Влияние экстракта Orostachys spinosa на поведение белых крыс в тестах с положительным подкреплением
- Авторы: Разуваева Я.Г.1, Баяндуева Е.А.1, Торопова А.А.1, Николаева И.Г.1
-
Учреждения:
- Институт общей и экспериментальной биологии Сибирского отделения Российской академии наук
- Выпуск: Том 14, № 2 (2023)
- Страницы: 149-155
- Раздел: Фитофармакология
- URL: https://ogarev-online.ru/1606-8181/article/view/258422
- DOI: https://doi.org/10.17816/phbn501755
- ID: 258422
Цитировать
Полный текст
Аннотация
Актуальность. Горноколосник колючий (Orostachys spinosa (L.) Sweet) — многолетнее травянистое растение семейства Crassulaceae, широко используемое в народной медицине в свежем виде, а также в форме отвара при эпилепсии и как успокаивающее средство при нервных расстройствах.
Цель работы — определение влияния экстракта сухого Orostachys spinosa на поведение белых крыс в тестах с положительным подкреплением.
Материалы и методы. Эксперименты проведены на 82 крысах линии Вистар. Влияние экстракта сухого O. spinosa в дозах 50, 100 и 200 мг/кг на поведение животных оценивали в тестах «гипофагия» и Т-образный лабиринт.
Результаты. На фоне введения экстракта O. spinosa в дозах 100 и 200 мг/кг количество животных, принимавших корм в тесте «гипофагия», было в 1,6 и 1,8 раза больше, чем в контрольной группе; объем корма превышал на 94 и 78 % соответственно показатель у животных контрольной группы. Условный рефлекс сформировался у 100 % животных, получавших экстракт O. spinosa в дозе 200 мг/кг. На фоне введения экстракта O. spinosa в дозе 100 мг/кг и препарата сравнения условный рефлекс сформировался у 63 и 71 % животных соответственно, что в 2 раза выше, чем в контрольной группе.
Заключение. Экстракт сухой O. spinosa в дозах 100 и 200 мг/кг положительно влияет на снижение уровня тревожности, способствует повышению ориентировочно-исследовательской активности и тем самым ускоряет выработку условного рефлекса у крыс.
Полный текст
АКТУАЛЬНОСТЬ
Горноколосник колючий (Orostachys spinosa (L.) Sweet) — многолетнее травянистое растение семейства Crassulaceae, широко используемый в народной медицине в свежем виде, а также в форме отвара при эпилепсии и как успокаивающее средство при нервных расстройствах [1, 2]. В надземной части растения с помощью качественных реакций определены аминокислоты, флавоноиды, дубильные вещества, кумарины, полисахариды [3], идентифицированы жирные кислоты, фитостерины и алканы [4]. По данным ранее проведенных исследований, экстракт жидкий, полученный из надземной части O. spinosa, снижает у животных уровень тревожности, повышает исследовательскую активность, улучшает выработку и сохранность условной реакции с отрицательным подкреплением [5, 6], а также проявляет антигипоксическое и стресс-протективное действия [7, 8].
На основании вышеприведенных данных из надземной части O. spinosa было разработано новое средство в виде экстракта сухого, отличающееся постоянством состава, способ получения которого закреплен патентом РФ [9].
Цель работы — определение влияния экстракта сухого Orostachys spinosa на поведение белых крыс в тестах с положительным подкреплением.
МАТЕРИАЛЫ И МЕТОДЫ
Исследования проведены на 82 крысах линии Вистар обоего пола массой 200–240 г. Содержание животных и проведение экспериментов соответствовало «Правилам лабораторной практики» и Приказу Минздрава России от 01.04.2016 № 199Н «Об утверждении правил надлежащей лабораторной практики. Животные были распределены по группам рандомно. Эксперименты проведены в соответствии с действующими требованиями, изложенными в Руководстве по проведению доклинических исследований лекарственных средств [10].
Экстракт сухой из надземной части O. spinosa получен путем последовательной 3-кратной экстракции измельченного сырья 10 % этиловым спиртом при температуре 60 °C при соотношении растительного материала и экстрагента 1: 12, с последующей фильтрацией, упариванием и вакуумной сушкой. Стандартизация экстракта осуществляется по содержанию суммы свободных аминокислот в пересчете на глутаминовую кислоту, которых должно быть не менее 3 %. Экстракт сухой в дозах 50, 100 и 200 мг/кг в форме водного раствора вводили внутрижелудочно животным опытных групп в течение 14 дней до начала экспериментов. В качестве препарата сравнения использовали экстракт Ginkgo biloba в дозе 100 мг/кг, который вводили по аналогичной схеме с исследуемым экстрактом.
В первой серии экспериментов исследовали влияние экстракта сухого O. spinosa на поведение животных в тесте «гипофагия». Данный метод базируется на сниженном потреблении пищи животными в ответ на помещение их в незнакомые условия. На фоне 48-часовой пищевой депривации животных помещали в установку площадью 50 × 50 см, в центре которой находился корм [11]. В течение 5 мин фиксировали следующие показатели: количество в группе животных, принимавших корм; латентный период движения в установке; продолжительность приема и объем съеденного корма.
Во второй серии экспериментов исследовали влияние экстракта O. spinosa на выработку условного рефлекса с положительным подкреплением в Т-образном лабиринте. Положительным подкреплением служил корм животных, в связи с этим перед экспериментом животные также подвергались 48-часовой пищевой депривации. В течение 4 дней животных помещали в Т-образный лабиринт и ежедневно регистрировали следующие параметры: латентный период (время от момента посадки в стартовый рукав до выхода из него); время реакции (время между выходом из стартового рукава и взятием пищи); число выполненных реакций (число случаев, когда животное находило подкрепление в течение 180 с тестирования); число ошибок (число заходов в противоположный «подкрепляемому» отсек); число животных с выработанным рефлексом (критерием выработки рефлекса служили 5 безошибочных пробежек подряд).
Статистическая обработка полученных результатов проводилась с помощью пакета программ Statistica for Windows 6.0. Для анализируемых признаков предварительно оценивали соответствие закону нормального распределения по критерию Шапиро – Уилка. Достоверность различий между контрольной и опытными группами оценивали с помощью непараметрического критерия Манна – Уитни. Для сравнения количества животных, принимавших корм и с выработанным условным рефлексом, в контрольной и опытных группах применяли критерий Фишера. Различия считали достоверными при p ≤ 0,05.
РЕЗУЛЬТАТЫ
Из полученных данных видно, что животные, получавшие экстракт в дозах 100 и 200 мг/кг, быстрее адаптируются в незнакомой среде, о чем свидетельствует укорочение латентного периода в тесте «гипофагия» в сравнении с контрольной группой (КГ) (табл. 1). На фоне введения экстракта O. spinosa в указанных дозах количество животных, принимавших корм, было соответственно больше в 1,6 и 1,8 раза, чем в КГ. Продолжительность приема пищи у животных опытных групп была соответственно больше на 20 и 25 %, чем в КГ; объем принятой пищи соответственно превышал на 94 и 78 % данный показатель у животных КГ.
Таблица 1. Влияние экстракта O. spinosa на поведение крыс линии Вистар в тесте «гипофагия» Table 1. Effects of O. spinosa extract on the behavior of Wistar rats in the hypophagia test | ||||
Показатели | Контроль | Экстракт сухой O. spinosa | ||
50 мг/кг | 100 мг/кг | 200 мг/кг | ||
Количество животных, принимавших корм / в группе | 5/10 | 6/10 | 9/10* | 8/10 |
Латентный период, с | 49,0 ± 3,50 | 46,5 ± 9,50 | 45,4 ± 11,93 | 44,6 ± 5,79 |
Продолжительность приема кормв, с | 182,9 ± 20,30 | 204,9 ± 12,46 | 220,2 ± 18,03 | 227,9 ± 8,82* |
Объем принятого корма, г/100 г массы животного | 0,50 ± 0,11 | 0,69 ± 0,07 | 0,97 ± 0,08* | 0,89 ± 0,08* |
Примечание: * — различия статистически значимы между контрольной и опытной группами при р ≤ 0,05. | ||||
Таблица 2. Влияние экстракта O. spinosa на количество животных с выработанным рефлексом в Т-образном лабиринте Table 2. Effects of O. spinosa extract on the number of animals with a trained reflex in the T-maze | ||||
Группы животных | Количество животных с выработанным рефлексом / количество животных в группе | |||
Контрольная (Н2О) | 0/14 | 0/14 | 0/14 | 4/14 |
Экстракт сухой O. spinosa, 50 мг/кг | 0/14 | 0/14 | 0/14 | 4/14 |
Экстракт сухой O. spinosa, 100 мг/кг | 0/16 | 2/16 | 3/16 | 10/16* |
Экстракт сухой O. spinosa, 200 мг/кг | 0/14 | 1/14 | 6/14* | 14/14* |
Экстракт сухой G. biloba, 100 мг/кг | 0/14 | 1/14 | 5/14* | 10/14* |
Примечание: * — различия статистически значимы между контрольной и опытной группами при р ≤ 0,05. | ||||
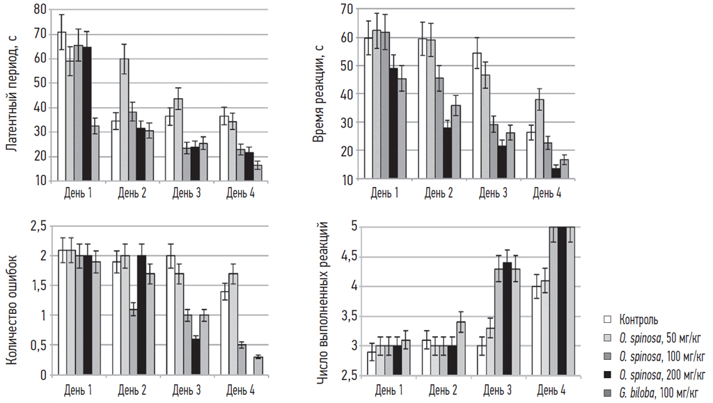
Результаты тестирования животных в Т-образном лабиринте показали (рис. 1), что у животных, получавших экстракт O. spinosa в дозах 100 и 200 мг/кг и препарат сравнения, латентный период, начиная с 3-х суток исследования, был ниже, чем в КГ. Наиболее значимое снижение времени реакции (на 49 %) по сравнению с КГ на 4-е сутки отмечалось у животных, получавших исследуемый экстракт в дозе 200 мг/кг.
Рис. 1. Влияние экстракта O. spinosa на выработку условного рефлекса с положительным подкреплением в Т-образном лабиринте у белых крыс
Fig. 1. Effects of O. spinosa extract on the initiation of a positively reinforced conditioned reflex in the T-maze in Wistar rats
На 4-й день обучения все животные, получавшие экстракт O. spinosa в дозах 100 и 200 мг/кг и препарат сравнения, нашли в течение 180 с «подкрепление» (кормушку), число выполненных реакций у них составило 5. При этом только на фоне введения экстракта O. spinosa в дозе 200 мг/кг ни одно животное не допустило ошибок, что свидетельствует о том, что в данной группе условный рефлекс сформировался у 100 % животных (табл. 2). На фоне введения экстракта O. spinosa в дозе 100 мг/кг и препарата сравнения условный рефлекс сформировался у 63 и 71 % животных соответственно, что в 2 раза выше, чем в КГ. Экстракт O. spinosa в дозе 50 мг/кг не оказывал влияния на выработку условного рефлекса с положительным подкреплением.
ОБСУЖДЕНИЕ
Таким образом, экстракт сухой O. spinosa в дозах 100 и 200 мг/кг положительно влияет на снятие явлений тревожности, способствует повышению ориентировочно-исследовательской активности у животных в тестах с положительным подкреплением и тем самым ускоряет выработку условного рефлекса. Выявленный фармакологический эффект обусловлен комплексом биологически активных веществ, входящих в состав O. spinosa. Так, флавоноид мирицетин, идентифицированный в надземной части O. spinosa [3], в условиях хронического стресса снижает уровень тревоги и депрессии, за счет понижения уровня кортикостерона в плазме крови и увеличения активности GSP-Px и экспрессии BDNF в гиппокампе [12]. Аналогичное действие на нервную систему проявляет идентифицированный в O. spinosa флавоноид лютеолин-7-глюкозид [13–15]. Значимое влияние на снижение уровня тревоги и формирование условных рефлексов при различных патологических состояниях оказывают аминокислоты [16–18], содержащиеся в значительном количестве в O. spinosa [3].
ВЫВОДЫ
- Экстракт сухой O. spinosa в дозах 100 и 200 мг/кг положительно влияет на снижение уровня тревожности в тесте «гипофагия».
- Экстракт сухой O. spinosa в дозах 100 и 200 мг/кг вызывает усиление ориентировочно-исследовательской активности, снижение оборонительной реакции и тем самым способствует выработке условного рефлекса с положительным подкреплением; более выраженное влияние на формирование условного рефлекса исследуемый экстракт оказывает в дозе 200 мг/кг.
ДОПОЛНИТЕЛЬНАЯ ИНФОРМАЦИЯ
Вклад авторов. Все авторы внесли существенный вклад в разработку концепции, проведение исследования и подготовку статьи, прочли и одобрили финальную версию перед публикацией. Вклад каждого автора: Е.А. Баяндуева, А.А. Торопова, И.Г. Николаева — написание статьи, анализ данных; Я.Г. Разуваева — разработка общей концепции.
Конфликт интересов. Авторы декларируют отсутствие явных и потенциальных конфликтов интересов, связанных с публикацией настоящей статьи.
Источник финансирования. Работа выполнена в рамках государственного задания FWSM-2021-0005 (№ госрегистрации 121030100227-7).
ADDITIONAL INFORMATION
Authors contribution. Thereby, all authors made a substantial contribution to the conception of the study, acquisition, analysis, interpretation of data for the work, drafting and revising the article, final approval of the version to be published and agree to be accountable for all aspects of the study. The contribution of each author: E.A. Bayandueva, A.A. Toropova, I.G. Nikolaeva — manuscript drafting, writing and pilot data analyses; Ya.G. Razuvaeva — general concept discussion.
Competing interests. The authors declare that they have no competing interests.
Funding source. The work was carried out within the framework of the state task FWSM-2021-0005 (Number of state registration 121030100227-7).
Об авторах
Янина Геннадьевна Разуваева
Институт общей и экспериментальной биологии Сибирского отделения Российской академии наук
Автор, ответственный за переписку.
Email: tatur75@mail.ru
ORCID iD: 0000-0001-7829-1424
SPIN-код: 8338-9336
доктор биологических наук, ведущий научный сотрудник лаборатории безопасности биологически активных веществ
Россия, 670047 г. Улан-Удэ ул. Сахьяновой, 6Елена Александровна Баяндуева
Институт общей и экспериментальной биологии Сибирского отделения Российской академии наук
Email: baynduev@mail.ru
ORCID iD: 0009-0009-4748-0068
Аспирант
Россия, 670047 г. Улан-Удэ ул. Сахьяновой, 6Анюта Алексеевна Торопова
Институт общей и экспериментальной биологии Сибирского отделения Российской академии наук
Email: anyuta-tor@mail.ru
ORCID iD: 0000-0003-2618-7777
SPIN-код: 4457-1872
кандидат биологических наук, старший научный сотрудник
Россия, 670047 г. Улан-Удэ ул. Сахьяновой, 6Ирина Геннадьевна Николаева
Институт общей и экспериментальной биологии Сибирского отделения Российской академии наук
Email: i-nik@mail.ru
ORCID iD: 0000-0002-3476-1014
SPIN-код: 8001-5544
доктор фарм. наук, доцент, старший научный сотрудник
Россия, 670047 г. Улан-Удэ ул. Сахьяновой, 6Список литературы
- Буданцев А.Л., Лесиовская Е.Е. Дикорастущие полезные растения России. Санкт-Петербург: СПФХА, 2001. 663 с.
- Телятьев В.В. Полезные растения Центральной Сибири. Иркутск: Восточно-Сибирское книжное издательство, 1985. 384 с.
- Николаева И.Г., Цыбиктарова Л.П., Николаева Г.Г., Манжигеев П.Г. Фитохимическое исследование надземной части горноколосника колючего // Вопросы обеспечения качества лекарственных средств. 2018. Т. 22, № 4. С. 52–56.
- Nikolaeva I.G., Tsybiktarova L.P., Taraskin V.V., et al. Lipids from Orostachys spinosa // Chem Nat Compd. 2018. Vol. 54, No. 5. P. 961–963. doi: 10.1007/s10600-018-2522-9
- Левента А.И., Одинец А.Д., Охремчук Л.В., Усов Л.А. Влияние извлечений из горноколосника и рододендрона Адамса на поведенческие реакции лабораторных животных // Сибирский медицинский журнал (Иркутск). 2010. Т. 95, № 4. С. 103–105.
- Усов Л.А., Левента А.И., Одинец А.Д. Анксиолитические и мнемотропные эффекты извлечений из горноколосника и рододендрона Адамса в эксперименте на лабораторных животных // Сибирский медицинский журнал (Иркутск). 2010. Т. 96, № 5. С. 125–128.
- Одинец А.Д., Левента А.И., Щукин Д.А., Шабатурова О.В. К антигипоксичекому действию препаратов из растительного сырья Байкальской Сибири // Сибирский медицинский журнал (Иркутск). 2011. Т. 104, № 5. С. 112–115.
- Одинец А.Д., Усов Л.А., Изатулин А.В., и др. Влияние препаратов из горноколосника колючего и рододендрона Адамса на течение стресс-реакции экспериментальных животных // Бюллетень ВСНЦ СО РАМН. 2010. № 6–1. С. 175–181.
- Патент РФ на изобретение № 2784435 / 25.11.2022. Бюл. № 33. Николаева И.Г., Хобракова В.Б., Разуваева Я.Г., и др. Способ получения средства, обладающего нейропротективной, иммуномодулирующей активностью.
- Руководство по проведению доклинических исследований лекарственных средств. Часть первая / под ред. А.Н. Миронова. Москва: Гриф и К, 2012. 944 с.
- Воронина Т.А., Гарибова Т.Л., Крайнева В.А. Поведенческие экспериментальные модели депрессии // Фармакокинетика и фармакодинамика. 2017. № 3. С. 14–19.
- Jie L., Haitao X., Chao H., Jiashu L. Pharmacological actions of myricetin in the nervous system: a comprehensive review of preclinical studies in animals and cell models // Front Pharmacol. 2021. Vol. 12. ID 797298. doi: 10.3389/fphar.2021.797298
- Nabavi S.F., Braidy N., Gortzi O., et al. Luteolin as an anti-inflammatory and neuroprotective agent: a brief review // Brain Res Bull. 2015. Vol. 119, No. A. P. 1–11. doi: 10.1016/j.brainresbull.2015.09.002
- Qiao H., Zhang X., Zhu C., et al. Luteolin downregulates TLR4, TLR5, NF-κB and p-p38MAPK expression, upregulates the p-ERK expression, and protects rat brains against focal ischemia // Brain Res. 2012. Vol. 1448. P. 71–81. doi: 10.1016/j.brainres.2012.02.003
- Qin L., Chen Z., Yang L., et al. Luteolin-7-O-glucoside protects dopaminergic neurons by activating estrogen-receptor-mediated signaling pathway in MPTP-induced mice // Toxicology. 2019. Vol. 426. ID 152256. doi: 10.1016/j.tox.2019.152256
- Glenn J.M., Madero E.N., Bott N.T. Dietary protein and amino acid intake: links to the maintenance of cognitive health // Nutrients. 2019. Vol. 11. ID 1315. doi: 10.3390/nu11061315
- Tran P.V., Nguyen L.T.N., Yang H., et al. Intracerebroventricular injection of L-arginine and D-arginine induces different effects under an acute stressful condition // Biochem Biophys Res Commun. 2020. Vol. 533, No. 4. P. 965–970. doi: 10.1016/j.bbrc.2020.09.111
- Zhu Y., Wang R., Fan Z., et al. Taurine alleviates chronic social defeat stress-induced depression by protecting cortical neurons from dendritic spine loss // Cell Mol Neurobiol. 2023. Vol. 43, No. 2. P. 827–840. doi: 10.1007/s10571-022-01218-3
Дополнительные файлы


