Анализ методов снижения пик-фактора сигнала в условиях влияния эффекта Доплера в гибридных сетях связи
- Авторы: Сальников Р.О.1, Мешков И.К.1, Гизатулин А.Р.1, Тимофеев А.Л.1, Султанов А.Х.1, Харенко А.А.1, Мешкова А.Г.1
-
Учреждения:
- Уфимский университет науки и технологий
- Выпуск: Том 27, № 3 (2024)
- Страницы: 61-70
- Раздел: Оригинальные исследования
- URL: https://ogarev-online.ru/1810-3189/article/view/269923
- DOI: https://doi.org/10.18469/1810-3189.2024.27.3.61-70
- ID: 269923
Цитировать
Аннотация
Обоснование. Для дальнейшего развития сетей связи планируется использование гибридных спутниковых сетей для передачи трафика. Однако спутниковые каналы связи имеют особенности, такие как искажения, вызванные эффектом Доплера и повышенные требования к энергоэффективности. Цель данного исследования - анализировать варианты методов ортогонального частотного мультиплексирования и методы модуляции, чтобы выбрать наиболее устойчивую технологию, учитывая дестабилизирующие факторы. Методом сравнения различных технологий обработки сигналов и исследования их устойчивости к битовым ошибкам – является имитационное моделирование канала связи в среде Matlab. Этот подход позволяет создать модель сети связи, учитывающую основные параметры каналов связи, такие как эффект Доплера, энергодефицитность и дестабилизирующие факторы. Результаты. Проведено сравнение распределения коэффициента битовой ошибки для различных технологий обработки сигнала, в зависимости от отношения сигнал/шум. Определены метод частотного мультиплексирования, обеспечивающие минимальный пик-фактор и наиболее устойчивые к битовой ошибке. Также отмечается, что эффективность всех исследованных технологий зависит от интервалов разнесения и модуляционных созвездий, и что необходимо настраивать характеристики системы для каждого случая. Заключение. Результаты этого исследования могут быть использованы для улучшения качества связи в сложных помеховых условиях гибридных мобильных сетей 5 и 6 поколений с использованием спутникового сегмента.
Ключевые слова
Полный текст
Введение
Появление стандартизированного узкополосного интернета вещей (Narrow Band Internet of Things, NB-IoT), промышленного интернета вещей и полностью подключенных транспортных средств (Vehicle-to-Everytning, V2X) привело к изменению акцента в мобильных сетях от подключения людей к подключению устройств. Однако наземные сети имеют территориальные ограничения, связанные с покрытием базовых станций, поэтому предлагается использовать неназемные сети связи для обеспечения всеобъемлющего покрытия [1]. В настоящее время известно несколько решений, основанных на технологии ортогонального частотного мультиплексирования (Orthogonal frequency-division multiplexing,OFDM), для передачи сигналов в наземных и спутниковых сетях. Однако передача с высоким уровнем пик-фактора (Peak-to-Average-Power-Ratio, PAPR) может быстро истощить заряд аккумуляторов устройств и привести к внутренним помехам [1]. Поэтому вариация OFDM, называемая DFT-s-OFDM, предлагается как альтернативное решение, которое позволяет снизить пик-фактор и обеспечивает низкую вычислительную сложность алгоритмов обработки сигналов за счет внесения в стандартные алгоритмы OFDMпрямого и обратного дискретного преобразования Фурье (ДПФ, ОДПФ или DFT, IDFT, Discrete Fourier Transform, Inverse Discrete Fourier Transform). Также рассматривается использование метода нулевых хвостов [2] для управления параметрами внеполосного излучения и PAPR. Гибридные методы обработки сигнала, использующие нулевые хвосты или уникальные слова [3], могут быть применены в гибридных сетях связи, где спутники расширяют зону покрытия и обеспечивают непрерывность обслуживания абонентов. Современные низкоорбитальные спутники движутся по круговым орбитам на высоте от 300 до 1500 км [4–6].
Анализ особенностей ретрансляции данных с низкоорбитальных спутников
При ретрансляции данных через спутниковые сети связи, задержки и доплеровский сдвиг являются основными проблемами, которые нужно решать в гибридных сетях. Доплеровский сдвиг вызывает изменение несущей частоты, фазы и разноса поднесущих частот, что может приводить к интерференции между сигналами. В худшем случае доплеровский сдвиг может достигать значений до нескольких сотен кГц и скорость его изменения может быть несколько кГц/с [7–8]. Доплеровский сдвиг может быть компенсирован с использованием информации о движении спутника и местоположении абонентского терминала. Доплеровский сдвиг также зависит от относительных скоростей терминала и спутника, и увеличивается с увеличением частоты. Низкоорбитальный спутник может быть подключен к терминалу абонента в пределах 14 мин. Для уменьшения эффекта Доплера при передаче данных в спутниковом канале используется частотное ортогональное мультиплексирование с DFT-распределением поднесущих частот и занулением хвостов блоков. Это достигается путем зануления символов данных, влияющих на хвост символа DFT-s-OFDM. Так называемый зануленный хвост является аналогом циклического префикса в CP-OFDM, что позволяет поддерживать частотное канальное выравнивание. Технология обработки сигнала ZT-DFT-s-OFDM является модернизацией технологии DFT-s-OFDM, но их структуры почти идентичны. Добавление нулей к обоим концам блока DFT-распределения позволяет значительно снизить уровень внеполосных излучений. Гибкость настройки длины защитных интервалов обеспечивается путем определения количества нулей на входе блока DFT-распределения. В работах [3; 9] описывается технология UW-DFT-s-OFDM, которая использует уникальные паттерны-слова для создания ненулевых фиксированных выборок в символах ZT DFT-s-OFDM, DFT-s-OFDM, OFDM. UW-паттерн может быть добавлен как до преобразования Фурье, так и после, и ортогональность между полезными данными и UW-паттерном поддерживается. При демодуляции символов данных нет необходимости в знании уникального слова на приемной стороне. UW-сигналы сохраняют свою смежность благодаря круговой свертке с использованием sinc-функции.
Оценка и компенсация PAPR в условиях влияния эффекта Доплера в спутниковом канале
Рассмотрим процесс передачи сигналов между низкоорбитальным спутником и наземным оборудованием или в случае нахождения подвижного абонента в движущемся высокоскоростном наземном или воздушном транспорте. Данные о расчетах доплеровского сдвига и модели каналов для подобных случаев представлены в исследованиях 3GPP [7; 10].
Предварительное кодирование DFT [11; 12] преобразует входные сигналы в частотную область, чтобы создавать блочные сигналы с одной несущей с различной полосой пропускания путем изменения размера блока DFT с учетом длительности защитного интервала. DFT-s-OFDM позволяет снизить уровень внеполосного излучения OOBE (Out Of Band Emissions), и обладает более простыми и гибкими механизмами реализации для контроля таких параметров, как PAPR и OOBE, по сравнению с OFDM и аналогами. Он также уменьшает PAPR и увеличивает коэффициент выборки символов данных. Это приводит к генерации сигнала на одной несущей частоте.
Предположим, что общее количество поднесущих, которые будут переносить полезную информацию – M, в таком случае входные данные: а их отображение выглядит как: Отображение далее будет обеспечиваться с помощью DFT, как показано в (1).
(1)
DFT-распределенные символы, относящиеся к располагаются по M поднесущих, являющихся меньшей частью количества поднесущих, благодаря операции заполнения нулями, как показано в (2).
Операцию заполнения нулями или zero padding можно описать, как:
(2)
где k – символ k-й поднесущей [13].
Существуют два варианта распределения частот поднесущих для абонентов в технологии FDMA: распределенный (DFDMA) и локализованный (LFDMA) [14]. DFDMA использует M поднесущих в преобразовании DFT по всей полосе частот, заполняя оставшиеся (N-M) несущих нулями. LFDMA использует M последовательных поднесущих в полосе частот из N поднесущих, заполняя оставшиеся (N-M) нулями. Также существует метод доступа IFDMA, который является разновидностью распределенного FDMA, где выходные данные DFT-преобразования распределяются с равным расстоянием N / M = S.
В общем виде значение PAPR определяется формулой (3)
(3)
Для оценки шумоподобных сигналов, передающихся в беспроводных сетях, необходимо знать статистическое описание их уровней мощности. Для этого используется функция используется дополнительная функция кумулятивного распределения (Complementary Cumulative Distribution Function, CCDF), которая показывает, сколько времени сигнал находится на определенном уровне мощности или выше. Кривая CCDF представляет собой график зависимости уровней мощности от вероятности. Эта функция также используется для оценки нелинейностей в усилителях мощности и передатчиках. Вероятность того, что PAPR не превысит заданный пороговый уровень мощности, обозначается как FPAPR(z) того, что PAPR не превысит z, где z – пороговый уровень сигнала, будет равна:
(4)
для N низкоскоростных потоков данных, при этом CCDF
(5)
Традиционно ошибки синхронизации из-за многолучевости могут быть исправлены благодаря оценке по пилот-сигналам, поскольку ошибки синхронизации превращаются в фазовые ошибки с помощью циклического префикса (CP). Это также делает поднесущие невосприимчивыми к временному круговому сдвигу, который вызывает фазовые ошибки.
Взаимосвязь между BER (Bit Error Rate) и доплеровским сдвигом в беспроводной связи является важной областью исследований в телекоммуникациях. BER, или битовая ошибка, является ключевым показателем качества в цифровых коммуникационных системах [15]. Его рассчитывают, определяя отношение числа неправильно принятых бит к общему числу переданных бит. Высокий BER указывает на плохое качество связи, что может привести к потере данных и неэффективности системы связи. Доплеровский сдвиг, с другой стороны, является физическим эффектом, вызванным движением между передатчиком и приемником. Это движение может изменить частоту принимаемого сигнала относительно его исходной частоты. Изменение частоты может искажать сигнал и увеличивать BER. Особенно заметное искажение происходит при быстром движении передатчика или приемника, что обычно бывает в мобильных беспроводных системах. В мобильной связи, где устройства часто перемещаются с высокой скоростью, например, мобильные телефоны в движущихся автомобилях или поездах, эффект доплеровского сдвига может быть особенно заметным. Это приводит к значительному увеличению BER и ухудшению качества связи.
Эффект Доплера очень важен для оценки коэффициента битовой ошибки, особенно для низкоорбитальных спутниковых систем. Время пролета таких спутников ограничено 14 мин. Относительная скорость спутника максимальна при угле места от 30° и ниже. В этот момент доплеровский сдвиг становится максимальным. Таким образом, спектр сигнала смещается от номинального значения, которое генерируется локальным гетеродином, вследствие чего возникают ошибки демодуляции [16–17].
Кроме того, система OFDM требует жесткой частотной синхронизации по сравнению с системами с одной несущей, поскольку поднесущие являются узкополосными, и каждая поднесущая испытывает различные доплеровские сдвиги. Свойства доплеровского разнесения могут использоваться в системах с несколькими несущими для борьбы с замиранием канала, например, путем искусственного добавления сдвигов, используя цифровую обработку на передатчике. Однако, такое решение по борьбе с замираниями приводит к значительному ухудшению значений параметра PAPR. Очевидно, что после доплеровского сдвига сигнала с несколькими несущими амплитуда наложенного сигнала во временной области изменяется более резко, что и приводит к увеличению PAPR [18–19].
Используем для моделирования канала модель линейного фильтра с выделенной задержкой с изменяющимися во времени коэффициентами. Каждый задержанный сигнал модулируется по амплитуде и фазе независимыми случайными функциями времени основной полосы частот, что приводит к замиранию Рэлея. Модели каналов TDL (TappedDelayLine, каналы перехваченной линии задержки) [10; 20] определены для полного диапазона частот от 0,5 до 100 ГГц с максимальной полосой пропускания 2 ГГц. В данной работе рассматривается модель канала TDL-C, которая описывает поведение беспроводного канала с учетом эффектов многолучевого распространения, замирания и шума. Эта модель может быть использована для моделирования различных сценариев беспроводной связи и оценки производительности систем связи. Некоторые примеры применения модели включают оценку производительности мобильных сетей 5G в городских и сельских районах, а также проектирование систем связи для помещений с высоким уровнем помех. В статье также проводится анализ влияния технологий обработки сигналов и типов каналов на PAPR и коэффициент битовой ошибки в спутниковом канале.
Результаты моделирования
Имитационное моделирование проведено в среде Matlab, используемый код построен на базе программы имитационного моделирования, представленной в работе [21–22].
Основными данными, используемыми при моделировании, являются: технологии обработки сигнала и методы доступа к данным, такие как OFDM, c использованием и без использования циклического префикса (OFDM и OFDMnoCP); DFT-s-OFDM, c использованием и без использования циклического префикса (DFT-OFDM и DFT-OFDMnoCP); ее гибридные вариации, ZT-DFT-s-OFDM и UW-DFT-s-OFDM (ZTDFT-OFDM и UWDFT-OFDM), а также метод частотного мультиплексирования с множеством несущих, использующий гребенку частотных фильтров (FilterBankMulticarrier, FBMC). Технологии OFDM и FBMC уже были апробированы для использования в каналах спутниковой связи [23–24]. К другим используемым в моделировании данным относятся форма излучаемого сигнала, количество поднесущих, порядок модуляции, несущая частота (4,8 ГГц, [25]), модель канала (AWGN, TDL [10; 26]), и т. д. Так как моделируется канал для связи со спутником, находящимся на низкой околоземной орбите, то значения скорости приняты 7556,2 м/с или 27202,32 км/ч (высота орбиты 600 км).
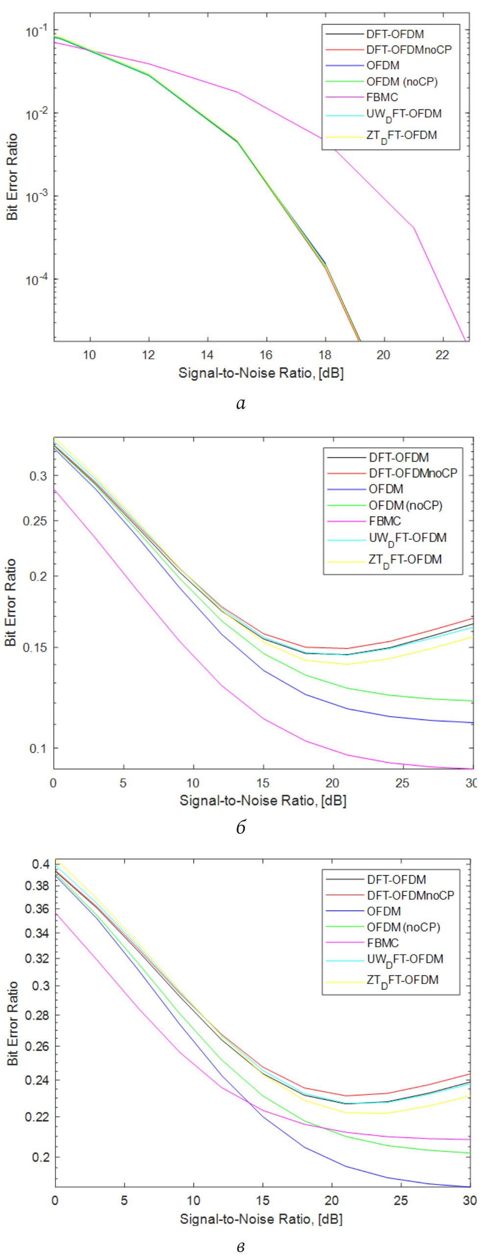
В ходе моделирования проведено сравнение распределения коэффициента битовой ошибки в зависимости от изменения отношения сигнал/шум для различных технологий обработки сигнала. Приведены полученные графики коэффициента битовой ошибки для каналов AWGN и TDL-C (рис. 1). На рис.1, а представлен результат оценки коэффициента битовой ошибки в условиях воздействия белого гауссовского шума, не учитывающий скорость движения спутника, при интервале между поднесущими в 30 кГц и модуляционном созвездии 16-QAM. Влияние доплеровского сдвига в условиях движения на высоких скоростях внесло значительные искажения в оценку коэффициента битовой ошибки. Именно поэтому, рис. 1, б–в укрупнены, для большей наглядности. Минимального в условиях канала спутник-Земля значения коэффициента BER для технологий обработки на базе DFT-s-OFDM удалось добиться в случае разнесения в 480 кГц и модуляции QAM-16 (рис.1, б), изменения полученных значений BER для различных технологий лежат в пределах от 0,15 до 0,2. Если говорить о результатах в общем, в ходе исследования метод FBMC показал наименьшее значение BER. После проведенных экспериментов стоит отметить, что с изменением интервалов разнесения и модуляционных созвездий меняется и эффективность всех представленных технологий, что позволяет сделать вывод о необходимости подстройки характеристик системы под каждый конкретный случай. Все приведенные выше результаты экспериментов показывают достаточно высокую сложность в исправлении ошибок в каналах для спутников, движущихся с высокими скоростями. Тем не менее, правильный подбор модуляционного созвездия и разработка частотных планов, в том числе для сетей технологий 5G и 6G, может дать положительный результат.
Рис. 1. Графики коэффициента битовой ошибки для всех представленных технологий обработки: а – канал AWGN; б – канал TDL_C, QAM-16, разнесение поднесущих – 480 кГц; в – канал TDL_C, QAM-64, разнесение поднесущих – 480 кГц
Fig. 1. Graphs of the bit error coefficient for all the presented processing technologies: a – AWGN channel; b – channel TDL_C, QAM-16, subcarrier spacing – 480 kHz; c – TDL_C channel, QAM-64, subcarrier spacing – 480 kHz
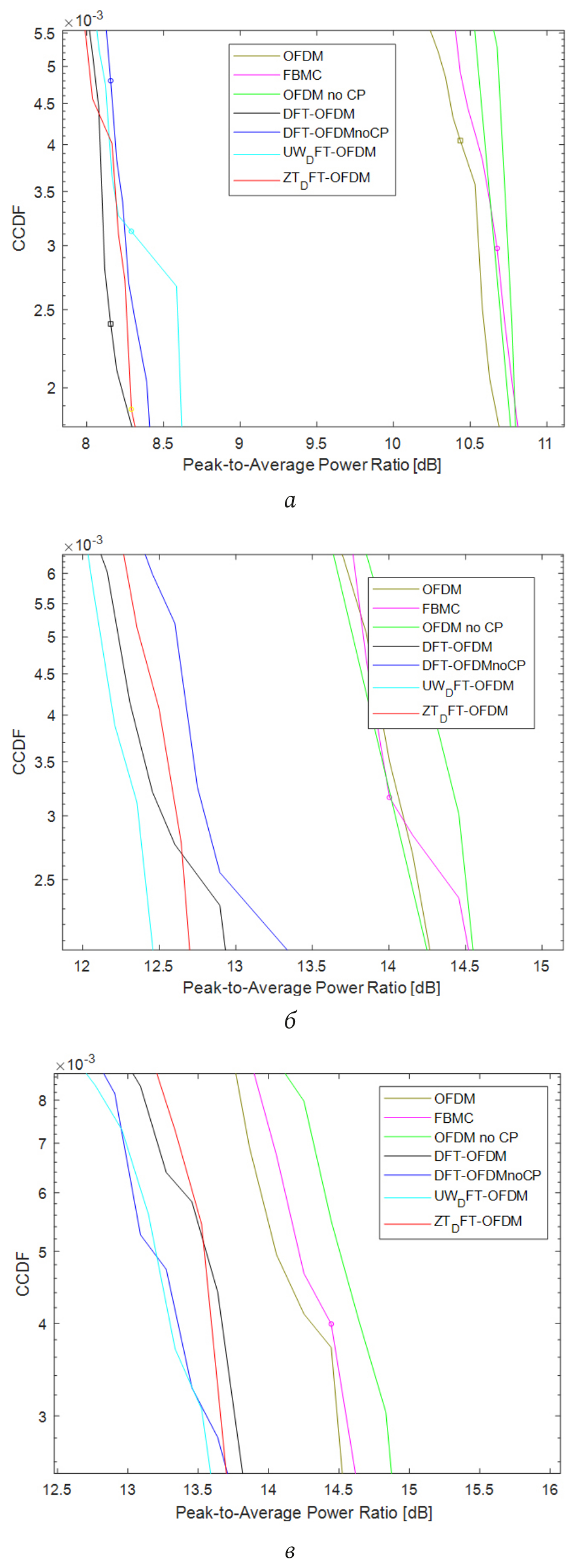
На рис. 2 приведены графики зависимостиCCDF от PAPR для всех исследуемых технологий обработки сигнала. На рис. 2, а представлен результат оценки PAPR для канала с белым гауссовским шумом, не учитывающий скорости движения спутника, при интервале между поднесущими в 30 кГц и модуляционном созвездии 16-QAM. Технологии обработки сигнала на основе DFT-s-OFDM значительно снижают значения PAPR (разница в 3–4 дБ) относительно технологий обработки OFDM, OFDMnoCP, а также FBMC в условиях значительного воздействия доплеровского сдвига частот (рис. 2, б–в). С изменением формата модуляции и увеличением разноса поднесущих увеличивается энергетическая эффективность технологий UW-DFT-s-OFDM и ZT-DFT-s-OFDM при моделировании передачи данных в спутниковом канале.
Тем не менее, как видно из рисунков рис. 2, б–в, размер модуляционного созвездия QAM влияет на уровень PAPR в контексте сложных каналов. Чем больше размер созвездия, тем больше потенциальных уровней мощности сигнала, и, следовательно, тем выше PAPR. Например, 64-QAM имеет больший PAPR по сравнению с 16-QAM.
Приведенные выше результаты позволяют говорить о гибридных технологиях UW-DFT-s-OFDM и ZT-DFT-s-OFDM, как об эффективных методах повышения качества предоставляемых услуг в сложных помеховых условиях и кандидатах на использование в мобильных сетях 5 и 6 поколений с космическим сегментом с точки зрения снижения PAPR в приемопередающем оборудовании.
Рис. 2. Графики зависимости PAPR к CCDF для всех представленных технологий обработки: а – канал AWGN; б – канал TDL_CQAM-16, разнесение поднесущих – 480 кГц; в – канал TDL_CQAM-64, разнесение поднесущих – 480 кГц
Fig. 2. PAPR graphs for all presented processing technologies: a – AWGN channel; b – channel TDL_CQAM-16, subcarrier spacing – 480 kHz; c – TDL_CQAM-64 channel, subcarrier spacing – 480 kHz
Заключение
Исследование показало, что для передачи данных между мобильным абонентом и спутниковыми сегментами в новых конвергентных сетях пятого и шестого поколения возможно использование технологий DFT-s-OFDM и их гибридных вариаций для уменьшения уровня PAPR и сохранения энергетических характеристик канала. Однако, результаты по параметру коэффициента битовой ошибки не так хороши, что можно исправить с помощью правильного выбора модуляционного созвездия и частотных планов. Для снижения значений коэффициента битовой ошибки в сложных каналах в дальнейшем предлагается исследовать использование техник глубокого обучения и определить необходимые характеристики для снижения коэффициента BER.
Финансирование
Исследование выполнено за счет гранта Российского научного фонда № 24-29-00080, https://rscf.ru/project/24-29-00080/
Об авторах
Роман Олегович Сальников
Уфимский университет науки и технологий
Автор, ответственный за переписку.
Email: kosshak17@yandex.ru
ORCID iD: 0009-0009-9670-6000
SPIN-код: 2069-1136
аспирант очной формы обучения кафедры телекоммуникационных систем
Россия, 450076, Уфа, ул. Заки Валиди, 32Иван Константинович Мешков
Уфимский университет науки и технологий
Email: mik.ivan@bk.ru
ORCID iD: 0000-0003-3479-3072
SPIN-код: 3751-8588
кандидат технических наук, доцент кафедры телекоммуникационных систем
Россия, 450076, Уфа, ул. Заки Валиди, 32Азат Ринатович Гизатулин
Уфимский университет науки и технологий
Email: azat_poincare@mail.ru
ORCID iD: 0000-0002-0753-0608
SPIN-код: 3283-7153
кандидат технических наук, доцент кафедры телекоммуникационных систем
Россия, 450076, Уфа, ул. Заки Валиди, 32Александр Леонидович Тимофеев
Уфимский университет науки и технологий
Email: a_l_t@inbox.ru
ORCID iD: 0000-0003-2137-803X
SPIN-код: 2638-4439
кандидат технических наук, доцент кафедры электронной инженерии
Россия, 450076, Уфа, ул. Заки Валиди, 32Альберт Ханович Султанов
Уфимский университет науки и технологий
Email: sultanov.ah@mail.ru
ORCID iD: 0000-0002-2830-3498
доктор технических наук, профессор кафедры телекоммуникационных систем, действительный член международной академии телекоммуникаций, заслуженный деятель науки Республики Башкортостан, заслуженный работник высшей школы РФ
Россия, 450076, Уфа, ул. Заки Валиди, 32Артемий Андреевич Харенко
Уфимский университет науки и технологий
Email: tema@kharenko.art
ORCID iD: 0000-0002-0652-8979
SPIN-код: 2518-2430
аспирант кафедры телекоммуникационных систем
Россия, 450076, Уфа, ул. Заки Валиди, 32Алина Газимьяновна Мешкова
Уфимский университет науки и технологий
Email: Alina0808@gmail.com
ORCID iD: 0009-0007-7178-7524
SPIN-код: 4372-6130
доцент кафедры телекоммуникационных систем
Россия, 450076, Уфа, ул. Заки Валиди, 32Список литературы
- Tong W., Zhu P. 6G: The Next Horizon. From Connected People and Things to Connected Intelligence. Cambridge: Cambridge University Press, 2021. 624 p.
- Nemati M., Takshi H., Arslan H. A flexible hybrid waveform // 2017 IEEE International Black Sea Conference on Communications and Networking (BlackSeaCom). 2017. P. 1–5. DOI: https://doi.org/10.1109/BlackSeaCom.2017.8277659
- An improved unique word DFT-spread OFDM scheme for 5G systems / A. Sahin [et al.] // 2015 IEEE Globecom Workshops (GC Wkshps). 2015. P. 1–6. DOI: https://doi.org/10.1109/GLOCOMW.2015.7414173
- Пехтерев С.В., Макаренко С.И., Ковальский А.А. Описательная модель системы спутниковой связи Starlink // Системы управления, связи и безопасности. 2022. № 4. С. 190–255. DOI: https://doi.org/10.24412/2410-9916-2022-4-190-255
- Ань Н.Д., Ершов А.В. Система «Марафон IoT» и новый рынок спутникового IoT // Технологии и средства связи. 2021. № S1. С. 75–80. URL: https://elibrary.ru/item.asp?id=48046779
- 6G for connected sky: A vision for integrating terrestrial and non-terrestrial networks / M. Ozger [et al.] // 2023 Joint European Conference on Networks and Communications & 6G Summit (EuCNC/6G Summit). 2023. P. 711–716. DOI: https://doi.org/10.1109/EuCNC/6GSummit58263.2023.10188330
- 3GPP TR 28.808 V17.0.0 (2021-03). 3rd Generation Partnership Project; Technical Specification Group Services and System Aspects Study on management and orchestration aspects of integrated satellite components in a 5G network (Release 17), 2021.
- Satellite-based non-terrestrial networks in 5G: Insights and challenges / A. Sattarzadeh [et al.] // IEEE Access. 2022. Vol. 10. P. 11274–11283. DOI: https://doi.org/10.1109/ACCESS.2021.3137560
- A state-space approach for tracking Doppler shifts in radio inter-satellite links / P. Pedrosa [et al.] // IEEE Access. 2021. Vol. 9. P. 102378–102386. DOI: https://doi.org/10.1109/ACCESS.2021.3098562
- Zero-tail DFT-spread-OFDM signals / G. Berardinelli [et al.] // 2013 IEEE Globecom Workshops (GC Wkshps). 2013. P. 229–234. DOI: https://doi.org/10.1109/GLOCOMW.2013.6824991
- 3GPP ETSI TR 138 901 V17.0.0 (2022-04). 5G; Study on channel model for frequencies from 0.5 to 100 GHz (3GPP TR 38.901 version 17.0.0 Release 17), 2022.
- Berardinelli G. Generalized DFT-s-OFDM waveforms without cyclic prefix // IEEE Access. 2018. Vol. 6. P. 4677–4689. DOI: https://doi.org/10.1109/ACCESS.2017.2781122
- A Waveform for 5G: Guard interval DFT-s-OFDM / U. Kumar [et al.] // 2015 IEEE Globecom Workshops (GC Wkshps). 2015. P. 1–6. DOI: https://doi.org/10.1109/GLOCOMW.2015.7414204
- The development of methods for estimating and compensating frequency and time offset in 6G DFT-s-OFDM technology communication systems / I.K. Meshkov [et al.] // 2022 IEEE International Multi-Conference on Engineering, Computer and Information Sciences (SIBIRCON). 2022. P. 1040–1045. DOI: https://doi.org/10.1109/SIBIRCON56155.2022.10016969
- Зуев М.Ю. Комплексное повышение эффективности радиоэлектронных устройств и систем передачи информации с OFDM на основе нелинейных систем с динамическим хаосом // Физика волновых процессов и радиотехнические системы. 2022. Т. 25, № 1. C. 55–64. DOI: https://doi.org/10.18469/1810-3189.2022.25.1.55-64
- MIMO-OFDM Wireless Communications with MATLAB / Y.S. Cho [et al.]. Hoboken: John Wiley & Sons, 2010. 544 p.
- Polyak M.G. Bit error ratio, caused by Doppler effect, for systems of space diversity reception // Journal of Siberian Federal University. Engineering & Technologies. 2019. No. 12 (1). P. 64–71. DOI: https://doi.org/10.17516/1999-494X-0075
- Abraham A.S., Nitha S. Significance and effects of peak to average power ratio reduction techniques in an OFDM system // International Journal of Research Studies in Science, Engineering and Technology. 2015. Vol. 2, no. 8. P. 79–83. URL: https://ijrsset.org/pdfs/v2-i8/11.pdf
- OAM-based reconfigurable Doppler shifts enable PAPR reduction for multi-carrier Doppler diversity / Y. Zhao [et al.] // 2022 Asia-Pacific Microwave Conference (APMC). 2022. P. 485–487. DOI: https://doi.org/10.23919/APMC55665.2022.9999832
- Performance evaluation of TDL channels for downlink 5G MIMO systems / G.-R. Barb [et al.] // 2019 International Symposium on Signals, Circuits and Systems (ISSCS). 2019. P. 1–4. DOI: https://doi.org/10.1109/ISSCS.2019.8801790
- Nissel R., Rupp M. Pruned DFT-spread FBMC: Low PAPR, low latency, high spectral efficiency // IEEE Transactions on Communications. 2018. Vol. 66, no. 10. P. 4811–4825. DOI: https://doi.org/10.1109/TCOMM.2018.2837130
- Исследование методов оценки и компенсации частотного рассогласования в системах связи 6G с технологией DFT-s-OFDM в каналах с райсовскими и рэлеевскими замираниями / Р.О. Сальников [и др.] // Инфокоммуникационные технологии. 2022. Т. 20, № 4. C. 14–22. URL: https://www.elibrary.ru/item.asp?id=54514011
- Finite time chaos synchronization in time-delay channel and its application to satellite image encryption in OFDM communication systems / B. Vaseghi [et al.] // IEEE Access. 2021. Vol. 9. P. 21332–21344. DOI: https://doi.org/10.1109/ACCESS.2021.3055580
- Caus M., Pérez-Neira A.I. FBMC-based random access signal design and detection for LEO base stations // IEEE Transactions on Wireless Communications. 2023. Vol. 22, no. 3. P. 2156–2170. DOI: https://doi.org/10.1109/TWC.2022.3209898
- Частоты для 5G в России. TAdviser. URL: https://clck.ru/353BMG
- Lahdenperä J. On feasibility of the UE power saving signal for the 5G new radio: Master’s thesis. University of Oulu, 2019. 61 p.
Дополнительные файлы



