Dependence of the silicon carbide radiation resistance on the irradiation temperature
- Authors: Lebedev A.A.1, Kozlovski V.V.2, Levinshtein M.E.1, Davydovskaya K.S.1, Kuzmin R.A.1
-
Affiliations:
- Ioffe Institute RAS
- Peter the Great St. Petersburg Polytechnic University
- Issue: No 9 (2024)
- Pages: 58-63
- Section: Articles
- URL: https://ogarev-online.ru/1028-0960/article/view/276025
- DOI: https://doi.org/10.31857/S1028096024090072
- EDN: https://elibrary.ru/EHUGXL
- ID: 276025
Cite item
Full Text
Abstract
The effect of high-temperature electron and proton irradiation on the characteristics of devices based on SiC has been studied. For the study, industrial 4H-SiC integrated Schottky diodes with an n-type base with a blocking voltage of 600, 1200 and 1700 V manufactured by CREE were used. Irradiation was carried out by electrons with an energy of 0.9 MeV and protons with an energy of 15 MeV. It was found that the radiation resistance of SiC Schottky diodes under high-temperature irradiation significantly exceeds the resistance of diodes under irradiation at room temperature. It is shown that this effect arises due to the annealing of compensating radiation defects under high-temperature irradiation. It is shown that this effect arises due to the annealing of compensating radiation defects under high-temperature irradiation. The parameters of radiation defects were determined by the method of non-stationary capacitance spectroscopy. Under high-temperature (“hot”) irradiation, the spectrum of radiation-induced defects introduced into SiC differed significantly from the spectrum of defects introduced at room temperature. The radiation resistance of silicon and silicon carbide is compared. The relatively small difference in the rate of removal of carriers in SiC and Si upon irradiation at room temperature is due to the fact that in SiC, in contrast to Si, there is practically no annealing of primary radiation defects during irradiation.
Full Text
ВВЕДЕНИЕ
Первые исследования радиационных дефектов (РД) в карбиде кремния, проведенные в 1950–1960-х годах, подтвердили высокую радиационную стойкость этого материала [1]. Следует отметить, что исследуемые в те годы кристаллы были сильно легированы и имели высокую плотность структурных дефектов [1]. Однако по мере получения все более совершенных и чистых образцов SiC их измеренная радиационная стойкость постепенно снижалась. Появились исследования, в которых было указано, что SiC не только не превосходит кремний по радиационной стойкости, но даже уступает ему по ряду параметров [2–5]. Хорошо известно, что уменьшение радиационной стойкости с улучшением качества материала характерно практически для всех полупроводниковых материалов, поскольку различные структурные дефекты и неконтролируемые примеси служат стоками для радиационных дефектов, и таким образом снижают скорость деградации параметров материала.
Тем не менее сопоставимость скоростей удаления носителей в Si и карбиде кремния под влиянием облучения выглядит удивительной, так ширина запрещенной зоны 4H-SiC (3.2 эВ) почти в три раза больше запрещенной зоны кремния. В работе [6] нами было высказано предположение, что это может быть связано с различными температурами отжига первичных радиационных дефектов в Si и SiC. При 300 К в кремнии происходит заметный отжиг первичных радиационных дефектов, а в карбиде кремния при этой температуре процесс отжига практически отсутствует. Для проверки этого предположения необходимо исследовать зависимость радиационной стойкости SiC от температуры облучения. Проведение такого исследования и было целью настоящей работы.
ОБРАЗЦЫ И МЕТОДИКА ПРОВЕДЕНИЯ ЭКСПЕРИМЕНТОВ
Для исследования были использованы промышленные интегральные диоды Шоттки 4H-SiC (Junction Barrier Schottky, JBS) с базой n-типа проводимости с блокирующим напряжением 600, 1200 и 1700 В производства компании CREE. Концентрация некомпенсированной донорной примеси (Nd – Na) в исходных приборах до облучения составляла ~6.5 × 1015, ~4.5 × 1015 и ~3.5 × 1015 см–3 соответственно. Облучение проводили в диапазоне от комнатной температуры до 800 К электронами с энергией 0.9 МэВ и протонами с энергией 15 МэВ. Максимальные дозы облучения составляли 7 × 1016 см–2 для электронов и 1 × 1014 см–2 для протонов.
Облучение исследуемых образцов электронами с энергией 0.9 МэВ проводили на импульсном ускорителе электронов “РТЭ-1В”. Частота импульсов составляла 490 Гц, а длительность импульса — 330 мкс. Облучение проводили на охлаждаемой проточной водой мишени.
Пробег электронов с энергией 0.9 МэВ в карбиде кремния составляет ~1.0 мм. Средняя плотность тока пучка электронов составляла 12.5 мкА/см2. Поскольку длина пробега электронов значительно больше толщины облучаемых образцов, можно считать, что при таком облучении дефекты вводились равномерно по всему объему образцов.
Облучение полупроводниковых приборов протонами с энергией 15 МэВ проводили на циклотроне “МГЦ-20”. После каждой дозы облучения измеряли вольт-амперные (I–V) и вольт-фарадные характеристики (C–V) образцов. На основании этих измерений определяли значение концентрации нескомпенсированных доноров (Nd – Na).
Для определения параметров и концентраций образующихся радиационных дефектов использовался метод нестационарной емкостной спектроскопии глубоких уровней (НСГУ, deep level transient spectroscopy, DLTS) [7]. Данный метод состоит в измерении релаксации высокочастотной емкости, обусловленной зависящей от температуры эмиссией электронов с глубоких энергетических уровней ловушек, оказавшихся в области пространственного заряда, при приложении к образцу импульсов обратного напряжения. В результате возможно получить энергетический спектр ловушек в изучаемом образце, представляющий собой набор минимумов и максимумов. Высота пика пропорциональна концентрации ловушек, в то время как расположение пика на оси температур определяется термической эмиссией электронов. Также из НСГУ-спектра можно определить энергию активации ловушки и сечение захвата электрона или дырки.
РЕЗУЛЬТАТЫ И ОБСУЖДЕНИЕ
Для оценки радиационной стойкости исследованных образцов использовали параметр “скорость удаления носителей” η = (n0 – n)/D, где n0 и n — концентрация носителей в зоне проводимости до и после облучения; D — доза облучения.
В табл. 1 представлено сравнение с литературными данными [8–9] ранее полученной информации о скорости удаления носителей η из SiC в случае облучения при комнатной температуре [10]. Как видно из таблицы, действительно, скорость удаления носителей в карбиде кремния всего в 2 раза меньше, чем в кремнии. Для подтверждения высказанной в работе [6] гипотезы было проведено облучение образцов интегральных диодов Шоттки 4H-SiC электронами и протонами при температуре до 800 К. Было обнаружено значительное уменьшение скорости удаления носителей с увеличением температуры облучения (рис. 1).
Таблица 1. Скорость удаления носителей заряда η из приборов на основе SiC (интегральный диод Шоттки) и кремниевых диодов при комнатной температуре
Тип устройства | SiC | Si | |||
Блокирующее напряжение, В | |||||
600 | 1200 | 1700 | |||
Nd – Na в базе, × 1015 см–3 | 6.5 | 4.5 | 3.5 | ~1 | |
η, см–1 | При облучении электронами | 0.095 | 0.073 | 0.06 | 0.23 [8] |
При облучении протонами | 63 | 59 | 54 | 110 [9] | |
Рис. 1. Зависимости концентрации (Nd – Na) в интегральных диодах Шоттки с блокирующим напряжением 1700 В от дозы облучения электронами при температурах 300 (1); 500 (2); 600 (3) и 800 К (4). Скорости удаления носителей заряда h при этих условиях составляют, соответственно, 0.15, 0.02, 0.0133 и 0.01185 см–1.
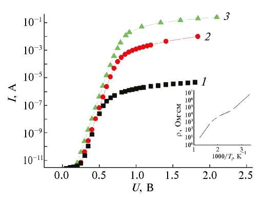
При исследовании вольт-амперных характеристик было обнаружено, что при повышении температуры облучения от 300 до 800 К сопротивление базы диода (при дозе облучения 1.3 × 1017 см–2) уменьшается на 6 порядков (рис. 2). Качественно аналогичные результаты были получены и при облучении протонами при 600, 700 и 800 К (рис. 3 и 4).
Рис. 2. Прямые вольт-амперные характеристики интегральных диодов Шоттки с напряжением пробоя 1700 В после облучения электронами дозой D = 6 × 1016 см–2 при температурах Ti 300 (1); 600 (2) и 800 К (3). На вставке дана зависимость удельного сопротивления базы ñ от обратной температуры 1/Ti после облучения дозой D = 1.3 × 1017 см–2.
Рис. 3. Зависимости концентрации нескомпенсированных носителей заряда в интегральных диодах Шоттки с блокирующим напряжением 1700 В от дозы облучения электронами при температурах 300 (1); 600 (2); 700 К (3). Скорости удаления носителей заряда η при этих условиях составляют, соответственно, 54, 13 и 9 см–1.
Рис. 4. Прямые вольтамперные характеристики интегральных диодов Шоттки с напряжением пробоя 1700 В после облучения протонами с энергией 15 МэВ дозой D = 1 × 1014 см–2 при температурах облучения Ti 300 (1); 600 (2) и 800 К (3).
Как видно из рисунков 1–4, поведение образцов, облученных протонами и электронами, отличается только количественно. Облучение протонами с энергией 15 МэВ примерно в 400–500 раз сильнее воздействует на приборы, чем облучение электронами с энергией 0.9 МэВ. Эта разница обусловлена двумя причинами. Во-первых, темпом генерации первичных дефектов. А во-вторых, долей диссоциировавших пар Френкеля (вакансия + межузельный атом), зависящей, в частности, от зарядового состояния реагирующих компонент. При облучении электронами концентрация образующихся электрон-дырочных пар примерно в 100 раз больше, чем при протонном облучении. Это может сказываться на зарядовом состоянии образующихся вакансий и междоузельных атомов.
С использованием метода НСГУ были проведены исследования параметров радиационных центров, образующихся после облучения SiC. Было обнаружено, что НСГУ-спектры образцов после “холодного” и “горячего” облучения заметно отличаются (рис. 5, принятые обозначения радиационных центров даны в [10–16]). Очевидно, что при повышенных температурах облучения происходит значительный отжиг компенсирующих дефектов, что соответствует полученным ранее вольт-амперным и вольт-фарадным характеристикам. Как видно из рис. 5, амплитуды сигнала от наиболее глубоких центров, перезаряжающихся при температурах >300 К, практически не изменились.
Рис. 5. НСГУ-спектры интегральных диодов Шоттки с блокирующим напряжением 1700 В до облучения (1) и после облучения электронами с энергией 0.9 МэВ при температурах 300 (1); 600 К (2) и дозах D = 1 и 6 × 1016 см–2 соответственно.
В карбиде кремния механизм наблюдаемой компенсации проводимости при облучении не до конца изучен. Наиболее популярной является гипотеза, что компенсирующими центрами являются собственные точечные дефекты в подсистеме атомов углерода. Прежде всего, речь идет о вакансии углерода (VC). Согласно имеющимся литературным данным, характерные и термостабильные дефекты в SiC являются комплексами, включающими углеродную вакансию (подробнее, например, в обзоре [10] и приведенным там литературным источникам).
Известно, что под действием ионизирующего облучения радиационные дефекты образуются в две стадии. На первой генерируются первичные радиационные дефекты. При получении от налетающей частицы достаточной энергии атом полупроводника смещается в междоузлие. Таким образом, возникают “первично выбитые атомы” (ПВА). Если у таких атомов достаточно энергии, то может возникнуть целый каскад смещений атомов полупроводника. Логично, что тяжелые частицы с большой энергией смогут повреждать полупроводник сложным каскадом соударений. В то же время легкие частицы с небольшими энергиями потеряют всю энергию всего за несколько столкновений.
Вторая стадия наступает при повышении температуры образца и является формированием вторичных радиационных дефектов. На этой стадии первичные дефекты взаимодействуют между собой, а также с дефектами и примесями полупроводника. В результате формируются стабильные для данных условий радиационные дефекты, которые можно использовать в технологии изготовления различных полупроводниковых приборов. Например, для контроля времени жизни носителей заряда или при создании локальных высокоомных областей материала.
Предыдущие эксперименты [17, 18] показали, что температуры отжига первичных дефектов, возникающих в 4H-SiC, находятся в диапазоне 500–1200 К, а вторичных дефектов — в диапазоне 1300–1500 К. В то же время в кремнии отжиг первичных дефектов происходит при температуре ~80 К, а вторичных — при температурах 450–650 К [19].
Такая ситуация характерна и для других полупроводниковых материалов [20, 21]. На первом этапе отжига большинство первичных радиационных дефектов рекомбинируют, а оставшиеся образуют значительно более температурно-стойкие комплексы, отжиг которых происходит уже при значительно больших температурах. Однако положение соответствующих температурных интервалов отжига первичных и вторичных дефектов зависит от свойств полупроводника, в том числе, и от величины его запрещенной зоны. Схематично стадии отжига для Si и SiC представлены на рис. 6. В табл. 2 представлены температуры отжига для Si и SiC.
Рис. 6. Схематическое изображение отжига радиационных дефектов в кремнии и карбиде кремния. Вертикальная линия показывает положение комнатной температуры на оси температур.
Таблица 2. Температуры отжига радиационных дефектов в Si и SiC
Условия | Si | 4H-SiC |
Температура отжига, К | ||
Первичные дефекты | 80 | 473–1173 |
Вторичные дефекты | 423–623 | 1200–2000 |
Как видно из рис. 6 и табл. 2, при комнатной температуре Si и SiC находятся в существенно отличающихся состояниях. В кремнии уже закончился отжиг первичных дефектов, а в карбиде кремния он еще не начался. Таким образом, если сразу после облучения (даже если облучение проводили, условно, при абсолютном нуле) концентрация введенных радиационных дефектов в SiC была меньше, то после нагрева до комнатной температуры в кремнии концентрация дефектов стала меньше чем в SiC. В итоге измеренная при 300 К величина η в SiC может оказаться такой же или даже выше, чем в Si. Этим обстоятельством может объясняться малая разница в величинах η для SiC и Si.
ЗАКЛЮЧЕНИЕ
Проведенные исследования позволяют сделать следующие выводы. Увеличение температуры облучения приводит к росту радиационной стойкости карбида кремния. Это важно для применения SiC, прежде всего, при создании приборов высокотемпературной электроники. Уменьшение скорости удаления носителей в SiC при повышенных температурах облучения обусловлено отжигом образующихся радиационных дефектов при температурах 300–450 К.
ФИНАНСИРОВАНИЕ РАБОТЫ
Настоящая работа была выполнена при поддержке РНФ, грант № 22-12-00003.
КОНФЛИКТ ИНТЕРЕСОВ
Авторы заявляют, что у них нет конфликта интересов.
About the authors
A. A. Lebedev
Ioffe Institute RAS
Author for correspondence.
Email: shura.lebe@mail.ioffe.ru
Russian Federation, St. Petersburg, 194021
V. V. Kozlovski
Peter the Great St. Petersburg Polytechnic University
Email: vkozlovski@spbstu.ru
Russian Federation, St. Petersburg, 195251
M. E. Levinshtein
Ioffe Institute RAS
Email: shura.lebe@mail.ioffe.ru
Russian Federation, St. Petersburg, 194021
K. S. Davydovskaya
Ioffe Institute RAS
Email: shura.lebe@mail.ioffe.ru
Russian Federation, St. Petersburg, 194021
R. A. Kuzmin
Ioffe Institute RAS
Email: shura.lebe@mail.ioffe.ru
Russian Federation, St. Petersburg, 194021
References
- Choyke W.J. // Inst. Phys.: Conf. Ser. 1977. V. 31. P. 58.
- Hallen A., Henry A., Pelligrino P., Swensson B.G., Aberg D. // Mater. Sci. Eng. B. 1999. V. 61–62. P. 378.
- Casse G. // J. Instrum. Methods Phys. Res. A. 2009. V. 598. P. 54.
- Metcalfe J., on behalf of the RD50 Collaboration // J. Nucl. Phys. B Proc. Suppl. 2011. V. 215. P. 151. https://www.doi.org/10.1016/j.nuclphysbps. 2011.03.162
- Swensson B.G., Hallen A., Linnarson M.K., Kuznetsov A.Yu., Janson M.S., Aberg D., Osterman J., Persson P.O.A., Hultman L., Storasta L., Carlsson F.H., Bergman J.P., Jagadish C., Morvan E. // Material Science Forum. 2001. V. 353–356. P. 349.
- Лебедев А.А., Козловский В.В. // ФТП. 2014. T. 48. C. 1329.
- Lang D.V. // J. Appl. Phys. 1974. V. 45. P. 3023.
- Kozlovski V.V., Strokan N.B., Ivanov A.M., Lebedev A.A., Emtsev V.V., Oganesyan G.A., Poloskin D.S. // Phys. B. 2009. V. 404. P. 4752.
- Kalinina E.V., Lebedev A.A., Bogdanova E.V., Lebedev A.A., Berenquier B., Ottaviani L., Violina G.N., Skuratov V.A. // Semiconductors. 2015. V. 4. P. 540.
- Hazdra P., Vobecky J. // Phys. Status Solidi. A. 2019. V. 216. P. 1900312. https://doi.org/10.1002/pssa.201900312.
- Castaldini A., Cavallini A., Rigutti L., Nava F. // Appl. Phys. Lett. 2004. V. 85. P. 3780.
- Kaneko H., Kimoto T. // Appl. Phys. Lett. 2011. V. 98. P. 262106. https://doi.org/10.1063/1.3604795
- Hazdra P., Popelka S. // IET Power Electron. 2019. V. 12. P. 3910. https://doi.org/iet-pel.2019.0049
- Vobecky J., Hazdra P., Popelka S., Sharma K.R. // IEEE Trans. Electron Dev. 2015. V. 62. P. 1964. https://doi.org/10.1109/TED.2015.2421503
- Castaldini A., Cavallini A., Rigutti L. // Semicond. Sci. Technol. 2006. V. 21. P. 724. https://doi.org/10.1088/0268-1242/21/6/002
- Bathen M.E., Lew C.T.-K., Woerle J., Dorfer C., Grossner U., Castelletto S., Johnson B.C. // J. Appl. Phys. 2022. V. 131. P. 140903. https://doi.org/10.1063/5.0077299
- Lebedev A.A. Radiation Effects in Silicon Carbide. / Proc. Mater. Res. Forum LLC, Millersville, USA, 2017. V. 6. ISSN 2471-8890; ISBN 978-1-945291-11-1
- Lebedev A.A., Kozlovski V.V., Davydovskaya K.S., Levinshtein M.E. // Materials. 2021. V. 14. P. 4976. https://www.doi.org/10.3390/ma14174976
- Corbett J.W., Bourgoin J.C. Defect Creation in Semiconductors // Point Defects in Solids, V. 2. Semiconductors and Molecular Crystals. / Ed. Crawford J.H., Slifkin L.M. New York, London: Plenum Press, 1975. P. 1.
- Claeys C., Simoen E. Radiation Effects in Advanced Semiconductor Materials and Devices. Berlin: Springer–Verlag, 2002. 401 p.
- Lindstrom J.L., Murin L.I., Hallberg T., Markevich V.P., Svensson B.G., Kleverman M., Hermansson J. // Nucl. Instrum. Methods Phys. Res. B. 2002. V. 186. Iss. 1–4. P. 121.
Supplementary files








