Antenna-feeder systems for EHF-radiointerferometers
- Authors: Gaynulina E.Y.1, Ikonnikov V.N.1, Kornev N.S.1, Nazarov A.V.1, Orekhov Y.I.1
-
Affiliations:
- Russian Federal Nuclear Center – All-Russian Research Institute of Experimental Physics
- Issue: Vol 28, No 1 (2025)
- Pages: 56-75
- Section: Plenary reports of the XXI International scientific and technical conference «Physics and technical applications of wave processes»
- URL: https://ogarev-online.ru/1810-3189/article/view/314388
- DOI: https://doi.org/10.18469/1810-3189.2025.28.1.56-75
- ID: 314388
Cite item
Abstract
Background. The development of a microwave method for researching shock-wave and detonation processes using radio interferometers requires the development of antenna-feeder systems taking into account the specifics of gas-dynamic experiments. Aim. Design of antenna-feeder systems for radio interferometers in the millimeter and submillimeter wavelength ranges, development of options for constructing feeder lines and probing devices. Methods. Theresultsof numericalmodeling in CST MWS, theoretical calculations and experimental studies of interferometer antenna-feeder systems are presented, confirming the proposed technical solutions effectiveness. Results. The requirements for antenna-feeder systems as an integral part of the radiointerferometer are given. Dielectric emitters advantages are justified and planar dielectric emitters are proposed. Small-sized antenna-feeder systems with dielectric inserts are proposed, which have found their application in diagnostic tasks in closed volumes. In order to reduce losses in the feed line and build lines up to several meters, antenna-feeder systems on rectangular supersized metal waveguides have been studied, including the proposed pyramidal horn transitions from standart waveguide section to a supersized section, and a combined feeder line using a flexible dielectric waveguide to connect metal waveguides. A quasi-optical two-mirror antenna with high spatial resolution and minimal losses is considered. Conclusion. The article shows the microwave diagnostic method advantages, various methods and schemes for feeder lines constructing proposed and justifies probing devices (emitters) types usage depending on the solved problem and the operating frequency range.
Full Text
Введение
В настоящее время метод микроволновой диагностики прочно занял свою нишу среди современных методов исследования ударно-волновых и детонационных процессов. Получаемые с использованием микроволновой диагностики результаты существенно расширяют информативность, а также возможности и перспективы исследований свойств веществ и материалов при интенсивных динамических воздействиях.
Важными достоинствами метода являются его дистанционность и невозмущающий характер, а в сравнении с лазерными интерферометрическими системами – возможность проведения непрерывной регистрации движения ударных и детонационных волн в оптически непрозрачных материалах, к которым относятся практически все твердые высокоэнергетические материалы и многие полимерные материалы, используемые при исследованиях в качестве преград и экранов. Характерные размеры шероховатостей отражающих поверхностей, таких как шероховатости детонационного фронта или поверхностей ударников и оболочек, значительно меньше длины волны микроволнового излучения. Таким образом, для микроволнового излучения такие поверхности являются почти гладкими, тогда как для лазерного метода – диффузно отражающими, что создает проблемы в расшифровке результатов лазерной диагностики [1].
Произошедший в начале 2000-х годов всплеск развития микроволновой техники привел к совершенствованию конструктивных схем радиоинтерферометров (РИ) миллиметрового (мм) диапазона длин волн и методов регистрации и обработки экспериментальных данных, что позволило перейти на совершенно новый качественный уровень исследований быстропротекающих процессов [2]. В НИИИС им. Ю.Е. Седакова разработана серия РИ, предназначенных для измерения кинематических и отражательных характеристик быстропротекающих процессов. Так, в работе [3] представлены некоторые результаты применения интерферометров 8- и 3-мм диапазона длин волн.
Создание одноканального РИ трехмиллиметрового диапазона РИ-03 (рис. 1) позволило начать целый цикл работ по микроволновой диагностике быстропротекающих процессов, разработать и освоить новые методы радиоволновых измерений, недоступные ранее.
Рис. 1. Одноканальный интерферометр трехмиллиметрового диапазона РИ-03
Fig. 1. Single-channel interferometer of the three-millimeter range RI-03
Это стало возможным благодаря высокому энергетическому потенциалу приемопередатчика (более 60 дБ), малой рабочей длине волны (3,2 мм), существенно меньшей, чем у ранее существовавших аналогов, и широкому диапазону регистрируемых скоростей: от долей миллиметра в секунду до 10 км/с.
Однако, несмотря на несомненные достоинства, радиоинтерферометр РИ-03 имел недостатки. Энергетический потенциал прибора ограничивался из-за наличия на входе приемника сильной «засветки», обусловленной прямым прохождением на приемник сигнала мощного передатчика. Засветка возникала из-за неидеального согласования волноводных цепей внутри прибора с антенно-фидерной системой (АФС).
Конструктивные недостатки радиоинтерферометра РИ-03 были учтены при разработке многоканального радиоинтерферометра МРИ-03 (рис. 2, а) ирадиоинтерферометра ПРИ-03. Наряду с информацией о движении, получаемой при использовании одноканальных РИ, с помощью МРИ-03 была решена задача реконструкции формы поверхности объектов и динамики ее изменения во времени. С помощью разработанного ПРИ-03 в активно-пассивном режиме одновременно реализованы измерения кинематических (радиоинтерферометрический режим) и тепловых (радиометрический режим) характеристик быстропротекающих процессов. В этом случае прибор представляет собой микроволновый радиоинтерферометр-радиометр (рис. 2, б).
Рис. 2. Внешний вид радиоинтерферометров МРИ-03 (а) и ПРИ-03 (б)
Fig. 2. External appearance of radio interferometers MRI-03 (a) and PRI-03 (b)
Преимущества микроволнового способа зондирования инициировали дальнейшее развитие микроволновой радиоинтерферометрии и переход на более короткие длины волн – в субмиллиметровый диапазон (субмм), что позволяет увеличить точность и разрешающую способность измерений перемещений и скоростей диагностируемых объектов.
1. Антенно-фидерная система как составная часть радиоинтерферометра
При рассмотрении конструктивных схем РИ и методов проводимых с их помощью измерений важным вопросом является трансляция зондирующего излучения от РИ до объекта исследований.
Основные требования к волноведущим системам связаны с минимизацией потерь на передачу излучения, а также со снижением стоимости и удобством использования. Условия газодинамического эксперимента также накладывают ограничения на выбор АФС для использования в составе РИ. Таким образом, АФС должна обеспечивать:
- размещение измерительной аппаратуры за защитной преградой, вне прямой видимости от исследуемого объекта, т. е. протяженность и гибкость тракта;
- минимальные потери при передаче зондирующего и информационного сигналов.
К излучателю АФС предъявляются требования:
- формирование излучения с высоким пространственным разрешением;
- перекрытие исследуемым объектом главного лепестка диаграммы направленности облучателя;
- низкий уровень фонового излучения.
2. Диэлектрическая фидерная линия – причины выбора и варианты построения
Для трансляции зондирующего излучения могут применяться полые металлические волноводы (МВ) и диэлектрические волноводы (ДВ) [3; 4].
Последние нашли широкое применение в составе АФС различных КВЧ приемо-передающих устройств для передачи зондирующего излучения от интерферометра к экспериментальной сборке ввиду своей низкой стоимости по сравнению с другими типами волноводов (в рассматриваемом частотном диапазоне) и удобства использования (простая реализация радиальных изгибов).
2.1. Диэлектрическая линия трехмиллиметрового диапазона длин волн
Вариантом волноводной линии 3-мм диапазона длин волн является ДВ, представляющий собой полотно из фторопласта сечением 2,2 × 1 мм2 в пенополиэтиленовой оболочке, помещенной во внешнюю гофрированную оболочку из ПВХ (рис. 3). Указанный размер сечения ДВ обеспечивает одномодовый режим распространения основной волны НЕ11 и погонные потери не более 2 дБ/м, что допускает использование волновода длиной до 10 м. При этом допустимы радиусы изгибов волноводов не менее практически без изменения фазового набега.
Рис. 3. Внешний вид диэлектрического волновода
Fig. 3. External appearance of the dielectric waveguide
Для использования описанного ДВ в составе линии передачи (ЛП) в тракте РИ его необходимо согласовать с приемным входом. Для этого можно использовать плавные волноводные переходы с ДВ на прямоугольный МВ стандартного сечения 2,4 × 1,2 мм2 [5].
Наиболее очевидным решением с точки зрения согласования антенны с ДВ является использование в качестве антенны открытого конца самого ДВ (рис. 3). Для исследования его направленных свойств проведены численное моделирование диаграммы направленности (ДН) и экспериментальные измерения амплитудного распределения (АР) поля в плоскости поляризации основной волны НЕ11. В пакете CST MWS была получена ДН для открытого конца ДВ из фторопласта-4 c , моделирование проводилось на рабочей частоте ГГц. ДН в плоскости поляризации основной волны представлена на рис. 4.
Рис. 4. Диаграмма направленности открытого конца ДВ (CST MWS)
Fig. 4. Directional diagram of the open end of the DW (CST MWS)
Как видно из рис. 4, открытый конец ДВ является широконаправленной антенной с шириной главного лепестка по уровню минус 3 дБ Максимальный уровень боковых лепестков составляет минус 17,1 дБ, что позволяет не учитывать их в условиях решаемых задач.
Как было отмечено в требованиях к антенне, главный лепесток ее диаграммы направленности должен быть перекрыт исследуемым объектом. Ввиду широкой направленности антенны для расчета минимальных размеров исследуемого объекта можно взять ширину главного лепестка ДН по уровню минус 10 дБ, составляющую , тогда размеры исследуемого объекта должны определяться соотношением: где – радиус исследуемого объекта; r – расстояние от апертуры до исследуемого объекта; – угловой размер половины ширины главного лепестка ДН открытого конца ДВ по уровню минус 10 дБ. Например, при удалении объекта от антенны на расстояние до 100 мм его радиус должен быть не менее 64 мм.
Данная оценка размеров исследуемого объекта справедлива только при зондировании в вакууме, при зондировании в диэлектрической среде ДН открытого конца ДВ является более узкой.
2.2. Диэлектрические планарные излучатели трехмиллиметрового диапазона
Для решения задач многоканальной интерферометрии (МРИ) в силу их специфики потребовалось создание волноводных излучателей на основе многомодовых ДВ [6]. Для типовых условий таких задач объекты исследований и диапазон их перемещений характеризуются размерами в десятки длин волн. Для этих условий характерен дифракционный характер волнового излучения в зоне Френеля. С учетом дифракционного характера формирования зондирующего излучения и его взаимодействия с объектом диагностики, характерного для газодинамических опытов, была обоснована необходимость формирования зондирующего излучения в виде гауссовых волновых пучков [7].
Предложены диэлектрические конические и планарные клиновидные излучатели, которые, с одной стороны, обеспечивают сужение ДН за счет увеличения размера поперечного сечения антенны на апертуре, а с другой – формирование гауссовых волновых пучков (рис. 5). Конструкции излучателей защищены патентами РФ [8–10].
Рис. 5. Конструкции конического (б) и планарных излучателей (а, в)
Fig. 5. Designs of conical (b) and planar emitters (a, c)
Ниже представлены некоторые результаты численного моделирования в CST MWS и экспериментальных исследований на метрологически аттестованном стенде НИИИС конструкций излучателей, приведенных на рис. 5.
Конусный излучатель (рис. 5, б) обеспечивает осесимметричное излучение. Поскольку для многоканальных РИ предъявляется требование к разрешающей способности по поперечным координатам, для обеспечения этого требования рассмотрены возможности излучателей клиновидного типа с возбуждением со стороны вершины одномодовым ПДВ (рис. 5, а), а также с двухвходовым возбуждением распределенной связью ДВ с клином по его боковым граням (рис. 5, в). Эти излучатели также нашли применение и в одноканальных РИ.
Результаты экспериментальных исследований и проведенного численного моделирования CST АФР клиновидных излучателей в широком диапазоне изменения параметров изложены в [11]. Большая сторона сечения 2b апертуры излучателя выбиралась в широком диапазоне размеров характерных для многомодового режима ДВ. Размер меньшей стороны сечения характерен для одномодового режима. Излучатель выполнялся из фторопласта Угол раскрыва клина равен 10°, измерения проводились на мм.
Для иллюстрации результатов экспериментальных исследований на рис. 6 и 7 приведены АР составляющей поля Еy для конусного и клиновидного излучателей соответственно. Для удобства сравнения размер большей стороны сечения на апертуре клиновидного излучателя и диаметр на апертуре конусного излучателя взяты одинаковыми, равными 16 мм Для сравнения приведены результаты численного моделирования в CST и расчетная АФР основной моды волнового пучка Гаусса – Эрмита (ПГЭ0).
Рис. 6. Амплитудные распределения составляющей поля Еy конусного излучателя на расстоянии 10 мм (а – в Н-плоскости; б – в Е-плоскости)
Fig. 6. Amplitude distributions of the field component Ey of a conical emitter at a distance of 10 mm (a – in the H-plane; b – in the E-plane)
Из представленных зависимостей АР видно, что для конусных излучателей (рис. 6) характерно наличие боковых экстремумов на уровне минус 15...20 дБ. Тем не менее клиновидные излучатели могут быть использованы в одноканальных РИ при условии задания поперечных размеров области облучения ОД, не превышающих ширину АФР по уровню ниже минус 30 дБ.
Экспериментальные исследования поля клиновидного излучателя показали, что уровень боковых лепестков менее минус 25 дБ, а АР имеет пучковый характер, однако отличается от функции Гаусса (рис. 7). Таким образом, проблема влияния на точность измерений неравномерности АФР в направлении оси остается.
Рис. 7. Амплитудные распределения составляющей поля Еy клиновидного излучателя в Е-плоскости на расстоянии 10 мм между плоскостями апертур излучателя и зонда (Е-плоскость)
Fig. 7. Amplitude distributions of the field component Ey of a wedge-shaped emitter in the E-plane at a distance of 10 mm between the planes of the emitter and probe apertures (E-plane)
Для расширения возможностей диагностики и задач МРИ принципиально необходимо формирование ПГЭ0. Распределение поля в этом случае не имеет нулей, что исключает ошибку измерения перемещений за счет скачков фазы, характерных для распределения поля с боковыми лепестками. Кроме того, максимально простое аналитическое описание ПГЭ0 обеспечивает обработку сигналов МРИ с высокой точностью.
Хотя клиновидные излучатели могут быть использованы в одноканальных РИ при условии задания поперечных размеров области облучения объекта диагностики, не превышающих ширину АФР по уровню ниже минус 30 дБ, такой излучатель предоставляет ограниченные возможности управления амплитудами высших мод на апертуре, а значит, и формирования ПГЭ0 с требуемой точностью. Это связано с тем, что выбор параметров перехода обусловлен прежде всего необходимостью обеспечения минимальных потерь (условием «адиабатичности»). В этом случае профиль перехода линейный, в результате чего преобразование мод на переходе носит характер деформации структуры возбуждающего поля, а преобразование в высшие моды ничтожно мало.
Предложено эффективное техническое решение [12; 13] излучателя на основе отрезка широкоформатного прямоугольного ДВ (ШПДВ) с клиновидным переходом от одномодового ДВ (рис. 8). В плоскости, параллельной широким граням волновода, ширина поперечного сечения зондирующего поля может быть значительно сужена по сравнению с полем одноволнового режима в другой плоскости.
Рис. 8. Структура и внешний вид экспериментального образца излучателя с неоднородностями в форме клиновидных щелей
Fig. 8. Structure and appearance of the experimental sample of the emitter with inhomogeneities in the form of wedge-shaped slits
Клин 2 выполняет роль плавного перехода от одномодового ДВ 1 к многомодовому 3. Облучатель на основе ШПДВ формирует зондирующее поле с независимым управлением АФР поля в двух ортогональных направлениях. Возможность управления АФР излучения торца ШПДВ обеспечивается в многомодовом режиме посредством контролируемого суммирования собственных мод с определенными амплитудами.
Предложен метод реализации требуемого для синтеза ПГЭ0 модового состава полей ШПДВ. АФР поля излучения на торце регулярного участка ШПДВ аппроксимируется ПГЭ0 на основе волн НЕ11, НЕ13, НЕ15 ШПДВ. Задача возбуждения требуемого набора высших мод с заданными амплитудно-фазовыми соотношениями и управление модовым составом решена введением локальных неоднородностей на отрезке регулярного ШПДВ.
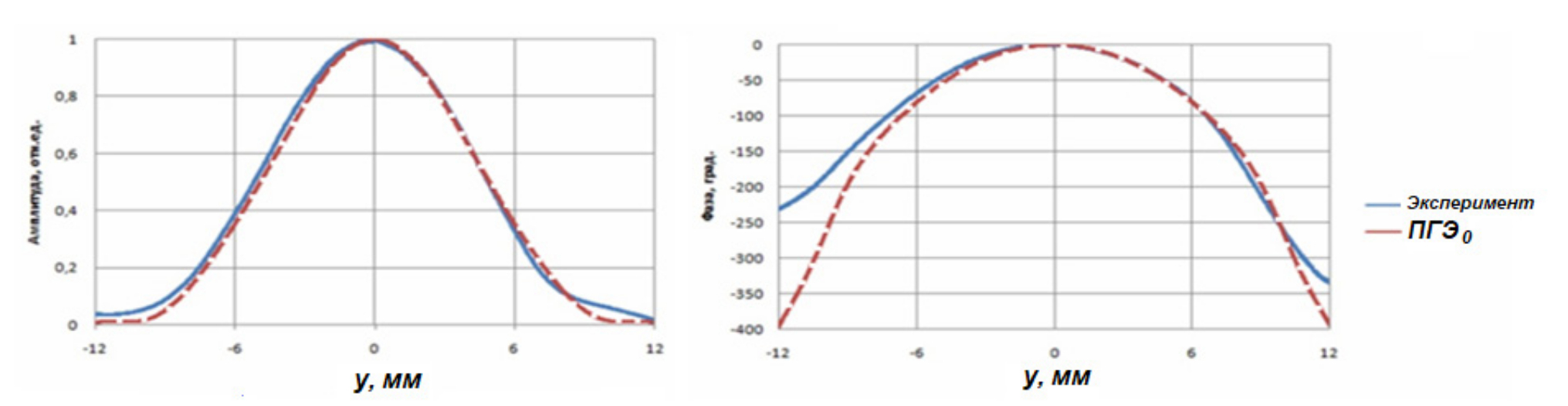
Для минимизации уровня отражений от неоднородностей, вводимых в отрезок ПДВ и обеспечения минимально возможного среднеквадратичного отклонения (СКО) АР излучаемого пучка от ПГЭ0 форму щелей предложено выполнять в виде шестиугольников, вытянутых вдоль оси (рис. 8). По результатам проектирования изготовлены конструкции излучателей, варианты которых защищены патентом РФ [14]. Синтезированное АФР ПГЭ0 практически совпадает с результатами численного моделирования в программе CST MWS в диапазоне расстояний от 20 до 100 мм. На рис. 9 и 10 в сравнении с АФР ПГЭ0 также приведены измеренные на расстоянии 20 мм от апертуры экспериментальные амплитудные и фазовые распределения формируемого излучателем зондирующего пучка и измеренные на том же расстоянии АР трехканальной системы излучателей для применения в многоканальной диагностике. До уровня минус 35 дБ АР совпадают с ПГЭ0 с СКО не хуже 10–3.
Рис. 9. Экспериментальные амплитудные и фазовые распределения составляющей Еy электрического поля в сравнении с ПГЭ0 на расстоянии 20 мм от апертуры
Fig. 9. Experimental amplitude and phase distributions of the component Еy of the electric field in comparison with the PGE0 at a distance of 20 mm from the aperture
Рис. 10. Экспериментальные АР Ey(y) в Е-плоскости для трехканальной системы излучателей
Fig. 10. Experimental AR Ey(y) in the E-plane for a three-channel system of emitters
Разработанные излучатели вошли в состав одноканального и многоканального РИ и применяются при диагностике газодинамических процессов.
3. Малогабаритные АФС с диэлектрическими вставками
Существует ряд задач, где требуется диагностика газодинамических процессов в замкнутых объемах, свободное пространство внутри которых ограничено. Для таких применений необходимы излучатели с минимальными габаритами, формирующие осесимметричную ДН с шириной по уровню 0,5 не более 40°, обеспечивающие амплитудное и фазовое распределения поля излучения в пределах требуемого участка движущейся в диагностируемом замкнутом объеме поверхности и обеспечивающие минимальный уровень боковых лепестков (УБЛ).
Требование такой малой ширины зондирующего пучка при отношениях не более 3, нереализуемое для металлических волноводных излучателей, может быть также выполнено при применении диэлектрических излучателей, у которых формирование ДН обеспечивается физической апертурой, превышающей геометрическую.
В работе [15] представлены результаты исследования и проектирования малогабаритных излучателей АФС КВЧ РИ, которые отвечали бы предъявленным требованиям. АФС должна обеспечивать формирование излучения трехмиллиметрового диапазона длин волн мм) через отверстие в экране из фторопласта. В качестве подводящей линии для создаваемой АФС используется МВ внутренним сечением 2 мм, а внешний диаметр МВ выбирается равным 3 мм из технологических соображений.
В силу специфики ДВ как открытых систем у волноведущих диэлектрических элементов (стержень, конус и т. п.) направленность определяется поперечным сечением распределения потока мощности волны НЕ11 со спадом поля на границе сечения на 15-20 дБ. Поэтому на открытом конце МВ было предложено разместить соосно диэлектрический излучатель с габаритами внешней насадки не более 10 мм по продольной и поперечным координатам.
Предложены конструкции диэлектрических излучателей АФС, и в программе CST MWS были получены результаты численного моделирования для них.
3.1. Стержневой диэлектрический излучатель
Стержневой излучатель выполнен в виде штыря из полистирола или кварца с плавным коническим заострением. Толщина стержня выбрана равной (рис. 11, а) или меньшей (рис. 11, б) внутреннего диаметра МВ, а длина его внешней (излучающей) части составляет 10 мм.
Рис. 11. Варианты стержневых диэлектрических излучателей: а – с толщиной, равной диаметру МВ и усеченным заострением; б – с толщиной, меньшей диаметра МВ, со скачкообразным изменением радиуса сечения
Fig. 11. Variants of rod dielectric emitters: a – with a thickness equal to the diameter of the MV and a truncated point; b – with a thickness less than the diameter of the MV, with a stepwise change in the radius of the section
У излучателей такого типа физическая апертура зависит от их толщины и материала. Например, по результатам моделирования конструкции со стержнем из полистирола диаметром 2 мм, равным внутреннему диаметру МВ (рис. 11, а), получен почти симметричный пучок с УБЛ минус 16,6 дБ. Ширина ДН составила 41,9° и 43,6° в двух плоскостях соответственно (рис. 12, а). Предельной следует считать длину излучателя 7 мм. Дальнейшее его укорочение ведет к расширению ДН и росту УБЛ.
Рис. 12. Диаграмма направленности, формируемая стержневым излучателем из полистирола, представленным на: а – рис. 11, а; б – рис. 11, б
Fig. 12. Directional pattern formed by a polystyrene rod radiator shown in: a – Fig. 11, a; b – Fig. 11, b
Особенностью варианта конструкции (рис. 11, б) является наличие плавного перехода от стержня диаметром 2 мм, равного внутреннему диаметру МВ, к тонкому стержню диаметром 1 мм. Длина плавного перехода выбиралась равной (4–5) мм. Длина внешней части излучателя составляет 25 мм.
Введение конического перехода со скачкообразным изменением радиуса сечения на выходе из МВ, равным 0,5 мм (рис. 11, б), улучшает согласование, уменьшая тем самым УБЛ до значения минус 14,3 дБ при достижении узкой ДН (рис. 12, б).
3.2. Диэлектрический конический излучатель
Предложенный конический излучатель имеет длину и диаметр раскрыва 10 мм. Конус является продолжением диэлектрического штыря, введенного в МВ (рис. 13).
Рис. 13. Варианты диэлектрического конического излучателя
Fig. 13. Variants of a dielectric conical emitter
ДН, формируемая коническим излучателем из полистирола (рис. 13, а), приведена на рис. 14, а. Получен практически симметричный узконаправленный волновой пучок по уровню до минус 10 дБ с распределением поля, близким к гауссову. Ширина диаграммы направленности в Е- и Н-плоскостях равна 26,5° и 24,9° соответственно. УБЛ не превышает минус 20 дБ.
Рис. 14. Диаграммы направленности, формируемые коническим излучателем из полистирола, представленным на: а – рис. 13, а; б – рис. 13, б; в – рис. 13, в
Fig. 14. Directional patterns formed by a conical polystyrene radiator shown in: a – Fig. 13, a; b – Fig. 13, b; c – Fig. 13, c
Известно [16], что излучатели, на выходе которых формируется волновой пучок в виде основной моды Гаусса – Эрмита, обеспечивают значительно бóльшую точность радиоинтерферометрических измерений при диагностике газодинамических процессов за счет существенного уменьшения уровня боковых лепестков. Отмечалось [6], что одним из способов формирования гауссова распределения поля на апертуре излучателя является возбуждение высшей моды в определенном соотношении с основной модой.
Предложена конструкция с резкой нерегулярностью в виде скачкообразного изменения диаметра сечения диэлектрического элемента на выходе из МВ с 2 мм до 3 мм (рис. 13, б). На резкой нерегулярности эффективно возбуждается волна высшего симметричного типа ЕН12 и в сочетании с основной волной НЕ11 обеспечивает формирование ДН гауссова типа. Модификация конструкции позволила получить существенно лучшие по сравнению с диэлектрическим конусом без скачкообразного изменения диаметра сечения параметры излучения – ширина ДН составила 24,8° в Е-плоскости и 23,4° в Н-плоскости, гауссово распределение поля волнового пучка наблюдается до уровня минус 19 дБ при УБЛ, не превышающем минус 21 дБ (рис. 14, б). При более строгих требованиях к внешним габаритам излучателя возможно дальнейшее уменьшение габаритов до апертуры 5 мм и длины внешней конической части 2,85 мм (рис. 13, в), что даст расширение ДН не более чем на 10°, не ухудшая УБЛ (рис. 14, в).
Результаты экспериментальных исследований на частоте 93,7 ГГц на примере двух оптимальных образцов излучателей малогабаритной АФС обобщены на рис. 15. Они хорошо согласуются с результатами моделирования, что подтверждает возможность применения выбранных вариантов диэлектрических излучателей АФС для широкого диапазона радиоинтерферометрических задач зондирования, в том числе в условиях жестких требований к габаритам АФС при установке внутрь измерительных узлов, свободное пространство внутри которых ограничено.
Рис. 15. Экспериментальные АР образцов малогабаритных излучателей в сравнении с результатами моделирования CST
Fig. 15. Experimental AR of small-sized emitter samples in comparison with CST modeling results
У конических излучателей с диаметром раскрыва 10 мм достигается минимальная (из исследованных малогабаритных моделей) ширина ДН. Для применения в составе РИ при зондировании объектов как в открытых, так и в замкнутых объемах следует выделить излучатель с укороченной конической вставкой со скачкообразным изменением диаметра сечения, у которого паразитное боковое излучение практически не облучает зондируемую поверхность – в формируемой им ДН минимумы основного лепестка находятся в районе углов а первый боковой лепесток имеет максимум в направлении углов относительно направления максимума основного лепестка. Это свойство позволит избежать множественных переотражений, искажающих результат.
Предложенные варианты диэлектрических излучателей КВЧ РИ позволили обеспечить узконаправленность излучения и УБЛ, недостижимые при использовании металлических волноводных и рупорных излучателей с теми же размерами.
4. Линии передачи с малыми потерями на сверхразмерном металлическом волноводе
Как уже было отмечено, вариантом решения задачи повышения точности измерений и динамических свойств КВЧ-радиометра является уменьшение потерь в АФС. Специфика газодинамических экспериментов требует размещения приемо-передатчика на безопасном расстоянии от объекта измерений, а антенны – в непосредственной близости к нему. Используемые в газодинамических экспериментах ДВ, имеющие погонные потери около 2,5 дБ/м, ограничивают длину волноводного тракта для его применения в составе КВЧ РИ длиной не более 2 м. Дальнейшее увеличение длины ДВ приводит к росту потерь в волноводном тракте, уменьшению отношения мощности полезного сигнала к мощности шума на выходе измерительной системы.
Задача снижения потерь в ЛП, особенно в мм и субмм диапазонах длин волн, является чрезвычайно актуальной [17]. На сегодняшний день известны ленточные ДВ [18], квазиоптические лучевые зеркальные и другие подобные им направляющие структуры [19; 20], имеющие в мм диапазоне длин волн погонные потери менее 0,1 дБ/м. Однако данные ЛП обладают недостатками: ленточные ДВ не допускают изгибов, касаний и неоднородностей диэлектрического полотна, квазиоптические зеркальные волноводы требуют прецизионной юстировки. Поэтому применение перечисленных ЛП в газодинамических экспериментах в составе ЛП КВЧ-радиометра может быть затруднено.
Известным классом ЛП с малыми потерями являются сверхразмерные металлические волноводы (СРМВ) прямоугольного и круглого сечений [21; 22], которые при соотношении размера сечения D волновода и длины волны , равного обеспечивают погонные потери на порядок меньше, чем в одномодовых прямоугольных МВ стандартного сечения.
При проектировании ЛП на СРМВ необходимо учитывать многомодовый режим распространения волн. Число возможных типов волн пропорционально где S – площадь поперечного сечения волновода. По этой причине в ЛП на СРМВ недопустимы резкие нерегулярности, а оптимальное возбуждение таких ЛП в соответствии с принципами квазиоптики обеспечивается волновым пучком Гаусса с соотношением ширины пучка w (по уровню 0,5) к диаметру D волновода
4.1. Линии передачи на прямоугольном сверхразмерном металлическом волноводе
Наиболее простым вариантом реализации ЛП на СРМВ является линия на прямоугольном СРМВ.
Рассчитаны погонные потери для основной волны Н10 в прямоугольном СРМВ стандартного сечения 7,2 × 3,4 мм2, являющегося сверхразмерным на рабочей длине волны передатчика КВЧ РИ мм. Согласно результатам моделирования, значение погонных потерь на рабочей длине волны мм составило 0,76 дБ/м.
В качестве возбудителя ЛП на СРМВ был выбран плавный пирамидальный рупорный переход с сечения 2,4 × 1,2 мм2 на 7,2 × 3,4 мм2 длиной 30 мм Результаты его моделирования показали, что волноводный переход в частотном диапазоне то 90 до 100 ГГц имеет значение КСВН, не превышающее 1,15, среднее ослабление 0,09 дБ и является взаимным устройством, что позволяет использовать его в составе ЛП. Для экспериментального исследования погонных потерь в прямоугольном СРМВ были изготовлены отрезки длиной 0,5 м из стандартной трубы, для их возбуждения – плавные пирамидальные рупорные переходы с сечения 2,4 × 1,2 мм2 на 7,2 × 3,4 мм2 длиной 30 мм (рис. 16).
Рис. 16. Волноводные узлы ЛП: а – прямоугольные СРМВ; б – пирамидальный волноводный переход
Fig. 16. Waveguide nodes of the LP: a – rectangular oversized metal waveguide; b – pyramidal waveguide transition
Измерения ослабления в четырех вариантах волноводных сборок показали, что КСВН во всех случаях не превышал 1,14. Экспериментальное значение погонных потерь в изготовленных прямоугольных СРМВ сечением 7,2 × 3,4 мм2 в рабочей полосе частот КВЧ РИ составляет 0,8 дБ/м, что близко к результатам моделирования и к теоретическому значению. Различие объясняется ограниченной точностью численной модели при моделировании, инструментальной погрешностью панорамного измерителя и неучтенными потерями на различных неоднородностях, имеющих место в реальном волноводе. В частности, в [23] отмечено, что на высоких частотах определяющим фактором, влияющим на характеристики волновода, становится качество обработки (шероховатость) экранирующих поверхностей. Используя рассмотренную ЛП, выполненную на прямоугольных СРМВ, становится возможным отнести блок приемо-передатчика КВЧ РИ на расстояние до 9 м от места проведения эксперимента при сохранении чувствительности на уровне, сопоставимом с тем, который обеспечивается при применении ДВ длиной не более 2 м.
Данное решение имеет ряд недостатков. Жесткая конструкция волноводных соединений не позволяет производить изгибы волноводов, поэтому блок приемо-передатчика КВЧ РИ придется размещать в прямой видимости от объекта исследования на прямолинейном участке, что потребует дополнительных мероприятий по организации его защиты от воздействия прямой ударной волны. Другим недостатком является высокая стоимость изготовления СРМВ (особенно с серебряным покрытием). Поэтому использование СРМВ целесообразно в лабораторных условиях.
4.2. Комбинированная линия передачи на прямоугольном СРМВ и ДВ
Очевидным решением, позволяющим обеспечить безопасность и сохранность блока приемо-передатчика, является использование гибких ДВ совместно с СРМВ. Участок, где необходимо выполнить волноводный изгиб, выполняется из ДВ, а регулярный участок – из прямоугольного СРМВ.
Для реализации возможности применения прямоугольных СРМВ в составе ЛП КВЧ РИ был предложен вариант гибкого волновода для связи МВ стандартного и сверхразмерного сечений [24], эскиз и экспериментальный образец которого представлен на рис. 17.
Рис. 17. Устройство гибкого волновода для связи МВ стандартного и сверхразмерного сечений, модель волноводного перехода с ДВ на СРМВ в CST MWS и его экспериментальный образец
Fig. 17. Flexible waveguide device for communication of standard and oversized metallic waveguide sections, model of waveguide transition from dielectric waveguide to oversized metal waveguide in CST MWS and its experimental sample
Площадь сверхразмерного сечения на выходе волноводного перехода 2 должна определяться из соотношения где – рабочая длина волны. При этом длина расширяющегося участка волноводного канала должна быть не менее . При такой конструкции волноводного перехода 2 обеспечивается минимальное преобразование основной волны Н10 прямоугольного МВ в высшие типы волн благодаря концентрации электромагнитного поля основной волны внутри клинообразного участка ДВ и ее эффективное преобразование в основную волну НЕ11 ДВ. Аналогичным образом при распространении волны НЕ11 по ДВ происходит обратное преобразование волны НЕ11 в Н10 в волноводном переходе 3.
Для количественной оценки величины ослабления и качества согласования ДВ с СРМВ на переходе 2 было проведено численное моделирование ослабления и КСВН в обоих направлениях в диапазоне частот от 90 до 100 ГГц. На объемной модели (рис. 17) цифрами 1 и 2 обозначены соответствующие порты ввода-вывода СВЧ-мощности. Результаты моделирования КСВН и ослабления показали, что данный волноводный переход в частотном диапазоне то 90 до 100 ГГц имеет среднее значение КСВН, не превышающее 1,2, среднее ослабление 0,5 дБ и является взаимным устройством, что определяет возможность использования его в составе гибкого волновода для связи МВ стандартного и сверхразмерного сечений.
Волноводный переход с ДВ на СРМВ вошел в состав макета гибкого волновода для связи МВ стандартного сечения 2,4 × 1,2 мм2 и сверхразмерного сечения 7,2 × 3,4 мм2 с фторопластовым ДВ сечением 2,2 × 1,0 мм2. Экспериментальные исследования показали, что суммарные потери в гибком волноводе при длине ДВ 0,5 м не превышают 1,1 дБ, а в каждом из волноводных переходов –0,3 дБ.
Несмотря на возможность выполнения изгибов, слабым местом такой ЛП (с точки зрения воздействия прямой ударной волны) по-прежнему остается жесткий регулярный участок, содержащий прямоугольный СРМВ. Однако при использовании гибких волноводов возможно организовать защиту СРМВ от воздействия, ограничив тем самым уничтожаемый участок только частью заменяемого ДВ из состава гибкого волновода.
При переходе в субмм диапазон длин волн еще более остро встает задача минимизации потерь в тракте. В диапазоне частот около 300 ГГц тангенс угла потерь фторопласта Ф-4 возрастает до а погонный коэффициент ослабления волновода сечением 0,9 × 0,45 мм2 составляет примерно 12 дБ/м. Таким образом, при необходимой длине тракта не менее 1,5 м применение диэлектрической фидерной линии из Ф-4 в субмм диапазоне становится уже невозможным. Применение полиэтилена низкого давления (ПНД) с позволяет снизить погонные потери до 8 дБ/м, что, однако, также недостаточно для создания протяженных линий. В связи с этим применение ДВ в субмм диапазоне ограничено короткими участками в составе комбинированной фидерной линии, обеспечивающими ее гибкость и разрыв при воздействии ударной волны. В этом случае в ходе эксперимента уничтожаются лишь СРМВ и ДВ, в то время как наиболее сложные в изготовлении узлы – рупорные переходы и волноводный фланец – остаются пригодными для дальнейшего использования.
На протяженном участке (~1 м) комбинированной фидерной линии может быть использован прямоугольный СРМВ со стандартным сечением волноводного канала 7,2 × 3,4 мм2. При мм расчетные потери в СРМВ составляют 0,8 дБ/м для моды H10 и 0,5 дБ/м для моды H01. Исходя из этого факта, в качестве рабочей моды волновода целесообразно выбрать моду H01.
Конструкция конических рупорных переходов, предназначенных для связи ДВ с выходным волноводом РИ сечением 0,9 × 0,45 мм2 и СРМВ, аналогична описанным выше. Потери на каждом переходе не превышают 1 дБ.
В качестве облучателя комбинированной АФС предлагается использовать открытый конец СРМВ как наиболее простой в реализации и обладающий приемлемыми характеристиками излучения. Результаты численного моделирования показали, что в E-плоскости ширина ДН облучателя составляет 7,4°, УБЛ ДН – минус 13,2 дБ. В H-плоскости ширина ДН – 20,9°, УБЛ – минус 24,7 дБ [25].
5. Квазиоптическая АФС трехмиллиметрового и субмиллиметрового диапазона
Другой вариант построения АФС основан на формировании в свободном пространстве волнового пучка осесимметричной двухзеркальной длиннофокусной антенной с эллиптической образующей малого зеркала [26].
Спецификой применения АФС в РИ является необходимость совпадения линии визирования исследуемых объектов с траекторией их движения, поэтому для защиты зеркальной антенны от разрушения при газодинамических экспериментах в АФС вводится разрушаемое плоское зеркало, разделяющее в пространстве оптическую ось антенны и вектор разрушений, совпадающий с направлением движения объекта. Схема измерений представлена на рис. 18, где 1 – большое зеркало, 2 – малое зеркало, 3 – плоское зеркало, 4 – взрывозащита антенны, r – расстояние от апертуры до фокуса. Антенна возбуждает квазиоптическую направляющую систему с плоским зеркалом, которое позволяет в зависимости от размеров и дальности нахождения исследуемого объекта перенаправить падающий пучок и сфокусировать его на диагностируемом объекте. В качестве демпфера связи РИ с антенной может использоваться отрезок ДВ длиной 40–60 мм.
Рис. 18. Схема измерений при использовании квазиоптической АФС
Fig. 18. Measurement scheme using quasi-optical antenna-feeder system
При анализе работы антенны можно пользоваться геометрооптическим представлением (лучевой трактовкой распространения волн), поскольку выполняются условия ближней и промежуточных зон: где D – апертура антенны. Ширина формируемого фокального пятна l на уровне половины максимальной интенсивности излучения определяется формулой Рэлея: а глубина резкости по уровню 0,9 от максимума, соответствующего фокусу, для длиннофокусных антенн примерно равна Фокусное расстояние равно трем диаметрам апертуры D, и для фокусировки на расстоянии 1 м достаточен диаметр апертуры около 30 см.
Сущность рассматриваемой квазиоптической антенны хорошо иллюстрирует рис. 19, более подробно описанный в [27]. Малая фокальная ось В-В большого зеркала выполнена в виде осесимметричной вырезки из эллипсоида вращения. Диаметр малого зеркала d определяется из условия равенства расстоянию между фокусами и . Малое зеркало выполняется в виде цилиндра, у которого обращенный к облучателю торец профилирован как осесимметричная вырезка из эллипсоида вращения. Один из его фокусов O лежит на оптической оси антенны и должен совпадать с фазовым центром рупорного облучателя (РО).
Рис. 19. Схема двухзеркальной антенны с расщепленным фокусом
Fig. 19. Schematic diagram of a two-mirror antenna with split focus
Характеристики всей антенны во многом определяет ДН первичного источника – РО. При этом важны форма основного лепестка в секторе облучения малого зеркала, крутизна ДН и УБЛ вне сектора.
К РО для создания оптимального распределения поля на апертуре антенны предъявляются следующие требования:
- четко выраженный фазовый центр рупора, который должен совпадать с фокусом O малого зеркала по оси антенны;
- осесимметричная ДН в Е- и Н-плоскостях;
- уровень облучения внешней кромки малого зеркала должен быть не более минус 13...15 дБ от максимального значения главного лепестка ДН во избежание утечки энергии за пределы малого зеркала и для минимизации дифракционных эффектов на кромке.
Этим требованиям удовлетворяет расфазированный конический рупор с изломом конической образующей с углом 40–50° между образующей и осью симметрии. Фазовый центр у таких рупоров лежит у устья рупора.
В квазиоптической антенне, разработанной на конкретной частоте мм диапазона, система зеркал может быть использована также на любой другой более высокой частоте. Это справедливо при обеспечении рупорным облучателем заданных соотношений фокусов и O и требований к облучателю, изложенных выше.
В работе [27] описана разработанная ранее в НИИИС квазиоптическая антенна трехмиллиметрового диапазона для радиоинтерферометрической диагностики газодинамических процессов, обладающая высоким пространственным разрешением порядка длины волны зондирующего излучения. Диаметры ее большого D и малого d зеркал составляют 320 мм и 20 мм соответственно. Антенна фокусирует излучение на расстоянии 984 мм от апертуры с разрешающей способностью по поперечной координате 10,5 мм и глубиной резкости (по уровню 0,9) 100 мм.
В связи с широкополосностью система зеркал антенны может работать и в субмм диапазоне, в частности на длине волны мм, однако требует разработки соответствующего РО, эквивалентного облучателю трехмиллиметрового диапазона по электрическим характеристикам и конструктиву.
С помощью сравнительного численного моделирования РО в мм и субмм проведена оценка размеров РО субмм диапазона мм). На рис. 20 показаны облучатели мм и субмм диапазона и их взаимное расположение относительно малого зеркала. Приведен контур РО для рабочей частоты 93,5 ГГц мм) (пунктирная линия). Облучатель для рабочей частоты 282,3 ГГц мм) изображен сплошной линией.
Рис. 20. Рупорный облучатель и его взаимное расположение относительно малого зеркала: мм (пунктирная линия); мм (сплошная линия)
Fig. 20. Horn feed and its relative position relative to the small mirror: mm (dashed line); mm (solid line)
Параметры РО трехмиллиметрового диапазона взаимосвязаны с фокусами большого и малого зеркал. Угол полураскрыва излучающего расфазированного рупора равен 45°. Диаметр фокального кольца равен диаметру мм малого зеркала. Близкая к симметричной ДН рупора с уровнем облучения внешней кромки малого зеркала не более минус 13 дБ от максимума ДН обеспечивается при диаметре апертуры рупора, равном 13,5 мм.
Для РО, работающего на длине волны = 1,06 мм, для сохранения взаимосвязи геометрических размеров с фокусами зеркал должны быть сохранены угол расстояние OT от фазового центра O до конического острия T малого зеркала, диаметр d. Для достижения на мм ДН, идентичной ДН трехмиллиметрового РО, диаметр апертуры рупора выбирается равным мм. Соответственно, расстояние от апертуры рупора до острия малого зеркала увеличивается с 2,35 мм до 6,85 мм.
Численное моделирование характеристик излучения обоих облучателей показало, что на рабочей частоте 93,5 ГГц исходный облучатель формирует практически симметричную ДН. Ширина ДН – 39° и 42,5° в Е- и Н-плоскостях соответственно. Уровень облучения кромки малого зеркала не более минус 20 дБ (Е-плоскость) и минус 13 дБ (Н-плоскость). Результаты моделирования ДН РО для АФС субмм диапазона, работающего на частоте 282,3 ГГц мм), показывают практически полное совпадении ДН: ширина ДН разработанного РО составила 37,3° и 44,4° в Е- и Н-плоскостях соответственно. Уровень облучения кромки малого зеркала не более минус 25 дБ и минус 13 дБ в соответствующих плоскостях [28]. Обеспечена идентичность характеристик излучения двух РО, что позволит применять предложенную конструкцию на длине волны мм для облучения трехмиллиметровой двухзеркальной системы АФС без перерасчета конструкций эллиптических поверхностей.
Квазиоптическая АФС хотя технологически является более сложной, но при этом позволяет реализовать пространственное разрешение порядка длины волны и получить минимально возможные потери в измерительном тракте как в мм, так и в субмм диапазонах длин волн, что расширяет возможности диагностики и увеличивает точность измерений параметров газодинамических процессов в субмм диапазоне длин волн. Данный вариант АФС требует сложной юстировки, а также применим только при наличии защиты антенны от воздействия ударной волны и осколочного поражения.
Заключение
В настоящее время радиоинтерферометрический метод диагностики является уникальным бесконтактным методом диагностики быстропротекающих процессов, широко применяемым для измерения параметров движения и электрофизических характеристик вещества. В статье показаны преимущества микроволнового метода и рассмотрен широкий диапазон способов и схем построения антенно-фидерных систем КВЧ- радиоинтерферометров, обосновано применение различных типов АФС – диэлектрических, металлических, комбинированных металлодиэлектрических, квазиоптических, в зависимости от решаемой задачи и диапазона рабочих частот.
About the authors
Ekaterina Y. Gaynulina
Russian Federal Nuclear Center – All-Russian Research Institute of Experimental Physics
Author for correspondence.
Email: okatrin@list.ru
ORCID iD: 0000-0002-8554-4116
SPIN-code: 1154-1346
ResearcherId: O-8311-2016
Candidate of Technical Sciences, senior researcher of the Department of Measuring Systems Development
Research interests: theory of wave processes, microwave and antenna technology
Russian Federation, 37, Mira Avenue, Sarov, Nizhny Novgorod Region, 607188Vladimir N. Ikonnikov
Russian Federal Nuclear Center – All-Russian Research Institute of Experimental Physics
Email: ikonnikov-vn@yandex.ru
ORCID iD: 0000-0001-9455-4001
SPIN-code: 5415-6868
ResearcherId: IST-7258-2023
Candidate of Physical and Mathematical Sciences, senior researcher of the Department of Measuring Systems Development
Research interests: microwave probing, EHF technology, antenna-feeder systems, radio photonics
Russian Federation, 37, Mira Avenue, Sarov, Nizhny Novgorod Region, 607188Nikolay S. Kornev
Russian Federal Nuclear Center – All-Russian Research Institute of Experimental Physics
Email: korneff15@rambler.ru
ORCID iD: 0000-0002-7848-3917
SPIN-code: 9853-6653
head of the Department of Measuring Systems Development
Research interests: radiophisics, microwave and antenna technology
Russian Federation, 37, Mira Avenue, Sarov, Nizhny Novgorod Region, 607188Andrey V. Nazarov
Russian Federal Nuclear Center – All-Russian Research Institute of Experimental Physics
Email: nazarov52@mail.ru
ORCID iD: 0000-0002-0261-1724
SPIN-code: 6516-0650
ResearcherId: R-9919-2016
Candidate of Technical Sciences, deputy chief designer – head of the Department of Radioelectronic Systems Development
Research interests: electrodynamics, radar, antennas, techniques of microwave and optical ranges
Russian Federation, 37, Mira Avenue, Sarov, Nizhny Novgorod Region, 607188Yuriy I. Orekhov
Russian Federal Nuclear Center – All-Russian Research Institute of Experimental Physics
Email: okatrin@list.ru
SPIN-code: 5355-0380
Doctor of Technical Sciences, chief researcher of the Department of Advanced Research and Development
Research interests: radiophisics, microwave and antenna technology
Russian Federation, 37, Mira Avenue, Sarov, Nizhny Novgorod Region, 607188References
- A. L. Mikhailov, Ed. Non-Disturbing Methods for Diagnostics of Fast-Flowing Processes. Sarov: RFYaTs-VNIIEF, 2015. (In Russ.)
- V. A. Kanakov et al., “The state and prospects of the development of microwave radio interferometry for diagnosis of gas dynamic processes,” Antenny, no. 1 (221), pp. 49–54, 2016, url: https://elibrary.ru/item.asp?id=25680917. (In Russ.)
- A. L. Mikhaylov et al., “Some of the results of application in the IFV RFD-VNIIEF of radio interferometers of millimeter wavelengths for studying gas-dynamic processes,” Ekstremal’nye sostoyaniya veshchestva. Detonatsiya. Udarnye volny: tr. Mezhd. konf. VII Kharitonovskie tematicheskie nauchnye chteniya. Sarov, 14–18 March 2005. Sarov: RFYaTs-VNIIEF, pp. 649–654, 2005. (In Russ.)
- V. M. Bel’skiy et al., “Microwave diagnosis of shock waves and detonation processes,” Fizika goreniya i vzryva, vol. 47, no. 6, pp. 29–41, 2011, url: https://sibran.ru/journals/issue.php?ID=120267&ARTICLE_ID=132478. (In Russ.)
- V. F. Vzyatyshev, Yu. I. Orekhov, and A. G. Pankratov, “The wave water transition from the metal waveguide to the dielectric,” RU Patent 2557472, Jul. 20, 2015. (In Russ.)
- E. Yu. Gaynulina and V. V. Shtykov, “Multi-moded mode of dielectric planar wave-water converters,” Izvestiya vuzov. Fizika, vol. 55, no. 8-3, pp. 5–10, 2012, url: https://elibrary.ru/item.asp?id=18054069. (In Russ.)
- V. V. Shtykov et al., “Diffraction of sounding and information wave beams in the process of distribution and interaction,” Ekstremal’nye sostoyaniya veshchestva. Detonatsiya. Udarnye volny: tr. Mezhd. konf. VIII Kharitonovskie nauchnye chteniya. Sarov, 14–18 March 2011. Sarov: RFYaTs-VNIIEF, pp. 694–698, 2011. (In Russ.)
- A. G. Pankratov, A. V. Rodionov, E. Yu. Gaynulina, V. N. Khvorostin, and V. F. Vzyatyshev, “Dielectric conical emitter,” RU Patent 2485644, Jun. 20, 2013. (In Russ.)
- V. F. Vzyatyshev, E. Yu. Gaynulina, N. A. Makarychev, and Yu. I. Orekhov, “Planning emitter,” RU Patent 2447552, Apr. 10, 2012. (In Russ.)
- V. F. Vzyatyshev, E. Yu. Gaynulina, Yu. I. Orekhov, and A. V. Rodionov, “Dielectric planar emitter,” RU Patent 2515700, May 20, 2014. (In Russ.)
- V. F. Vzyatyshev, S. A. Klyachin, and E. Yu. Gaynulina, “Diphysational KVH wave-water converters on open multi-muddy dielectric wavelengths: phenomena physics in the near zone and relevant applications,” Radiolokatsiya i radiosvyaz’: tr. III Vserossiyskoy nauch.-tekhn. konf. Moskva, 26–30 October 2009. Moscow: IRE RAN RF, pp. 186–187, 2009, url: http://jre.cplire.ru/jre/library/3conference/pdffiles/t009.pdf. (In Russ.)
- E. Yu. Gaynulina, “Amplitude-phase distribution of fields on a multi-moded dielectric waveguide for radio interferometric diagnostics of objects,” cand. tech. sciences. dissertation, Moscow, 2014. (In Russ.)
- V. V. Shtykov, E. Yu. Gaynulina, and A. V. Nazarov, “Implementation of the multi -moded wave regime for the synthesis of AFR dielectric planar irradiators,” SVCh-tekhnika i telekommunikatsionnye tekhnologii: tr. 24-y Mezhd. konf. «KryMiKo 2014». Sevastopol’, 7–13 September 2014. Sevastopol’: Veber, pp. 623–624, 2014. (In Russ.)
- V. V. Shtykov, E. Yu. Gaynulina, A. V. Nazarov, A. A. Sedov, and V. N. Khvorostin, “Planning dielectric emitter,” RU Patent 2578660 С1, Mar. 27, 2016. (In Russ.)
- E. Yu. Gaynulina, N. S. Kornev, and A. V. Nazarov, “Study of the possibility of creating a small-sized antenno-phased radio interferometer,” Informatsionnye sistemy i tekhnologii: sb. mat. dokl. XXIII Mezhd. nauch.-tekhn. konf. k 100-letiyu NGTU IST-2017. Nizhniy Novgorod, 21 April 2017. Nizhniy Novgorod: NGTU im. R.E. Alekseeva, pp. 1062–1067, 2017, url: https://www.elibrary.ru/item.asp?id=41200731. (In Russ.)
- V. F. Vzyatyshev et al., “Diagnosis of gas -dynamic processes with microwave interferometers with sounding of objects with gowsk wave beams,” Ekstremal’nye sostoyaniya veshchestva. Detonatsiya. Udarnye volny: tr. Mezhd. konf. XVII Kharitonovskie tematicheskie nauchnye chteniya. Sarov, 23–27 March 2015. Sarov: RFYaTs-VNIIEF, pp. 810–814, 2015. (In Russ.)
- K. V. Mineev et al., “The exciting systems of the AFC band with small losses for use in diagnostic devices of rapidly flowing gas-dynamic processes,” Budushchee tekhnicheskoy nauki: sb. mat. XV Mezhd. molod. nauch.-tekhn. konf. Nizhniy Novgorod, 27 May 2016. Nizhniy Novgorod: NGTU im. R.E. Alekseeva, pp. 404–405, 2016. (In Russ.)
- C. Yeh and F. I. Shimabukuro, The Essence of Dielectric Waveguides. New York: Springer, 2008.
- A. A. Kostenko, “Quasioptics: Historical prerequisites and modern development trends,” Radiofizika i radioastronomiya, no. 3, pp. 221–246, 2000. (In Russ.)
- L. B. Knyaz’kov and N. V. Ruzhentsev, “The fenodielectric lenses of gearboxes of the millimeter and submilimeter range of wavelengths,” Pis’ma v zhurnal tekhnicheskoy fiziki, no. 20, pp. 59–64, 2008, url: https://journals.ioffe.ru/articles/13844. (In Russ.)
- V. B. Steinshleiger, Ed. Low-Loss Waveguide Transmission Lines. Moscow: Izdatel’stvo inostrannoy literatury, 1960. (In Russ.)
- Yu. N. Kazantsev and O. A. Kharlashkin, “Round waves of the class “Having hollow dielectric canal”,” Radiotekhnika i elektronika, no. 8, pp. 1441–1450, 1984. (In Russ.)
- V. V. Biryukov, K. V. Mineev, and A. V. Nazarov, “Accounting for roughnesses of shielding surfaces of the waves,” Fizika i tekhnicheskie prilozheniya volnovykh protsessov: mat. XIV Mezhd. nauch.-tekhn. konf. Samara, 22–24 November 2016. Kazan’: OOO «16Print», pp. 143, 2016. (In Russ.)
- E. Yu. Gaynulina, N. S. Kornev, K. V. Mineev, A. V. Nazarov, Yu. I. Orekhov, and Yu. A. Svetlakov, “A flexible waveguide for the connection of metal waves of standard and superior sections,” RU Patent 2657318, Jun. 13, 2018. (In Russ.)
- E. Yu. Gaynulina et al., “Antenno-phased system of the radio interferometer of the submilimeter range,” Matematicheskie metody v tekhnologiyakh i tekhnike, no. 5, pp. 66–72, 2023, url: https://elibrary.ru/item.asp?id=54118756. (In Russ.)
- G. Z. Ayzenberg, V. G. Yampol’skiy, and O. N. Tereshin, Antennas VHF. Part 2. Moscow: Svyaz’, 1977. (In Russ.)
- V. A. Kanakov et al., “UHF antennas for radio vision systems,” Antenny, no. 5 (108), pp. 13–16, 2006, url: https://elibrary.ru/item.asp?id=9200087. (In Russ.)
- E. Yu. Gaynulina et al., “Options for constructing an antenno-feeding system for the tasks of radio interferometric measurements in the submillimeter range,” Vestnik MGTU im. N.E. Baumana. Ser. Priborostroenie, no. 2 (147), pp. 37–54, 2024, url: https://elibrary.ru/item.asp?id=67964696. (In Russ.)
Supplementary files





















