Application of complex-valued convolutional neural networks for equalization and detection of SEFDM systems
- Authors: Averina L.I.1, Kamentsev O.K.2
-
Affiliations:
- Voronezh State University
- JSC «Concern “Sozvezdie”»
- Issue: Vol 26, No 4 (2023)
- Pages: 95-103
- Section: Articles
- URL: https://ogarev-online.ru/1810-3189/article/view/253831
- DOI: https://doi.org/10.18469/1810-3189.2023.26.4.95-103
- ID: 253831
Cite item
Full Text
Abstract
Background. The disadvantage of spectrally efficient signals with frequency multiplexing is the occurrence of intersymbol interference, which is further aggravated when these signals propagate in frequency selective channels.
Aim. The possibility and effectiveness of using neural network approaches for channel equalization and signal detection in communication systems using SEFDM signals has been assessed.
Methods. A receiver structure for SEFDM systems based on a deep complex-valued convolutional neural network is proposed, which allows recovering bits from the temporal representation of the signal without using the fractional Fourier transform and inverting the cross-correlation matrix between frequency subcarriers. A two-stage network training scheme has been developed. Based on simulation modeling, a comparative analysis of the noise immunity of SEFDM systems was carried out both in a channel with white Gaussian noise and in a channel with Rayleigh fading, using classical and neural network receivers.
Results. It is shown that there is no loss of noise immunity in channels with additive white Gaussian noise and an increase in noise immunity of the system up to 2 dB in the channel specified by the extended automotive model (3GPP-EVA).
Conclusion. The effectiveness of using deep neural complex-valued convolutional networks as receivers for spectrally efficient communication systems, as well as their advantage over classical ones, is shown.
Keywords – SEFDM; deep complex-valued convolutional neural network; turbocoding.
Full Text
Введение
Спектрально эффективные сигналы с частотным мультиплексированием (SEFDM) являются одной из технологий, которая предполагаются для использования в перспективных стандартах связи [1]. Данная технология частотного мультиплексирования отличается от используемой в настоящее время (OFDM) тем, что частотный разнос между поднесущими выбирается меньшим, чем требуется для выполнения условий их ортогональности. Недостатком данных сигналов является появление межсимвольной интерференции, что требует на приемной стороне более сложных алгоритмов обработки. Данная проблема еще более усугубляется при распространении SEFDM-сигналов в частотно селективных каналах.
В последнее время для решения различных задач физического уровня радиосвязи исследуется эффективность применения глубокого обучения [2; 3]. Глубокие нейронные сети применяются не только для расширения определенных функций и компонентов физического уровня, но и для разработки сквозной новой коммуникационной архитектуры, рассматриваемой как автоэнкодер [4]. Применение глубокого обучения дает следующие преимущества: достижение синергетического эффекта объединения каскадных модулей в цепочке обработки сигналов, уменьшение несоответствия между моделью и реальностью, создание решений низкой сложности путем использования нелинейности нейронной сети. Временные отсчеты радиосигнала представляют собой комплексные числа, поэтому, в отличие от текста или изображения, их необходимо описывать в комплексном поле. Большинство существующих исследований, в том числе и для SEFDM-сигналов [5; 6], рассматривают по отдельности действительную и мнимую части комплексного тензора в вещественных пространствах. Однако это не позволяет сети использовать связь между реальной и мнимой частями сигнала из-за отсутствия мультипликативных операций, что приводит к увеличению сложности, снижению производительности и ограничению интерпретируемости.
В данной работе предлагается и исследуется глубокая комплекснозначная сверточная нейронная сеть (ГКСНС) для восстановления битов из временного представления SEFDM-сигнала без использования дробного преобразования Фурье и обращения матрицы взаимной корреляции между поднесущими частотами. Использование нейросетевого подхода позволяет сочетать методы использования циклических префиксов, оценки канала и компенсации межсимвольных искажений. Результаты аналогичных работ, но по отношению к сигналам с ортогональным частотным мультиплексированием [7] показывают, что регулярная часть приемника OFDM, использующая операции быстрого преобразования Фурье (БПФ), может быть заменена аппаратным ускорителем искусственного интеллекта.
Целью работы является оценка возможности и эффективности применения глубоких нейронных комплекснозначных сверточных сетей для эквализации канала и детектирования сигнала в SEFDM-системах. На основе синтезированных архитектур разработать практически реализуемые алгоритмы, позволяющие использовать аппаратные ускорители искусственного интеллекта.
Спектрально эффективные сигналы с частотным мультиплексированием
Отличительной особенностью спектрально эффективных сигналов с частотным мультиплексированием от OFDM является то, что разнос между частотными поднесущими составляет лишь часть (коэффициент сжатия) от величины, обратной к периоду символа Т
где
Таким образом, требуемая полоса пропускания уменьшается в раз, что обеспечивает увеличение спектральной эффективности за счет потери ортогональности между поднесущими.
Передаваемый SEFDM-сигнал определяется выражением
где s(n) представляет n-й символ модуляции; – количество поднесущих. Матричное представление дискретного SEFDM-сигнала имеет вид:
где – вектор символов передачи, которые принимают значения в дискретном алфавите; – матрица модуляции размером каждый элемент которой определяется как Тогда матричный формат принятого SEFDM для канала с белым гауссовским шумом определяется как:
где – вектор отсчетов аддитивного белого гауссовского шума, размерностью N. В приемнике сигнал демодулируется путем умножения на матрицу дробного Фурье-преобразования
где – вектор наблюдаемой статистики; – корреляционная матрица, состоящая из элементов которые определяются корреляцией двух любых m и n поднесущих [8]:
Для детектирования SEFDM-сигнала на практике чаще всего применяются линейные детекторы, наиболее распространенным из которых является детектор приведения к нулю (ZF), оценка для которого определяется соотношением:
(1)
где для обращения корреляционной матрицы используется разложение по усеченному сингулярному значению [9].
При распространении SEFDM-сигнала в многолучевом канале на приемной стороне происходит процесс эквализации на основе оценки частотной характеристики канала и детектирование сигнала:
(2)
Здесь – частотная характеристика канала распространения; – частотная характеристика эквалайзера.
На рис. 1 представлена блок-схема классического приемника для спектрально эффективных сигналов с частотным мультиплексированием.
Рис. 1. Структурная схема классического приемника SEFDM системы
Fig. 1. Structural diagram of a classical SEFDM receiver
Структура SEFDM-приемника на базе нейросетевой архитектуры
Как видно из соотношений (1) и (2) классический приемник для SEFDM-системы требует проведения ресурсно-затратных вычислительно сложных преобразований: дробного Фурье-преобразования и обращения корреляционной матрицы. Поэтому был разработан приемник для спектрально-эффективных сигналов на основе нейросетевой архитектуры, представленный на рис. 2.
Приемник SEFDM на основе глубокой комплекснозначной сверточной нейронной сети обозначим функцией:
которая определяется на наборе параметров S конфигураций кадра SEFDM и блока ГКСНС, где – логарифмическая оценка вероятности переданных бит; – синхронизированные во временной области принятые символы SEFDM-слота, включающие в себя циклический префикс, и – набор обучаемых параметров ГКСНС.
Рис.2. Структурная схема ГКСНС приемника
Fig. 2. Structural diagram of a DCCN receiver
SEFDM-приемник на базе ГКСНС разделяется на эквалайзер и непосредственно детектор. Скрытые уровни ГКСНС на рис. 2 обозначаются в соответствии с модулями обработки сигналов в классическом приемнике, в то время как их функционал в корне отличается от классических блоков приема (соотношения (1) и (2)).
Для решения исследуемой задачи в нейронной сети использовался комплекснозначный нейрон, который в общем виде может быть выражен как:
где x, y – входной и выходной сигналы, а коэффициенты a и b являются действительной и мнимой частями комплексного веса соответственно [10].
ГКСНС детектор, структурная схема которого приведена на нижней половине рис. 2, представляет собой приемник SEFDM-сигналов без эквализации канала. Прямая сеть приемника начинается с удаления циклического префикса, за которым следует слой одномерной комплексной свертки размерности (или если циклический префикс отбрасывается), где – длина преобразования Фурье, – длина символа с учетом защитного интервала Данный слой заменяет быстрое дробное преобразование Фурье и предназначен для преобразования SEFDM-символов из временной области в частотную. Следующий слой выполняет роль умножения на матрицу, обратную к корреляционной. Далее идет комплекснозначный слой размерностью предназначенный для извлечения всех данных из слота когерентности D, где – количество слотов в пакете входного сигнала. Остальная часть прямой сети представляет собой классификатор, который преобразует выборки отсчетов сигнала в мягкие оценки бит, где выборка обрабатывается как вектор двух действительных чисел. При этом извлеченный вектор символов и его нелинейная активация объединяются с тензором размерности и подаются на небольшую сеть без полносвязных слоев, за которой следует функция нелинейной активации. Тензор на выходе этой функции активируется функцией SoftMax для получения мягкого бита – вектора вероятности появления ±1. В общем случае после данной структуры присутствует канальный декодер. В случае отсутствия кодирования выходные биты получаются путем принятия жестких решений по мягким битам.
Если передача сигнала осуществляется в многолучевом канале, то перед детектором ставится блок эквализации (верхняя половина рис. 2). Прямая сеть ГКСНС эквалайзера содержит четыре подмодуля. Первый подмодуль состоит из двух одинаковых слоев размерностью и одномерной комплексной свертки размерности которые преобразуют отсчеты сигнала из временной области в частотную. Второй подмодуль оценивает частотную характеристику канала с помощью четырех слоев, за которыми следует двухмерный комплексный фильтр. Третий подмодуль выполняет частотную эквализацию с поэлементным комплексным делением. Наконец, четвертый подмодуль преобразует сигнал из частотной области во временную с помощью ОБПФ-подобного слоя размерностью В подмодуле оценки канала первый слой предназначен для определения местоположения пилотов и оценки коэффициентов канала для пилотов. Оценка частотной характеристики получается путем интерполяции на весь интервал когерентности и оценки канала в следующих трех слоях и двумерном фильтре.
Считая число SEFDM-символов на слот когерентности константой, асимптотическая вычислительная сложность ГКСНС приемника составляет O(N2) (или O(NS) при использовании циклического префикса), поскольку ГКСНС состоит только из каскадных уровней без каких-либо циклов.
Процесс обучения сети
Структурная схема, реализующая процесс обучения ГКСНС приемника, проиллюстрирована рис. 3.
Рис.3. Структурная схема процесса обучения ГКСНС приемника
Fig. 3. Structural diagram of the learning process of the DCCN receiver
Генератор случайных чисел создает случайный поток бит, который преобразуется SEFDM-передатчиком в отсчеты символов во временной области. Принятый сигнал создается с помощью модели канала, состоящей из непосредственно модели канала с замираниями и добавления аддитивного белого гауссовского шума. Выходными данными модели ГКСНС приемника, построенной средствами фреймворка Tensorflow, являются мягкие оценки бит и выходные биты, генерируемые жестким решением по мягким оценкам. Функция потерь представляет собой взвешенную сумму потерь на перекрестную энтропию и потери на регуляризацию:
где – небольшая постоянная. Потери на перекрестной энтропии представляют собой среднюю перекрестную энтропию обучающих меток и мягких бит Во время обучения, параметры ГКСНС приемника случайным образом инициализируются и обновляются оптимизатором ADAM, который запускает обратное распространение на основе функции потерь, описанной выше.
Неэффективно обучать весь ГКСНС приемник непосредственно в каналах с многолучевыми замираниями из-за сильных искажений. Поэтому была разработана двухэтапная схема обучения. На первом этапе ГКСНС детектор обучается только в канале с белым гауссовским шумом. На втором этапе в схему обучения добавляется ГКСНС эквалайзер, а параметры детектора фиксируются. При этом для генерации обучающих данных включается частотно-селективное затухание канала. Функция потерь одинакова для обоих этапов. Техника редактирования графа обеспечивает обратное распространение, когда вторая половина прямой сети заморожена. Двухэтапный подход к обучению может повысить эффективность данных за счет повторного использования одного и того же предварительно обученного детектора на втором этапе для различных настроек замираний. Точно так же обученную на втором этапе модель можно корректно подстроить под различные реалистичные каналы.
Для повышения эффективности обучения используется несколько подходов. Во-первых, обучающие данные подаются в модель небольшими пакетами, что обеспечивает высокую пропускную способность параллельной обработки в графических процессорах и минимизирует задержку при копировании в память. Во-вторых, при программировании SEFDM-передатчиков и модулей с замираниями на основе библиотеки NumPy обработка данных векторизуется и избегается использование больших циклов. В-третьих, используется механизм ранней остановки в дополнение к максимальному количеству итераций обучения, чтобы завершить обучение, если ключевой показатель производительности (например, вероятность битовой ошибки) не улучшился после фиксированного количества итераций.
Результаты моделирования
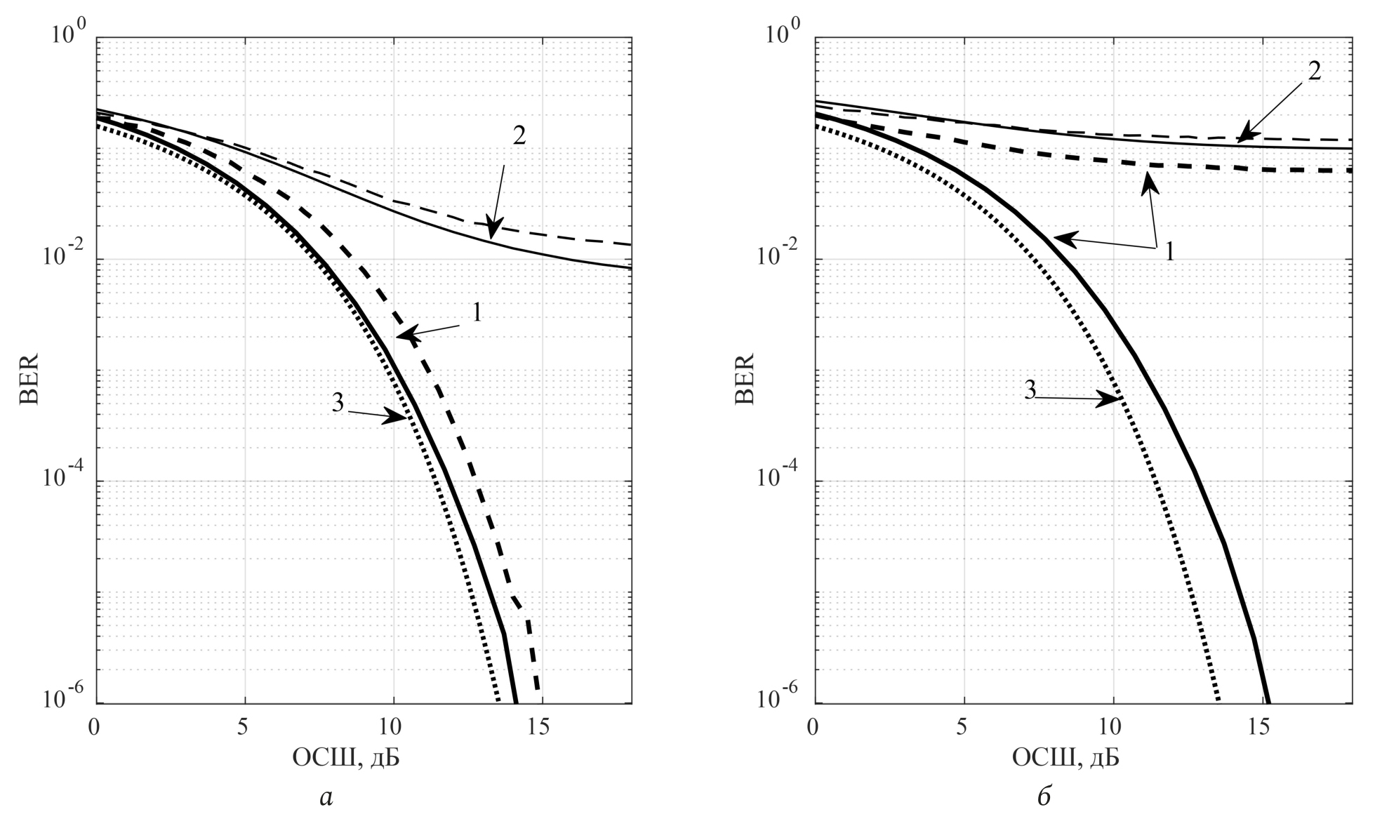
Сначала анализировалась эффективность работы ГКСНС детектора в канале с аддитивным белым гауссовским шумом при различных значениях отношения сигнал/шум. Кривые помехоустойчивости системы, рассчитанные без применения канального кодирования представлены на рис. 4. Здесь сплошные кривые соответствуют ГКСНС детектору, а пунктирные – классическому линейному (соотношение (1)). Исследовались сигналы с QPSK модуляцией и коэффициентами сжатия (рис. 4, а) и (рис. 4, б). Кривые 1 соответствуют количеству поднесущих N = 16, а кривые 2 – N = 32. Кривая 3 соответствует модуляции QPSK. Полученные зависимости демонстрируют бОльшую эффективность нейросетевого детектора относительно линейного. Также видно, что при количестве частотных поднесущих равном 32 оба детектора не справляются с компенсацией межсимвольных искажений.
Рис. 4. Кривые помехоустойчивости SEFDM-сигнала без кодирования с различными детекторами в канале с аддитивным белым гауссовским шумом для различных коэффициентов сужения спектра: a – б –
Fig. 4. Noise immunity curves of an unencoded SEFDM signal with various detectors in a channel with additive white Gaussian noise for various despreading factors: a – b –
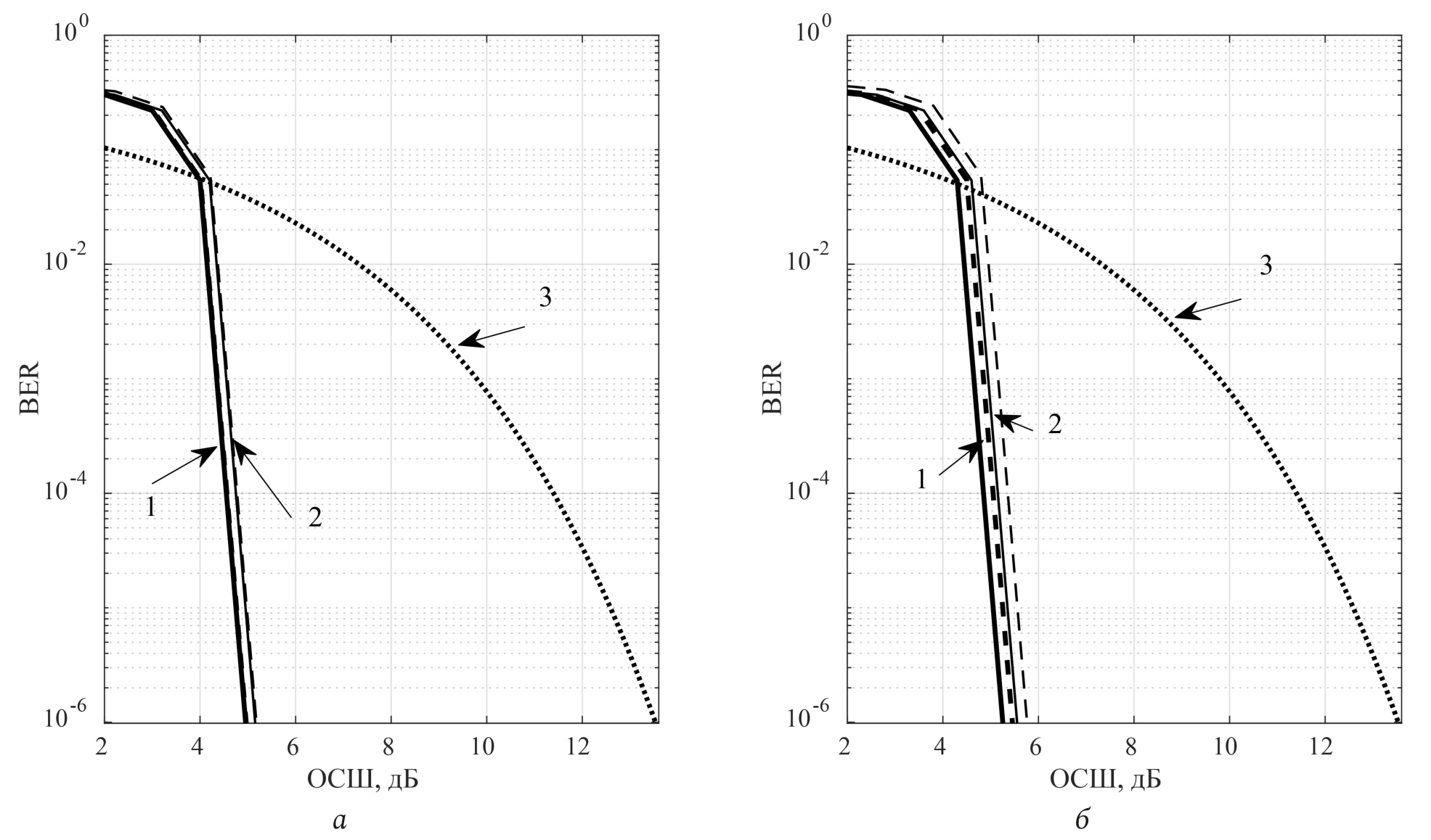
Для уменьшения влияния межсимвольной интерференции обычно применяется канальное кодирование. Для SEFDM-сигналов, как показано в [9], эффективным оказался подход, заключающийся в применении турбокодера со сверточным кодированием. При этом осуществляется итеративная обработка, включающая декодирование сверточного кода с мягкими решениями на входе и выходе. Кривые помехоустойчивости системы, рассчитанные с применением данного кодирования с кодовой скоростью 1/3, представлены на рис. 5. Здесь параметры системы и обозначения такие же, как и для случая без кодирования.
Рис. 5. Кривые помехоустойчивости SEFDM-сигнала с кодированием и различными детекторами в канале с аддитивным белым гауссовским шумом для различных коэффициентов сужения спектра: a – б –
Fig. 5. Noise immunity curves of an encoded SEFDM signal with various detectors in a channel with additive white Gaussian noise for various despreading ratios: a – b –
Полученные результаты показывают, что применение канального кодирования позволяет улучшить характеристику помехоустойчивости более, чем на 9 дБ по уровню вероятности битовой ошибки для различных коэффициентов сужения. Также виден незначительный выигрыш нейросетевого приемника над классическим.
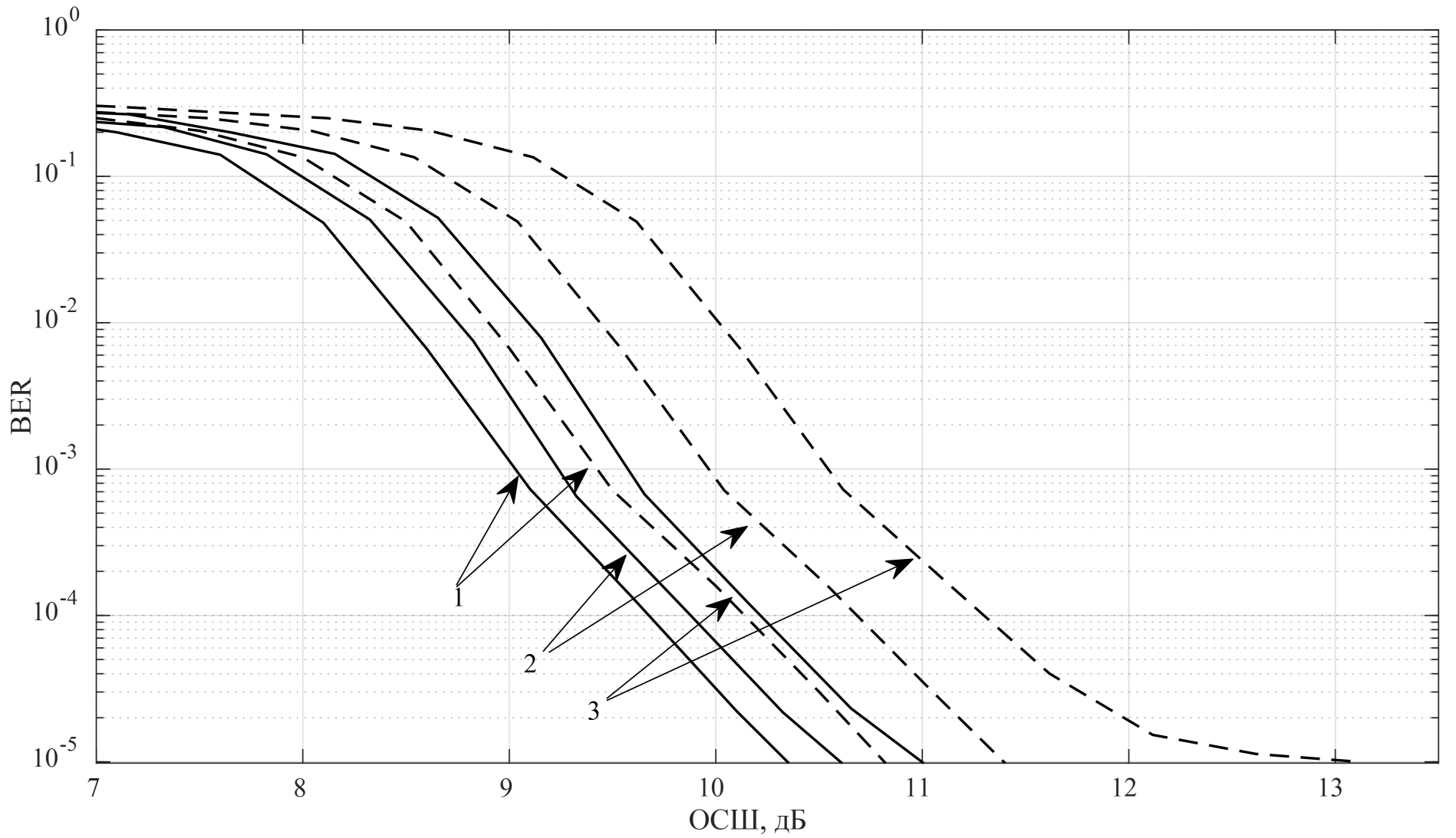
Релеевские замирания, обусловленные интерференцией достаточно большого числа рассеянных сигналов и сильным ослаблением прямого сигнала, являются наиболее глубокими и приводят к значительным ошибкам при передаче информации. Поэтому далее в работе анализировались характеристики помехоустойчивости разработанных SEFDM-систем в релеевском канале. При моделировании использовался канал связи, заданный расширенной автомобильной моделью (EVA). В качестве приемников использовались ГКСНС приемник, изображенный на рис. 2, и классический приемник с ZF-эквалайзером и линейным детектором. Полученные характеристики помехоустойчивости с применением канального кодирования представлены на рис. 6. Здесь сплошные кривые соответствуют ГКСНС детектору, а пунктирные – классическому линейному. Кривые 1 соответствуют кривые 2 – кривые 3 –
Рис. 6. Кривые помехоустойчивости SEFDM-сигнала с кодированием и различными детекторами в релеевском канале для различных коэффициентов сужения спектра
Fig. 6. BER curves of SEFDM signal without coding with various detectors in a reyleigh channel with for various despreading factors
Полученные зависимости демонстрируют высокую эффективность применения разработанного ГКСНС приемника для спектрально эффективных сигналов в частотно-селективных каналах с замираниями. При этом помехоустойчивость системы на основе нейросетевого приемника ухудшается всего на 0,6 дБ при сужении спектра сигнала в два раза, а для классического приемника – на 2,5 дБ.
Заключение
Предложенный приемник спектрально эффективных сигналов на основе глубокой комплекснозначной сверточной нейронной сети позволяет без использования преобразования Фурье и обращения матрицы взаимной корреляции между поднесущими частотами проводить эффективную эквализацию канала и детектирование сигнала. При этом разработанная структура позволяет сочетать методы использования циклических префиксов, оценки канала и компенсации межсимвольных искажений, а регулярная часть классического приемника, использующая операции БПФ, может быть заменена аппаратным ускорителем искусственного интеллекта.
Проведенный сравнительный анализ на основе имитационного моделирования показал возможность и эффективность преобразования текущей архитектуры приемного устройства SEFDM-системы в абсолютно новую, приводящую к синергетическому эффекту от объединения каскадных модулей в цепочке обработки сигналов с частотным мультиплексированием. Полученные результаты позволяют сделать вывод о возможности широкого практического применения приемников на основе глубоких комплекснозначных сверточных нейронных сетей для спектрально-эффективных сигналов с частотным мультиплексированием как для разработки новых систем, так и для модернизации текущих, использующих сигналы с ортогональным частотным мультиплексированием.
About the authors
Larisa I. Averina
Voronezh State University
Author for correspondence.
Email: averina@phys.vsu.ru
ORCID iD: 0000-0002-5908-5032
Doctor of Physical and Mathematical Sciences, professor of the Department of Electronics
Russian Federation, Voronezh, Universitetskaya Square 1, 394018Oleg K. Kamentsev
JSC «Concern “Sozvezdie”»
Email: kamentsevok@gmail.com
ORCID iD: 0000-0003-4475-1757
leading designer of JSC «Concern “Sozvezdie”»
Russian Federation, Voronezh, Plekhanovskaya Street 14, 394018References
- X. Liu et al., “Spectrally efficient FDM system with probabilistic shaping,” 2021 IEEE 94th Vehicular Technology Conference (VTC2021-Fall), pp. 1–6, 2021, doi: https://doi.org/10.1109/VTC2021-Fall52928.2021.9625460.
- T. Wang et al., “Deep learning for wireless physical layer: Opportunities and challenges,” China Communication, vol. 14, no. 11, pp. 92–111, 2017, url: http://www.cic-chinacommunications.cn/EN/Y2017/V14/I11/92.
- Q. Mao, F. Hu, and Q. Hao, “Deep learning for intelligent wireless networks: A comprehensive survey,” IEEE Communication Surveys & Tutorials, vol. 20, no. 4, pp. 2595–2621, 2018, doi: https://doi.org/10.1109/COMST.2018.2846401.
- B. Lin et al., “A novel OFDM autoencoder featuring CNN-based channel estimation for Internet of vessels,” IEEE Internet of Things Journal, vol. 7, no. 8, pp. 7601–7611, 2020, doi: https://doi.org/10.1109/JIOT.2020.2986442.
- Chorti and D. Picard, “Rate analysis and deep neural network detectors for SEFDM FTN systems,” arXiv, 2021, doi: https://doi.org/10.48550/arXiv.2103.02306.
- Chorti and D. Picard, “Deep learning based detection for spectrally efficient FDM systems,” arXiv, 2021, doi: https://doi.org/10.48550/arXiv.2103.11409.
- Z. Zhao et al., “Deep-waveform: A learned OFDM receiver based on deep complex-valued convolutional networks,” IEEE Journal on Selected Areas in Communications, vol. 39, no. 8, pp. 2407–2420, 2021, doi: https://doi.org/10.1109/JSAC.2021.3087241.
- L. I. Averina and O. K. Kamentsev, “Comparative analysis of spectrally efficient signals with frequency multiplexing,” Teoriya i tekhnika radiosvyazi, no. 4, pp. 36–42, 2018. (In Russ.)
- L. I. Averina and O. K. Kamentsev, “Increasing the spectral efficiency of frequency multiplexing signals in high-speed communication systems,” Radiotekhnika, vol. 86, no. 4, pp. 93−99, 2023. (In Russ.)
- Z. Zhao et al., “Distributed scheduling using graph neural networks,” 2021 IEEE International Conference on Acoustics, Speech and Signal Processing (ICASSP), pp. 4720–4724, 2021, doi: https://doi.org/10.1109/ICASSP39728.2021.9414098.
Supplementary files







