Оценка потенциалов внутренней зарядки диэлектриков, покрытых проводящей пленкой
- Авторы: Орликовская Н.Г.1, Зыкова Е.Ю.1, Татаринцев А.А.1
-
Учреждения:
- Московский государственный университет им. М.В. Ломоносова
- Выпуск: № 9 (2024)
- Страницы: 50-57
- Раздел: Статьи
- URL: https://ogarev-online.ru/1028-0960/article/view/276022
- DOI: https://doi.org/10.31857/S1028096024090063
- EDN: https://elibrary.ru/EHYZEO
- ID: 276022
Цитировать
Полный текст
Аннотация
Проведена оценка потенциалов зарядки кварцевого стекла, покрытого проводящей металлической пленкой. Для оценок использована измеренная зависимость интенсивности катодолюминесцентного сигнала от фактической энергии падающего электронного пучка. Расчеты показали, что при облучении кварцевого стекла, покрытого пленкой Au толщиной 14 нм, потенциал зарядки может достигать 1.7 кВ при энергии электронов 10 кэВ и 2.7 кВ при 15 кэВ. Оценка электрического поля, возникающего под поверхностью заземленной пленки, показала, что напряженность поля не превышает 4 × 107 В/см.
Полный текст
ВВЕДЕНИЕ
В настоящее время электронно-зондовые методы исследования востребованы для получения информации о различных структурах и материалах. К таким методам относятся катодолюминесценция образцов [1] и рентгеновский микроанализ. При облучении диэлектрических образцов электронным пучком происходит накопление заряда в материале мишени [2–6], в результате над поверхностью образца возникают электрические поля [7–10], способные отклонять падающий пучок и уменьшать его фактическую энергию. Часто для устранения негативного влияния процесса зарядки в таких исследованиях диэлектрические образцы покрывают проводящей пленкой [7].
Ранее в [11] был обнаружен спад интенсивности катодолюминесценции кварцевого стекла, покрытого проводящей пленкой, на начальном этапе облучения. По своим временным параметрам такое снижение интенсивности соответствует кратковременной составляющей зарядки кварцевого стекла. В [11] было сделано предположение, что такой спад интенсивности катодолюминесценции может быть объяснен уменьшением объема генерации сигнала люминесценции вследствие торможения электронного пучка внутренним полем в кварце под проводящей пленкой. В этом случае проводящая пленка экранирует внутреннее поле зарядки для первичного пучка, но заряд, попавший внутрь диэлектрика, будет захватываться в электронных ловушках [6, 9, 10, 12, 13]. Захват электронов во внутренние ловушки будет приводить к накоплению объемного отрицательного электрического заряда в материале диэлектрика, который будет создавать внутреннее электростатическое поле, тормозящее первичный пучок электронов. Это, в свою очередь, приведет к уменьшению области катодолюминесценции, вызывая снижение интенсивности излучения.
Другой возможной причиной уменьшения интенсивности катодолюминесценции при электронном облучении является рост контаминационной пленки на поверхности образца в процессе облучения. В [14] детально исследован процесс роста углеводородной контаминационной пленки и ее влияние на интенсивность катодолюминесценции и рентгеновских характеристических линий излучения. Показано, что скорость роста контаминационной пленки при плотности тока ~2 × 10–2 А/см2 не превышает 0.1 нм/c. В настоящих экспериментах плотность тока электронов ~10–5 А/см2 и скорость осаждения углеводородной контаминационной пленки значительно ниже. Таким образом, изменение интенсивности катодолюминесцентного сигнала в течение первых 10 с не связано с эффектом контаминации.
В настоящей работе на основе данных, представленных в [11], проведена оценка внутреннего объема зарядки кварцевого стекла под металлической пленкой.
ЭКСПЕРИМЕНТАЛЬНЫЕ ДАННЫЕ
Для исследования влияния изменения области зарядки под проводящей пленкой были выбраны в качестве образцов кварцевые стекла чистотой 99.99% размером 10 × 10 мм и толщиной 1 мм со следующими параметрами: диэлектрическая проницаемость ε = 3.8, удельное электрическое сопротивление ρe = 7 × 107 Ом · см, ширина запрещенной зоны Eg = 9 эВ, плотность мишени ρ = 2.2 г/см3. Отметим, что исследуемые образцы обладают низким удельным сопротивлением.
На часть образцов в процессе эксперимента наносили проводящую пленку золота. Ее толщину подбирали так, чтобы поверхность образца все еще была прозрачна для регистрации катодолюминесценции, но пленка обладала проводимостью, достаточной для того, чтобы по ней мог эффективно стекать заряд на заземленную подложку. Пленку наносили на установке катодного распыления JEOL JFC-1100. Толщина пленки составляла d ≈ 14 нм.
Кинетику поверхностного потенциала стекла в процессе облучения электронным пучком регистрировали с помощью электростатического спектрометра электронов, установленного в растровом электронном микроскопе (РЭМ) LEO 1455VP [6, 11, 15]. В отдельных экспериментах в этом же РЭМ изучали эволюцию сигнала интегральной катодолюминесценции с помощью детектора Centaurus в диапазоне видимых длин волн 300–650 нм. В обоих экспериментах облучение области размером 100 × 100 мкм проводили в режиме быстрого сканирования электронным пучком при токе I0 = 1 нА. Давление в камере РЭМ при проведении катодолюминесцентных и электронно-спектроскопических исследований составляло около ~5 × 10–6 Торр. Ток измеряли c помощью цилиндра Фарадея наноамперметром Keithley 6485.
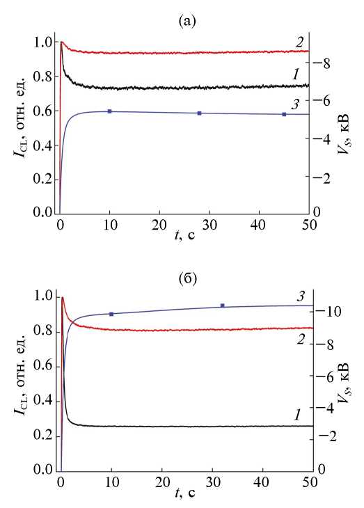
На рис. 1 представлены экспериментальные данные о кинетике интегрального катодолюминесцентного сигнала ICL и потенциала поверхности VS кварцевого стекла при облучении электронами с энергией E0 = 10 и 15 кэВ и плотностью тока j0 = 10–5 А/см2. Графики для большего интервала времени приведены в [11]. Интегральные сигналы катодолюминесценции получены на исходном кварцевом стекле и образце, покрытом пленкой золота. В случае покрытых образцов пленка была заземлена на держатель образца, с которого в процессе эксперимента регистрировали ток. Так как сигнал катодолюминесценции на образцах с пленкой существенно ниже, чем в случае чистого образца, при регистрации сигнала приходилось изменять усиление регистрирующего фотоэлектронного умножителя детектора Centaurus. Для сопоставления люминесцентных сигналов от разных образцов полученные данные были нормированы на максимальную величину сигнала от образца, полученную в первые 2–3 с регистрации.
Рассмотрим полученные экспериментальные данные. При энергии электронного пучка Е0 = 10 кэВ наблюдается быстрый рост поверхностного потенциала — за время порядка 10 с он достигает значения –5.4 кВ (рис. 1а). На рисунке точками обозначены значения потенциалов, измеренных по сдвигу спектра вторичных электронов, а ход кривой, соединяющей точки, был качественно построен по кинетике люминесцентного сигнала исходя из [16], где было показано, что потенциал зарядки можно оценивать непосредственно из катодолюминесцентного сигнала. Отсюда видно, что интенсивность катодолюминесценции ICL в начальный момент времени снижается (рис. 1а, кривая 1) с 1.00 до 0.74 отн. ед. через 10 с после начала облучения. Аналогично понижается интенсивность катодолюминесцентного сигнала (от 1.00 до 0.93 отн. ед. через 10 с после начала облучения) в случае кварцевого стекла под проводящей золотой пленкой.
Рис. 1. Зависимость интенсивности сигнала катодолюминесценции ICL кварцевого стекла (1), стекла, покрытого золотой пленкой (2), и потенциала зарядки VS кварца (3) от времени облучения электронами с энергией E0 = 10 (а) и 15 кэВ (б), плотностью тока j0 = 10–5 А/см2.
Похожая ситуация наблюдается при облучении кварцевого стекла электронами с энергией E0 = 15 кэВ (рис. 1б): за первые 10 с потенциал VS достигает значения –9.8 кВ, а в это время сигнал катодолюминесценции существенно снижается с 1.00 до 0.26 отн. ед. Для кварцевого стекла, покрытого золотой пленкой, наблюдаемый спад интенсивности катодолюминесценции за первые 10 с составляет от 1.00 до 0.81 отн. ед.
Таким образом, на основе значений измеренных потенциалов зарядки и представленных на рис. 1 экспериментальных результатов для катодолюминесценции составим табл. 1, содержащую входные данные для оценки потенциала зарядки образца под проводящей пленкой. Здесь фактическая падающая энергия EL для образца, покрытого золотой пленкой, приведена с учетом средних потерь энергии в материале пленки [11, 17]. В работе введены следующие обозначения для потенциалов: VS1 и VS3 — потенциал поверхности вследствие зарядки электронами с энергией 10 и 15 кэВ не покрытого пленкой образца кварца, VS2 и VS4 — эффективный потенциал зарядки кварцевого стекла под проводящей пленкой.
Таблица 1. Экспериментальные данные для оценки потенциала зарядки кварцевого стекла под золотой пленкой
№ | Образец | E0, кэВ | t, c | EL, кэВ | ICL, отн. ед. |
1 | Кварцевое стекло без пленки | 10 | 0 | 10 | 1 |
2 | 10 | 4.6 | 0.74 | ||
3 | Кварцевое стекло с пленкой | 0 | 8.4 | 1 | |
4 | 10 | 8.4 — qVS2 | 0.93 | ||
5 | Кварцевое стекло без пленки | 15 | 0 | 15 | 1 |
6 | 10 | 5.2 | 0.26 | ||
7 | Кварцевое стекло с пленкой | 0 | 13.1 | 1 | |
8 | 10 | 13.1 — qVS4 | 0.81 |
Примечание. E0 — энергия первичного пучка электронов, t — момент времени, когда зафиксированы приведенные в таблице значения, EL = E0 — qVS — фактическая энергия электронов, ICL — нормированное значение интенсивности катодолюминесценции, VS2 и VS4 — эффективный потенциал зарядки кварцевого стекла под проводящей пленкой.
РАСЧЕТ ПОТЕНЦИАЛОВ ВНУТРЕННЕЙ ЗАРЯДКИ ДИЭЛЕКТРИКОВ
Известно [18], что количество электронно-дырочных пар, сгенерированных электронным пучком в объеме Vin, пропорционально току I0 и энергии, поглощенной в материале мишени E0. Энергия, затрачиваемая каждым электроном на создание одной электронно-дырочной пары, равна 3Eg, что для исследуемого кварцевого стекла составляет 27 эВ. Таким образом, можно оценить количество электронно-дырочных пар, созданных электронным пучком в единице объема:
.
Зарегистрированная интенсивность катодолюминесценции ICL пропорциональна общему количеству электронно-дырочных пар Neh, а значит
. (1)
Здесь коэффициент пропорциональности определяется геометрическим фактором регистрации сигнала детектором, его аппаратной функцией, а также временем жизни носителей заряда [19]. Для оценки зарядового потенциала под пленкой будем считать, что коэффициент пропорциональности не меняется. В [1, 20] представлена формальная теория пространственного разрешения катодолюминесцентной микроскопии. Катодолюминесцентное излучение выходит из объема, представляющего собой сумму области генерации неравновесных носителей заряда при электронном облучении и области, куда они диффундировали. Так как интересно, на сколько изменится объем генерации катодолюминесцентного излучения в процессе зарядки, пренебрежем добавочным вкладом в объем диффузии носителей заряда в обе вычитаемые величины. Это справедливо, если в процессе зарядки диэлектрика область растекания заряда за счет диффузии не увеличивается. В данном случае за счет уменьшения объема взаимодействия электронов вследствие зарядки более глубокий заряд будет препятствовать диффузии носителей заряда вглубь. Действительно, в процессе зарядки диэлектрического образца уменьшается область взаимодействия электронов с материалом мишени. В то же время электроны, захваченные в ловушки в первые моменты электронного облучения, формируют расположенную более глубоко отрицательно заряженную область, которая будет препятствовать диффузии носителей заряда вглубь. Таким образом, растекание возможно лишь по поверхности образца, которым можно пренебречь вследствие относительно небольшого времени оценки потенциалов (10 с). Тем не менее надо иметь в виду, что это приближение может приводить к ошибке определения потенциала.
В процессе зарядки чистого кварца без пленки выражение (1), описывающее интенсивность катодолюминесценции, трансформируется в следующее выражение [16]:
, (2)
где I0 — сила падающего тока, EL — фактическая энергия электронов, которая в процессе облучения может изменяться (табл. 1). А выражение описывает долю отраженной энергии, которая не участвует в генерации катодолюминесценции. В выражении (2) для интенсивности катодолюминесценции ICL1 в начальный момент времени, когда образец кварцевого стекла еще не заряжен, EL = E0. Записывая аналогичное выражение для интенсивности катодолюминесценции ICL2 в случае зарядки кварцевого стекла через 10 с и вычитая из него выражение для ICL1, можно получить константу k. В этом случае EL = E0 — qVS1, где VS1 — потенциал зарядки поверхности через 10 с:
. (3)
В случае облучения кварцевого стекла под пленкой Au выражение (2) для исходной интенсивности катодолюминесценции ICL3 и интенсивности через 10 с после начала облучения ICL4 принимает вид:
. (4)
Здесь ηf — коэффициент отражения электронов от пленки золота толщиной 14 нм, описывает долю отраженной энергии от кварцевого стекла под пленкой золота, а EL в данном случае описывает фактическую энергию электронов, которые генерируют катодолюминесцентное излучение, с учетом потери энергии в металлической пленке. Подставляя выражение (3) для константы эксперимента в выражение для разности начальной интенсивности и интенсивности спустя первые 10 с облучения, получим выражение для потенциала зарядки VS2 под пленкой золота:
(5)
Слагаемое в левой части зависит от потенциала зарядки диэлектрика. Коэффициент отражения от материала пленки был рассчитан методом, представленным в [11]. Для E0 = 10 кэВ коэффициент отраженных электронов ηf = 0.129, а для E0 = 15 кэВ ηf = 0.064.
Оценим долю средней отраженной энергии исходя из следующих соотношений. Достаточно неплохо экспериментальным данным соответствует выражение для средней энергии отраженных электронов [21]:
, (6)
где Z = 10.39 — эффективный атомный номер кварцевого стекла. В случае зарядки диэлектрического образца фактическая падающая энергия EL = E0 – qVS, а вышедшие отраженные электроны будут ускоряться, пройдя эту же разность потенциалов между поверхностью образца и заземленными деталями экспериментальной камеры. Таким образом, если измерить среднюю отраженную энергию диэлектрика, то она будет увеличиваться в процессе зарядки. Поскольку эту добавочную энергию электроны приобретают фактически уже после выхода с поверхности образца, увеличение средней отраженной энергии формула (6) не учитывает.
Коэффициенты отражения рассчитаем из соотношения, которое наиболее близко соответствует экспериментальным результатам [22, 23]:
, (7)
где показатель степени имеет вид: m(Z) = 0.1382 — 0.9211Z–0.5, а множитель C(Z) = 0.1904 — 0.2236lnZ + 0.1292ln2Z — 0.01491ln3Z. Энергия E0 в формуле (7) имеет размерность кэВ. Также будем считать, что под пленкой диэлектрический образец заряжается несильно, что видно по изменению интенсивности катодолюминесценции, а значит, коэффициент отражения также будет меняется незначительно, т.е. будем считать, что η3 = η4. Коэффициент отражения при зарядке образца без пленки изменяется существеннее. Здесь под коэффициентом отражения будем подразумевать отражение от материала кварцевого стекла, отражение от материала пленки уже учитывает формула (5). В табл. 2 представлены результаты расчета средних значений энергии и коэффициентов отражения по соотношениям (6) и (7) для 10 и 15 кэВ.
Таблица 2. Результаты расчетов коэффициента отражения и средней отраженной энергии
№ | Образец | E0, кэВ | EL, кэВ | η | , кэВ |
1 | Кварцевое стекло без пленки | 10 | 10 | 0.131 | 5.42 |
2 | 4.6 | 0.147 | 2.49 | ||
3 | Кварцевое стекло с пленкой | 8.4 | 0.134 | 4.56 | |
4 | 8.4 — qVS2 | ||||
5 | Кварцевое стекло без пленки | 15 | 15 | 0.123 | 8.13 |
6 | 5.2 | 0.144 | 2.82 | ||
7 | Кварцевое стекло с пленкой | 13.1 | 0.126 | 7.08 | |
8 | 13.1 — qVS4 |
Примечание. E0 — энергия первичного пучка электронов, EL = E0 — qVS — фактическая энергия электронов, η — коэффициент обратно рассеянных электронов, VS2 и VS4 — эффективный потенциал зарядки кварцевого стекла под проводящей пленкой, — средняя энергии отраженных электронов.
Подставляя выражения (6) и (7) в формулу (5), с учетом зависимости от потенциала энергии получим следующее выражения для искомого потенциала зарядки под пленкой образца:
. (8)
Электроны, пройдя через заземленную пленку, в материале кварца испытывают замедление из-за накопившегося внутри образца заряда. Величина тормозящего потенциала в эксперименте с E0 = 10 кэВ, рассчитанная по выражению (8), равна VS2 ≈ 1.7 кВ. Проделав аналогичные расчеты для эксперимента с энергией первичного пучка E0 = 15 кэВ, получим потенциал зарядки под пленкой VS4 ≈ 2.7 кВ, что может быть объяснено большей областью накопления заряда под пленкой.
Рассмотрим теперь конфигурацию зарядов, образующихся под проводящей пленкой. На рис. 2 представлена полученная моделированием методом Монте-Карло (по программе Casino v2.5 [24]) область взаимодействия электронов с кварцевым стеклом до интенсивного процесса зарядки с энергией 8.4 кэВ и с EL = 8.4 — eVS2 ≈ 6.7 кэВ. Таким образом, максимальная глубина проникновения электронного пучка вследствие внутреннего эффекта зарядки уменьшается от ~870 нм (область А) до ~580 нм (область B). Также происходит небольшое сжатие области взаимодействия и в латеральном направлении.
Рис. 2. Рассчитанное с помощью программы Casino v2.5 изменение области взаимодействия в кварцевом стекле при изменении вследствие зарядки энергии электронного зонда от 8.4 (А) до 6.7 кэВ (B).
Аналогичные расчеты при исходной энергии электронного пучка 15 кэВ показали, что область взаимодействия изменяется от ~1750 до 1150 нм при изменении энергии от 13.1 до 10.4 кэВ. Более существенное по сравнению с E0 = 10 кэВ изменение области взаимодействия приводит к большему изменению сигнала катодолюминесценции (рис. 1).
Термализованные в области A электроны будут захватываться в ловушки в кварцевом стекле [11], что приводит к внутренней локальной зарядке этой области. На начальном этапе зарядки, который рассмотрен в настоящей работе, факторами, ограничивающими дальнейшее накопление заряда, являются количество ловушек в исходной области зарядки и возникающее электрическое поле, которое при достижении высоких значений напряженности может способствовать освобождению этих ловушек за счет эффекта Пула–Френкеля. Если исходных ловушек в образце относительно мало, то в первые моменты времени они заполнятся целиком. Оставшиеся термализованные электроны, для которых нет свободных ловушек, будут под действием возникающего поля дрейфовать к металлической пленке и стекать на землю. Если же ловушек достаточно много, то под металлической пленкой может возникнуть сильное поле, которое будет высвобождать электроны из относительно неглубоких ловушек и способствовать дрейфу излишних зарядов на заземленную пленку. Таким образом, будут достигнуты высокие предпробойные электрические поля, которые определяют установившееся динамическое равновесие зарядов в диэлектрике под металлической пленкой.
Как показали простые электростатические расчеты для зарядки области с характерным размером 100 мкм, внутренняя разность потенциалов 1.7 кВ в SiO2 возникает при плотности заряда 0.156 Кл/см3, равномерно распределенного по цилиндрическому объему диаметром 100 мкм и высотой 0.9 мкм. Это соответствует параметрам проведенного эксперимента и моделирования (рис. 2). В образце будет захвачено около 4.4 нКл отрицательного заряда, что при токе электронного зонда I0 = 1 нА удовлетворительно согласуется с захваченным за первые 5–10 с зарядом (рис. 1). В случае E0 = 15 кэВ была выбрана плотность заряда 0.78 Кл/см3, что соответствует отрицательному заряду 2.2 нКл, захваченному в области с диаметром 100 мкм и глубиной 1.7 мкм.
На рис. 3 представлены рассчитанные распределения потенциалов и нормальных компонент электрических полей внутри диэлектрика под заземленной металлической пленкой для E0 = 10 и 15 кэВ. Как показали эти расчеты, максимальная напряженность поля, которая будет возникать в диэлектрике вблизи заземленной пленки, не превышает 4 × 107 В/см. Согласно [25, 26], такие высокие электрические поля могут возникать как внутри пленочного, так и относительно толстого диэлектрика. Обычно пробой диэлектрика измеряют для структур типа плоского конденсатора, когда разность потенциалов прикладывают на соответствующие обкладки, между которыми помещен исследуемый диэлектрик. Источником затравочных электронов, которые генерируют пробойную электронную лавину, являются в основном электроны, попавшие из металла в диэлектрик и набравшие энергию, достаточную для ионизации атомов диэлектрика. В пленочных диэлектриках пробой наступает при более высокой напряженности электрического поля, поскольку электронная лавина не успевает развиться при малой толщине образца [27, 28]. В рассматриваемом случае электроны при E0 = 10 кэВ будут термализовываться в области меньше 580 нм от поверхности образца (рис. 2). Возможно, на таких небольших глубинах генерируемая электрическая лавина не успевает стать значимой для образования канала пробоя. Ионизированные атомы компенсируют свой заряд непрерывно приходящими электронами зонда, что приводит к установлению динамического равновесия. Стоит также подчеркнуть, что для оценки полей внутри диэлектрика было использовано равномерное распределение заряда по объему внутри диэлектрика. Однако в действительности распределение заряда намного сложнее. Например, вблизи заземленной пленки заряды могут высвобождаться под действием электрического поля, что уменьшает их плотность вблизи пленки и соответствующее значения напряженности электрических полей.
Рис. 3. Рассчитанные зависимости потенциала V (1, 2) и напряженности электрического поля Ein (3, 4) в кварцевом стекле от глубины z при E0 = 10 (1, 3) и 15 кэВ (2, 4).
ЗАКЛЮЧЕНИЕ
При использовании зависимости интенсивности катодолюминесцентного сигнала от падающей энергии электронного пучка была проведена оценка потенциалов зарядки кварцевого стекла под проводящей металлической пленкой. При облучении кварцевого стекла, покрытого пленкой Au толщиной 14 нм, электронами с энергией E0 = 10 кэВ потенциал зарядки может достигать 1.7 кВ, а при E0 =15 кэВ — 2.7 кВ. Наличие области зарядки диэлектриков под металлической пленкой будет негативно сказываться на точности проведения катодолюминесцентных исследований и рентгеновского микроанализа диэлектрических образцов даже под проводящей пленкой. Проведена оценка электрических полей, которые возникают под поверхностью заземленной пленки. Такие поля превышают электрическую прочность кварцевого стекла толщиной 1 мм и могут достигать значений менее 4 × 107 В/см.
ФИНАНСИРОВАНИЕ РАБОТЫ
Исследование выполнено при поддержке Российского научного фонда (грант № 23-22-00083, https://rscf.ru/project/23-22-00083).
КОНФЛИКТ ИНТЕРЕСОВ
Авторы заявляют, что у них нет конфликта интересов.
Об авторах
Н. Г. Орликовская
Московский государственный университет им. М.В. Ломоносова
Автор, ответственный за переписку.
Email: orlikovskayang@gmail.com
Россия, Москва, 119991
Е. Ю. Зыкова
Московский государственный университет им. М.В. Ломоносова
Email: orlikovskayang@gmail.com
Россия, Москва, 119991
А. А. Татаринцев
Московский государственный университет им. М.В. Ломоносова
Email: orlikovskayang@gmail.com
Россия, Москва, 119991
Список литературы
- Петров В.И. // Успехи физических наук. 1996. Т. 166. С. 859.
- Melchinger A., Hofmann S. // J. Appl. Phys. 1995. V. 78. P. 6224. https://doi.org/10.1063/1.360569
- Cazaux J. // J. Appl. Phys. 2001. V. 89. P. 8265. https://doi.org/10.1063/1.1368867
- Cornet N., Goeuriot D., Guerret-Piécourt C., Juv́ D., Tŕheux D., Touzin M., Fitting H.J. // J. Appl. Phys. 2008. V. 103. Р. 064110. https://doi.org/10.1063/1.2890427
- Askri B., Raouadi K., Renoud R., Yangui B. // J. Electrostat. 2009. V. 67. P. 695. https://doi.org/10.1016/j.elstat.2009.03.006
- Рау Э.И., Татаринцев А.А. // Физика твердого тела. 2021. Т. 63. С. 483. https://doi.org/10.21883/FTT.2021.04.50713.246
- Cazaux J. // J. Appl. Phys. 1986. V. 59. P. 1418. https://doi.org/10.1063/1.336493
- Cazaux J. // Scanning. 2004. V. 26. P. 181. https://doi.org/10.1002/sca.4950260406
- Meyza X., Goeuriot D., Guerret-Piécourt C., Tréheux D., Fitting H.J. // J. Appl. Phys. 2003. V. 94. P. 5384. https://doi.org/10.1063/1.1613807
- Touzin M., Goeuriot D., Guerret-Piécourt C., Juv́ D., Tŕheux D., Fitting H.J. // J. Appl. Phys. 2006. V. 99. Р. 114110. https://doi.org/10.1063/1.2201851
- Татаринцев А.А., Зыкова Е.Ю., Иешкин А.Е., Орликовская Н.Г., Рау Э.И. // Физика твердого тела. 2023. Т. 65. С. 1288. https://doi.org/10.21883/ftt.2023.08.56145.79
- Ohya K., Inai K., Kuwada H., Hayashi T., Saito M. // Surf. Coatings Technol. 2008. V. 202. P. 5310. https://doi.org/10.1016/j.surfcoat.2008.06.008
- Cazaux J. // J. Electron Spectr. Relat. Phenomena. 2010. V. 176. P. 58. https://doi.org/10.1016/j.elspec.2009.06.004
- Орехова К.Н., Серов Ю.М., Дементьев П.А., Иванова Е.В., Кравец В.А., Усачева В.П., Заморянская М.В. // Журнал технической физики. 2019. Т. 89. С. 1412. https://doi.org/10.21883/jtf.2019.09.48068.43-19
- Рау Э.И., Татаринцев А.А., Зыкова Е.Ю., Зайцев С.В. // Журнал технической физики. 2019. Т. 89. С. 1276. https://doi.org/10.21883/jtf.2019.08.47904.264-18
- Зайцев С.В., Купреенко С.Ю., Лукьянов А.Е., Рау Э.И., Татаринцев А.А., Хайдаров А.А. // Изв. РАН. Сер. физ. 2016. Т. 80. С. 1623. https://doi.org/10.7868/s0367676516120206
- Fitting H.J. // J. Electron Spectr. Relat. Phenomena. 2004. V. 136. P. 265. https://doi.org/10.1016/j.elspec.2004.04.003
- Phillips M.R. // Microchim. Acta. 2006. V. 155. P. 51. https://doi.org/10.1007/s00604-006-0506-0
- Кузнецова Я.В. Особенности катодолюминесценции полупроводниковых структур на основе AlInGaN: Дис. … канд. физ.-мат. наук: 01.04.10. Санкт-Петербург: ФТИ, 2013.
- Гареева А.Р., Петров В.И., Чижов Г.А. // Вестн. МГУ. Сер. 3. 1989. Т. 30. С. 23.
- Михеев Н.Н., Петров В.И., Степович М.А. // Изв. АНаук СССР. Сер. физ. 1991. Т. 55. С. 1474.
- August H., Wernisch J. // Phys. Stat. Sol. 1989. V. 114. P. 629.
- Hunger H.-J., Kuchler L. // Phys. Stat. Sol. 1979. V. 56. P. 45.
- Drouin D., Couture A.R., Joly D., Tastet X., Aimez V., Gauvin R. // Scanning. 2007. V. 29. P. 92. https://doi.org/10.1002/sca.20000
- Рау Э.И., Евстафьева Е.Н., Зайцев С.И., Князев М.А., Свинцов А.А., Татаринцев А.А. // Микроэлектроника. 2013. Т. 42. С. 116. https://doi.org/10.7868/s0544126913020105
- Kotera M., Suga H. // J. Appl. Phys. 1988. V. 63. P. 261. https://doi.org/10.1063/1.340285
- Сканави Г.И. Физика диэлектриков (область сильных полей). М.: ГИФМЛ, 1958. 907 с.
- Франц В. Пробой диэлектриков. М.: ИЛ, 1961. 207 с.
Дополнительные файлы





