастет на 0,015%. То есть даже население, на 100% состоящее из индивидов с высшим образованием, не принесет сколько-нибудь значительных выгод для экономического развития, темп роста увеличится незначительно, на сотые доли процента. Кроме того, имеющиеся оценки строятся на различных выборках: развитые страны, развивающиеся страны, страны южнее Сахары, регионы Европы по номенклатуре NUTS, регионы России. Межстрановые оценки дают один результат, межрегиональные – другой. Ситуация осложняется еще и вследствие качества данных. В работе [De la Fuente, Doménech, 2006] указывается на то, что контринтуитивные результаты в регрессиях с человеческим капиталом и получаемое отсутствие связи между различными измерениями человеческого капитала и ростом могут быть результатом плохого качества данных.
Ранее мы предполагали (доля людей с высшим образованием не влияет на устойчивый темп роста). В условиях отсутствия консенсуса по поводу значения коэффициента p мы проанализируем, как изменятся результаты в модели при некотором ненулевом значении этого параметра. Пусть теперь коэффициент . Если предположить, что доля людей с высшим образованием создает положительные внешние эффекты и оказывает влияние на темпы экономического роста (), то предоставление бюджетных мест всем индивидам, прошедшим минимальный порог по ЕГЭ, приводит к увеличению доли людей с высшим образованием на 14,4 п.п., по сравнению с увеличением на 18,1 п.п. в ситуации базовой модели, когда доля людей с высшим образованием не влияет на темпы экономического роста (). Процентная ставка вырастает с 3,0 до 4,6%, а темп экономического роста увеличивается с 1 до 2,5%. Увеличившиеся темпы роста оказывают повышающее давление на процентную ставку, в результате чего более высокие темпы роста оказывают сдерживающее воздействие на решения индивидов в пользу получения высшего образования. С одной стороны, поскольку в момент обучения индивиды не работают, они накапливают долги под высокий процент, что снижает привлекательность получения высшего образования. С другой стороны, приведенная стоимость выгод от получения высшего образования в экономике с высокими процентными ставками оказывается ниже. Таким образом, если коэффициент , выпуск, потребление и инвестиции растут более высокими темпами в долгосрочном периоде из-за стимулирующих мер экономической политики, но из-за роста процентной ставки доля людей с высшим образованием увеличивается меньше, чем в спецификации модели с
5. Анализ чувствительности результатов модели к распределениям индивидов по склонности к риску, предпочтениям потребления во времени и способностям
В настоящем разделе анализируется устойчивость результатов проведенных расчетов к выбору параметров функций распределения θ, β и , калибровка которых является наиболее дискуссионной в настоящей работе. Цель этого раздела – продемонстрировать чувствительность результатов сценарного моделирования к выбору параметров гетерогенности индивидов (по склонности к риску, предпочтениям во времени и способностям). Если результаты оказываются чувствительными, то без корректного учета гетерогенности в рассматриваемых аспектах никакие оценки сценариев изменения образовательной политики не могут быть адекватными.
Обратимся к крайнему случаю и предположим, что распределение параметров равномерно. В базовом сценарии мы использовали усеченное нормальное распределение на отрезке [0, 300] для баллов ЕГЭ, бета-распределение с математическим ожиданием 3,67 и дисперсией 1,44 на отрезке [1, 10] для параметра θ и бета-распределение c математическим ожиданием 0,97 и дисперсией 0,01 на отрезке [0, 9, 1] для параметра β. Теперь поочередно предположим, что распределение θ, затем β и, наконец, баллов ЕГЭ равномерно.
Ранее мы рассматривали три сценария бюджетной политики, в рамках которой государство стремилось к поддержанию фиксированной структуры бюджета, фиксированных государственных расходов и фиксированных трансфертов. Анализируя чувствительность результатов, для краткости мы рассмотрим только один вариант бюджетной политики – вариант, при котором государство стремится к поддержанию фиксированной структуры бюджета. Результаты моделирования представлены в табл. 12.
Таблица 12.
Реакция основных макроэкономических показателей на увеличение количества бюджетных мест (фиксированная структура бюджета) при равномерной плотности распределения параметров β, θ и баллов ЕГЭ
Показатель | Вариант калибровки | Граница ЕГЭ | |||||
118 | 135 | 160 | 184 | 209 | 233 | ||
Изменение доли людей с высшим образованием в равновесии, п.п. | 1 | 18,1 | 16,2 | 11,9 | 6,7 | 1,9 | – |
2 | 12,4 | 11,8 | 10,6 | 8,9 | 6,3 | – | |
3 | 14,7 | 13,7 | 10,9 | 6,9 | 3,0 | – | |
4 | 7,9 | 6,9 | 5,3 | 3,4 | 1,3 | – | |
Изменение уровня потребления, % | 1 | 7,1 | 7,0 | 5,2 | 3,3 | 0,8 | – |
2 | 4,2 | 4,1 | 3,9 | 3,5 | 2,6 | – | |
3 | 4,9 | 4,7 | 3,9 | 2,7 | 1,2 | – | |
4 | 1,8 | 1,7 | 1,3 | 0,9 | 0,3 | – | |
Изменение уровня инвестиций, % | 1 | 7,7 | 7,2 | 5,5 | 3,4 | 1,2 | – |
2 | 5,5 | 5,3 | 4,7 | 3,8 | 2,5 | – | |
3 | 5,2 | 4,9 | 4,1 | 2,9 | 1,3 | – | |
4 | 3,6 | 3,4 | 2,8 | 2,0 | 1,0 | – | |
Изменение уровня государственных расходов, % | 1 | 6,7 | 6,2 | 4,8 | 2,9 | 0,9 | – |
2 | 5,4 | 5,3 | 4,8 | 4,1 | 2,9 | – | |
3 | 5,7 | 5,5 | 4,6 | 3,2 | 1,5 | – | |
4 | 3,0 | 2,8 | 2,3 | 1,6 | 0,7 | – | |
Изменение уровня ВВП, % | 1 | 6,7 | 6,2 | 4,8 | 2,9 | 0,9 | – |
2 | 5,4 | 5,3 | 4,8 | 4,1 | 2,9 | – | |
3 | 5,7 | 5,5 | 4,6 | 3,2 | 1,5 | – | |
4 | 3,0 | 2,8 | 2,3 | 1,6 | 0,7 | – | |
Примечания: вариант 1 – исходный вариант калибровки, описанный в разделе «калибровка»; вариант 2 – равномерное распределение параметра θ; вариант 3 – равномерное распределение параметра β; вариант 4 – равномерное распределение баллов ЕГЭ.
Источник: составлено авторами.
Из результатов, представленных в табл. 12, можно сделать вывод о том, что наибольшую чувствительность демонстрируют изменения в распределении баллов ЕГЭ. Например, в базовом варианте калибровки при понижении границы баллов ЕГЭ для предоставления бюджетного места до 118 баллов доля людей с высшим образованием увеличивается на 18,1 п.п., когда как при равномерном распределении баллов ЕГЭ увеличение составляет 7,9 п.п. В свою очередь, увеличение ВВП в базовом сценарии составляет 7,6% по сравнению с приростом в 3,0% при равномерном распределении баллов ЕГЭ. Предпосылка о равномерности распределений параметра несклонности к риску и коэффициента дисконтирования дают близкие результаты, но существенно отличающиеся от базового сценария. В них как доля людей с высшим образованием, так и значения основных макропеременных изменяются в меньшей степени, если сравнивать с базовым сценарием. Таким образом, результаты моделирования оказываются чувствительными к калибровке параметров распределений, отвечающих за гетерогенность индивидов. Это позволяет заключить, что без корректного учета гетерогенности индивидов результаты оценки альтернативных мер политики в сфере образования будут ненадежными. В настоящем исследовании осуществлена попытка откалибровать соответствующие параметры на основе релевантных статистических данных. В частности, для калибровки распределения по способностям использовались баллы по ЕГЭ. Параметры распределения коэффициента дисконтирования и несклонности к риску калибровались таким образом, чтобы воспроизводить ключевые экономические соотношения в российской экономике. Также при калибровке данных параметров использовалась информация из существующих по данной тематике академических исследований. Соответственно, используемая процедура калибровки дает основания в той или иной мере полагаться на результаты полученных оценок. Тем не менее для получения более надежных оценок следует проводить специальные исследования для оценки степени гетерогенности домохозяйств по структурным параметрам.
Из таблиц следует, что конкретные числовые оценки результатов моделирования имеют определенную чувствительность к выбору характеристик распределения параметров гетерогенности. Например, при понижении границы баллов ЕГЭ, необходимой для поступления на бюджетные места, до 184 баллов при третьем варианте калибровки достигается наибольший прирост доли людей с высшим образованием и выпуска, наименьший – при втором варианте. При этом снижение границы до 118 баллов ведет к наибольшему приросту этих же показателей при втором варианте, наименьший – при первом.
Однако различия между числовыми оценками не являются кардинальными, что говорит о применимости разработанной модели для оценки стратегий развития системы образования в идеологии моделей общего равновесия. Расчеты, дополненные анализом на чувствительность результатов, позволяют сформировать представления о масштабе воздействия на макроэкономические показатели от тех или иных изменений инструментов экономической политики. Для получения более достоверных числовых оценок необходимо провести комплексные исследования по оценке параметров функций распределения гетерогенных параметров предпочтений индивидов.
Отметим некоторые ограничения модели. Во-первых, анализируя приведенные результаты, необходимо принимать во внимание то, что при построении модели авторы статьи исходили из предпосылки о независимости предпочтений индивидов, их успеваемости и рыночных стратегий. Во-вторых, в рассматриваемой модели отдача от образования полагалась экзогенной и неизменной. В модели не учитывается, что при проведении стимулирующей политики в области человеческого капитала все больше индивидов с более низкими способностями будут получать образование, что приведет к снижению средней отдачи от образования и росту дисперсии заработков индивидов с высшим образованием и, как следствие, окажет сдерживающее воздействие на накопление человеческого капитала и снизит эффект от стимулирующей политики. В-третьих, в модель не включены различия в уровне занятости индивидов с разным уровнем образования. Ввиду того, что индивиды с низким уровнем образования имеют более высокую вероятность быть незанятыми, их доходы могут быть более волатильны. Для избегающих риска индивидов такие условия создадут дополнительный стимул для получения высшего образования.
6. Заключение
В данной работе калибруется и применяется предложенная авторами [Шпилевая и др., 2023] модель общего равновесия с перекрывающимися поколениями для Российской Федерации, на которой может основываться методика оценки стратегий развития системы образования в идеологии моделей общего равновесия. Ключевыми предпосылками модели, отличающими ее от ряда других, являются гетерогенность индивидов по параметру несклонности к риску, коэффициенту дисконтирования и набираемым баллам ЕГЭ. В модели подчеркивается, что эти параметры являются важными факторами принятия решения о получении высшего образования. Еще одной важной предпосылкой модели является существование неопределенности. Численный имитационный анализ влияния дисперсии шока доходов показал, что увеличение этого показателя негативно влияет на долю людей с высшим образованием в экономике, где индивиды являются несклонными к риску.
На основе предложенной модели можно исследовать реакцию ключевых макроэкономических показателей, таких как потребление, инвестиции, государственные расходы и выпуск в ответ на различные меры государственной политики в области высшего образования. Были рассмотрены различные сценарии экономической политики: выделение дополнительных денежных средств на формирование бюджетных мест в университетах, предоставление скидок вместо бюджетных мест, полностью финансируемых за счет бюджетных ассигнований, изменение налоговых ставок и структуры бюджета. Создание большего количества бюджетных мест позволяет добиться большей доли квалифицированного труда в экономике и увеличить выпуск, а также другие макроэкономические показатели. Разработанная модель дает результаты, не противоречащие эмпирическим фактам и моделям, известным в экономической теории.
Анализ на устойчивость оценок на примере калибровки распределений гетерогенных параметров из равномерного распределения показал сильную чувствительность результатов исследования к выбору параметров функций распределения предпочтений и способностей индивидов, что указывает на необходимость корректного учета гетерогенности в рассматриваемых задачах. Используемая нами процедура калибровки в базовом варианте модели дает основания в той или иной мере полагаться на результаты полученных оценок. Расчеты, дополненные анализом на чувствительность результатов, позволяют сформировать представления о масштабе воздействия на макроэкономические показатели от тех или иных изменений инструментов экономической политики. Тем не менее при выработке рекомендаций в отношении экономической политики в области высшего образования необходимо проведение специальных исследований, направленных на численную оценку параметров распределений характеристик предпочтений индивидов в российской экономике.
Приложение 1.
Таблица П1.
Результаты оценивания параметров методом максимального правдоподобия и z-статистики теста Колмогорова – Смирнова
Предмет | Коэффициент | Коэффициент | Расчетная z-статистика для теста Колмогорова – Смирнова |
Русский язык | 60,71 | 14,84 | 0,48 |
Математика | 43,49 | 16,12 | 0,46 |
Физика | 46,19 | 13,41 | 0,70 |
Химия | 57,23 | 19,48 | 0,33 |
Информатика | 61,72 | 23,12 | 0,29 |
Биология | 53,48 | 15,67 | 0,49 |
История | 50,55 | 20,02 | 0,36 |
География | 55,34 | 16,22 | 0,44 |
Английский язык | 63,38 | 25,84 | 0,24 |
Немецкий язык | 59,15 | 28,22 | 0,30 |
Французский язык | 71,20 | 24,59 | 0,34 |
Обществознание | 54,61 | 12,51 | 0,51 |
Испанский язык | 80,68 | 27,42 | 0,34 |
Литература | 56,22 | 18,32 | 0,38 |
Примечания. Значение статистики для 5-процентного уровня значимости Zкр = 1,36. Zрасч < Zкр для всех предметов, поэтому нулевая гипотеза (о том, что эмпирическая функция распределения совпадает с функцией нормального усеченного распределения) не отвергается для всех предметов.
Источник: составлено авторами.
[1] Учет усеченности в распределении не сильно влияет на результат калибровки параметров распределения, поскольку на краях отрезка [0, 100] плотность распределения близка к нулю.
[2] С целью анализа устойчивости результатов кроме базового предположения о коэффициенте корреляции, равном 0,75, были рассмотрены варианты с корреляцией 0,5 и 1. При снижении коэффициента корреляции с 0,75 до 0,5 предоставление всеобщего бесплатного образования, финансируемого за счет паушальных налогов с сохранением фиксированной структуры бюджета, ведет к росту доли людей с высшим образованием на 19,3 п.п. вместо 18,1 п.п., увеличению ВВП на 6,9% вместо 6,7%. При увеличении коэффициента корреляции с 0,75 до 1,0 доля людей с высшим образованием увеличивается на 17,3 п.п. вместо 19,3 п.п., ВВП увеличивается на 6,6% вместо 6,7%.
[3] Российский мониторинг экономического положения и здоровья населения НИУ ВШЭ (RLMS HSE), проводимый Национальным исследовательским университетом «Высшая школа экономики» и ООО «Демоскоп» при участии Центра народонаселения Университета Северной Каролины в Чапел Хилле и Института социологии Федерального научно-исследовательского социологического центра РАН. (Сайты обследования RLMS HSE: http://www.hse.ru/rlms и https://rlms-hse.cpc.unc.edu).
[4] По статистике за 2020 г. Источник: Индикаторы образования: 2022: статистический сборник / Н.В. Бондаренко, Л.М. Гохберг, О.А. Зорина и др. М.: НИУ ВШЭ, 2022.
[5] К непроизводительным государственным расходам в экономической теории относят те расходы, которые не связаны или связаны слабо с увеличением совокупной факторной производительности (расходы на национальную оборону, государственное управление, правоохранительную деятельность сверх уровня, необходимого для нормального функционирования экономики).
Об авторах
Ангелина Евгеньевна Шпилевая
Институт экономической политики им. Е.Т. Гайдара
Автор, ответственный за переписку.
Email: angelina.shpilevaya@gmail.com
н.с. лаборатории математического моделирования экономических процессов
Россия, Газетный пер., 3-5, стр. 1, Москва, 125009Андрей Владимирович Полбин
Институт экономической политики им. Е.Т. Гайдара
Email: apolbin@iep.ru
к.э.н., заведующий лабораторией математического моделирования экономических процессов
Россия, Газетный пер., 3-5, стр. 1, Москва, 125009Сергей Германович Синельников-Мурылев
Всероссийская академия внешней торговли
Email: sinel@vavt.ru
д.э.н., профессор, ректор
Россия, Воробьёвское ш., 6А, Москва, 119285Список литературы
- Замниус А.В., Полбин А.В., Синельников-Мурылев С.Г. Заработная плата, возраст и экономический рост: оценки для России // Вопросы экономики. 2023. № 6. С. 94–116.
- Индикаторы образования: 2023: стат. сб. / Н.В. Бондаренко, Т.А. Варламова, Л.М. Гохберг и др. М.: НИУ ВШЭ, 2023.
- Рощин С.Ю., Рудаков В.Н. Влияние «качества» вуза на заработную плату выпускников // Вопросы экономики. 2016. Т. 12. № 8. С. 74–95.
- Шпилевая А.Е., Полбин А.В., Синельников-Мурылев С.Г. Разработка OLG-модели с гетерогенными предпочтениями и способностями к обучению для анализа политики в сфере высшего образования // Экономический журнал ВШЭ. 2023. Т. 27. № 3. С. 449–469.
- Agasisti T., Bertoletti A. Higher Education and Economic Growth: A Longitudinal Study of European Regions 2000–2017 // Socio-Economic Planning Sciences. 2020. P. 100940.
- Alan S., Browning M. Estimating Intertemporal Allocation Parameters Using Synthetic Residual Estimation // The Review of Economic Studies. 2010. Vol. 77. № 4. P. 1231–1261.
- Barsky R.B., Iuster F.T, Kimball M.S., Shapiro M.D. Preference Parameters and Behavioral Hetero-geneity: An Experimental Approach in the Health and Retirement Study // The Quarterly Journal of Economics. 1997. Vol. 112. № 2. P. 537–579.
- De la Fuente A., Doménech R. Human Capital in Growth Regressions: How Much Difference Does Data Quality Make? // Journal of the European Economic Association. 2006. Vol. 4. № 1. P. 1–36.
- Guiso L., Paiella M. Risk Aversion, Wealth, and Background Risk // Journal of the European Economic Association. 2008. Vol. 6. № 6. P. 1109–1150.
- Hause J.C. Earnings Profile: Ability and Schooling // Journal of Political Economy. 1972. Vol. 80. № 3. Part 2. P. 108–138.
- Levhari D., Weiss Y. The Effect of Risk on the Investment in Human Capital // The American Economic Review. 1974. Vol. 64. № 6. P. 950–963.
- Patnaik A., Venator J., Wiswall M., Zafar B. The Role of Heterogeneous Risk Preferences, Discount Rates, and Earnings Expectations in College Major Choice // Journal of Econometrics. 2020. 231 (1, part 1).
- Sterlacchini A. R&D, Higher Education and Regional Growth: Uneven Linkages among European Regions // Research Policy. 2008. Vol. 7. № 6–7. P. 1096–1107.
- Wolff E.N. The Role of Education in the Postwar Productivity Convergence among OECD Countries // Industrial and Corporate Change. 2001. Vol. 10. № 3. P. 735–759.
Дополнительные файлы












