Спектрометрия по времени замедления нейтронов в свинце 1: данные сечений 241Am(n,f), 242mAm(n,f), 243Am(n,f) при энергии до 100 кэВ
- Авторы: Коптелов Э.А.1
-
Учреждения:
- Институт ядерных исследований РАН
- Выпуск: № 4 (2024)
- Страницы: 98-112
- Раздел: Статьи
- URL: https://ogarev-online.ru/1028-0960/article/view/261082
- DOI: https://doi.org/10.31857/S1028096024040135
- EDN: https://elibrary.ru/GIIWYQ
- ID: 261082
Цитировать
Полный текст
Аннотация
Представлен обзор результатов цикла работ, выполненных объединенной группой сотрудников ИЯИ РАН и ГНЦ РФ–ФЭИ на спектрометре по времени замедления нейтронов в свинце СВЗ-100 по измерению сечений деления изотопов америция 241Am, 242mAm, 243Am нейтронами с энергией ниже 100 кэВ. Высокая светосила СВЗ-100 благодаря большой массе рабочего вещества (100 т особо чистого свинца) и генерации нейтронов протонами с энергией 209 МэВ ускорителя ИЯИ РАН позволила исследовать нейтронно-ядерные процессы в микрограммовых образцах радиоактивных нуклидов, что недоступно в экспериментах, использующих времяпролетную спектрометрию. Получена уникальная научная информация, которая частично восполняет отсутствовавшие либо дополняет имеющиеся, но зачастую противоречивые или недостаточные данные экспериментов, выполненных как на времяпролетных установках, так и на спектрометрах по времени замедления в свинце других исследовательских центров. Результаты работ ИЯИ РАН–ГНЦ РФ–ФЭИ отражены в международных базах ядерных данных и указывают в ряде случаев на необходимость корректировки рекомендованных аппроксимирующих и расчетных значений. Приведены сведения о немногочисленных реализованных и планируемых исследованиях нейтронных сечений делений изотопов америция в других центрах после завершения работ ИЯИ РАН–ГНЦ РФ–ФЭИ.
Полный текст
ВВЕДЕНИЕ
Исследование нейтронно-ядерных взаимодействий представляет интерес как для углубления представлений о фундаментальных закономерностях строения и свойств атомных ядер, так и для получения данных, необходимых для создания энергетических ядерных установок нового поколения. Возрастающие экологические и экономические требования возможных сценариев развития энергетики [1] предъявляют повышенные требования к качеству, объему и точности используемых в расчетах и конструировании массивов ядерных данных, в первую очередь нейтронных [2]. Особое значение точность ядерных данных имеет для ядерно-энергетических установок, работающих в режиме, близком к критическому [3].
Систематизацией информации занимаются в Секции по ядерным данным МАГАТЭ (Вена, Австрия), в Национальном центре по ядерным данным при Брукхейвенской национальной лаборатории (США), в Центре по сбору нейтронных данных в Сакле (Франция), в Центре по ядерным данным при АО “ГНЦ РФ–ФЭИ” (г. Обнинск, Россия), в Китае и других странах. Важную роль в использовании и обработке ядерных данных играют современные информационные технологии МАГАТЭ [4].
В настоящее время в мире библиографические и экспериментальные данные о нейтронной физике содержатся в библиотеках оцененных ядерных данных ENDF/B (США), JENDL (Япония), JEF (Европа) и CENDL (КНР). В России в АО “ГНЦ РФ–ФЭИ” создана Российская национальная библиотека РОСФОНД-2010 [5], использующая оцененные нейтронные данные для всех стабильных и радиоактивных ядер, а также экспериментальные данные (EXFOR).
При реализации ядерных технологий используют рекомендованные оцененные данные, базирующиеся на полном мировом комплексе экспериментальных и теоретических знаний [6]. В идеале оцененные данные, входящие в библиотеку, должны представлять собой согласованный набор характеристик взаимодействия нейтронов с ядром [2]. Однако в ряде случаев экспериментальные данные отражают аппаратные ограничения и не перекрывают весь диапазон энергии, местами применяется аппроксимация рекомендованных значений.
Значительный массив данных получен на установках, использующих времяпролетную методику измерений. В дополнение к времяпролетным спектрометрам для получения информации о сечениях нейтронно-ядерных взаимодействий используют спектрометры по времени замедления нейтронов в свинце (СВЗ). Программа исследования нейтронных сечений деления изотопов америция и кюрия на базе спектрометра СВЗ-100 ИЯИ РАН с протонным драйвером и последующая обработка результатов была реализована в совместных работах ИЯИ РАН и ГНЦ РФ–ФЭИ, результаты которых, относящиеся к изотопам америция, рассмотрены ниже. Данные об изотопах кюрия будут представлены дополнительно. Приводимые сопоставления с рекомендованными и комплементарными данными показывают место спектрометрии по времени замедления нейтронов в свинце, в дополнение к времяпролетной спектрометрии, в широком диапазоне энергии нейтронов.
ДАННЫЕ О НЕЙТРОННЫХ СЕЧЕНИЯХ ДЕЛЕНИЯ ИЗОТОПОВ АМЕРИЦИЯ, ДОСТУПНЫЕ ДО РЕАЛИЗАЦИИ ПРОГРАММЫ ИЗМЕРЕНИЙ ИЯИ–ФЭИ
Младшие актиноиды, среди которых изотопы Np, Am и Cm играют важнейшую роль, в основном определяют сложный комплекс проблем, связанных с хранением и переработкой долгоживущих высокоактивных отходов ядерной энергетики. Разработка эффективных методов трансмутации младших актиноидов на основе реакторных технологий ставит задачу значительного усовершенствования ядерных данных для них в широком диапазоне энергии нейтронов с целью обеспечения точности, сопоставимой с точностью, достигнутой для основных компонентов ядерного топлива – изотопов U и Рu. В качестве перспективного подхода к трансмутации младших актиноидов рассматривают использование электроядерных установок с подкритическими бланкетами, которые размножают нейтроны, генерируемые в массивной мишени мощным пучком протонов с энергией 1–1.5 ГэВ [7]. Спектр нейтронов в таких установках простирается до сотен МэВ, причем наибольший вклад дает область энергии до нескольких десятков МэВ. Вместе с тем область эпитепловой энергии нейтронов ввиду ограниченного числа экспериментальных данных характеризуется неопределенностью соответствующих значений.
Деление младших актиноидов под действием нейтронов низкой и средней энергии является важнейшим процессом трансмутации ядерных отходов на основе реакторных и ускорительных технологий. Трудности измерения сечений деления этих высокорадиоактивных ядер определяются необходимостью использовать мишени с малым количеством исследуемого вещества, что требует интенсивных нейтронных источников. Спектрометры по времени замедления нейтронов в свинце, несмотря на их невысокое разрешение, успешно применяют для измерения сечений нуклидов, которые трудно или невозможно исследовать другими методами.
Согласно современным представлениям [8, 9], барьер деления тяжелых ядер имеет не один, а два максимума (двугорбый барьер деления), между которыми находится вторая потенциальная яма. Для большинства ядер актиноидов на зависимости энергии ядра от параметра деформации появляется вторая потенциальная яма, соответствующая сильной деформации ядра. Исследование деления младших актиноидов, для которых характерен двугорбый барьер, имеет значение для получения дополнительной информации об энергетической зависимости резонансных параметров и характеристик подбарьерного деления.
Заметному прогрессу в резонансной области энергии нейтронов (от долей эВ до десятков кэВ), т.е. в области противоречивых ядерных данных, могут способствовать и, как показано ниже, способствуют исследования с использованием светосильных спектрометров третьего поколения по времени замедления нейтронов в свинце, протонных ускорителей (энергия в сотни МэВ) и реакции скалывания (spallation) для генерации нейтронов. Такой установкой является спектрометр СВЗ-100 с протонным драйвером линейного ускорителя протонов ИЯИ РАН [10]. Хотя эта методика позволяет получать информацию с невысоким энергетическим разрешением (~27–30%), полученные с ее помощью результаты проясняют ситуацию в области энергии ниже 100 кэВ, отличающейся особенно большими расхождениями данных. Высокая светосила СВЗ-100, в том числе и по сравнению со спектрометрами по времени замедления нейтронов второго поколения (на пучках ускорителей электронов), обеспечивает возможность измерений с использованием микрограммовых радиоактивных образцов. Этим обусловлен интерес к реализации исследований младших актиноидов на спектрометрах по времени замедления нейтронов в свинце третьего поколения.
На спектрометре СВЗ-100 с использованием ускоренного до 209 МэВ пучка протонов сильноточного линейного ускорителя ИЯИ РАН (г. Троицк, г. Москва) в совместной работе ИЯИ РАН и ГНЦ РФ–ФЭИ (г. Обнинск) был выполнен комплекс масштабных измерений сечений деления резонансными нейтронами всех изотопов америция и кюрия – наиболее радиотоксичных отходов ядерной энергетики. Полученные данные предоставили дополнительную информацию для теоретического анализа вероятности глубоко подпорогового деления и позволили уточнить структуру и параметры барьеров деления ядер америция и кюрия.
В настоящем обзоре представлены результаты работ по исследованию нейтронно-ядерных взаимодействий на изотопах америция. Получены новые данные о сечениях деления в области энергии 0.03 эВ–20 кэВ. Проведена обработка данных измерений сечений деления резонансными нейтронами всех изотопов америция (241Am, 242mAm, 243Am). Результаты опубликованы [11–16] и занесены в международную базу данных Брукхейвенской лаборатории (BNL, США, http://www.nndc.bnl.gov). Интерес к ядрам этой группы также связан с нерешенными проблемами физики переходных состояний при делении сильно деформированных ядер. Получение новой экспериментальной информации о сечениях деления младших актиноидов и уточнение существующих файлов, рекомендованных данных, рассматривали как приоритетные задачи [17].
Для нуклидов 237Np, 241Am и 243Am большое значение имеет сечение радиационного захвата нейтронов – процесса, переводящего их в более радиотоксичные ядра 238Pu, 242Cm и 244Сm. Но важнейшей из всех реакций для младших актиноидов является деление, обеспечивающее конечную цель трансмутации – превращение долгоживущих радиотоксичных излучателей в сравнительно короткоживущие осколки деления. Экспериментальное измерение сечений деления младших актиноидов, большинство из которых обладает высокой α-активностью и/или высокой интенсивностью спонтанного деления, является сложной задачей.
До реализации комплекса исследований на СВЗ-100 сложилась следующая определенная картина данных о сечениях деления нейтронами изотопов америция (241Am, 242mAm, 243Am). Ниже ограничимся областью энергии нейтронов, доступной для измерений на СВЗ-100. Приведем основные сведения и ссылки на имевшиеся данные о сечении деления изотопов америция. Более детальные сопоставления и обсуждения содержатся в [11–16].
Америций-241
Изотоп 241Am в смеси младших актиноидов – самый распространенный нуклид, не считая 237Np, поэтому его изучению уделяли большое внимание в разных странах. Расхождения данных о сечениях деления в ранних и более поздних работах типичны для всех младших актиноидов. Основную трудность при измерениях представляет высокая α-активность образцов. Ниже энергии 149.1 эВ в сечении 241Am(n,f) имеются 187 резонансов. Резонансные параметры получены в результате экспериментов, выполненных с высоким разрешением методом времени пролета в Ливерморе (США) [18], Сакле (Франция) [19], Гиле (Бельгия) [20] и Ок-Ридже (США) [21] до 1986 г. Полученная информация была учтена при формировании библиотек ENDF/B-VII.0 (США, 2006 г.), РОСФОНД-2010 (ФЭИ).
На спектрометре по времени замедления в свинце KULS (масса свинца 40 т, чистота 99.9%) с линейным электронным ускорителем (энергия 31 МэВ) в Исследовательском реакторном институте университета Киото (Япония) измерено сечение деления в области энергии нейтронов 0.1 эВ–10 кэВ [22]. Наилучшее энергетическое разрешение спектрометра в этих измерениях составляет 39%. Сечение 241Am(n,f) измерено относительно стандарта (ENDF/B-VI) для 235U(n,f). Масса 241Am в делящемся слое 6.9 мкг. Точность полученных величин (с учетом нормировки) – от 4.1 до 8.6%. Там же приведены результаты измерения сечения деления в тепловом спектре реактора.
В 2008 г. в Лос-Аламосе (США) методом времени пролета измерены сечения радиационного захвата [23]. Для 20 резонансов в области энергии ниже 12 эВ найдены нейтронная и радиационная ширины. Данные учтены в оценках JENDL-4.0 (2010 г.) и ENDF/B-VII.1 (2011 г.). Сравнение средних рекомендованных резонансных параметров баз данных библиотек РОСФОНД, ENDF/B-VII, JENDL-4.0 приведено в [17].
В области энергии 0.025 эВ–49 кэВ данные об измерении сечения деления 241Am(n,f) получены в НИЦ “Курчатовский институт” в 1986 г. на СВЗ-50 (масса свинца 50 т, чистота 99.99%), установленном на базе линейного ускорителя электронов “Факел” (энергия 50 МэВ). Энергетическая зависимость сечения 241Am(n,f) рассчитана относительно сечения реакции 6Li(n,α)3H. Систематическая погрешность абсолютизации (стандарт 235U(n,f)) составила 4.7% [24].
Из сравнения результатов СВЗ-50 и СВЗ-40 (KULS) следует, что использование большего объема и более чистого свинца позволило повысить энергетическое разрешение спектрометра (около 30%). Сопоставление данных, полученных на этих спектрометрах, приведено в [14–16]. Сечения в области энергии E > 100 эВ, измеренные с помощью спектрометра KULS, имеют более высокие значения по сравнению с данными НИЦ “Курчатовский институт”.
Расхождения между оценками резонансных параметров в библиотеках РОСФОНД-2010 и ENDF/B-VII.1 привели к соответствующим отличиям усредненных значений в области энергии ниже 30 эВ. Выявленные расхождения экспериментальных данных, особенно между результатами экспериментов, выполненных с помощью СВЗ, стимулировали новые измерения сечения деления на спектрометре по времени замедления нейтронов в свинце СВЗ-100. Важно подчеркнуть, что большую роль в таких измерениях играет изотопическая чистота образцов.
Америций-242m
Сечение деления 242mAm в тепловой точке (энергия нейтронов E0 = 0.0253 эВ) и во всей резонансной области энергии велико и значительно превосходит сечение захвата. По этой причине трансмутация 242mAm может проходить в тепловых реакторах. Расхождения данных экспериментов, полученных разными авторами, значительны, что проявляется в отличиях оценок разных стран, но в случае 242mAm они заметно меньше, чем в случае пороговых изотопов Am. Экспериментальные сложности измерений обусловлены высокой α-активностью образцов и значительной интенсивностью спонтанного деления. Измерения по времени пролета были проведены на электронных ускорителях в [25] (1091 точка, 1968 г.) (C.D. Bowman, Ливермор) в области энергии 0.02 эВ–5.7 МэВ, в [26] (1768 точек, 1983 г.) (J.W.T. Dabbs, Ок-Ридж) в области энергии 0.0046 эВ–100 кэВ, в [27] (1278 точек, 1984 г.) (J.C. Browne, Ливермор) в области энергии 0.001 эВ–18 МэВ.
Средневзвешенное сечение деления в тепловой точке σ0 по всем измерениям равно 6408 ± 212 б, рекомендованное ENDF/B-VII значение 6416 б согласуется с оценкой среднего и близко к данным 6329 ± 320 б, полученным методом времени пролета [27]. Среднее значение приведенного поперечного сечения σ0E0½ = 1020 ± 34 б∙эВ1/2.
В [24, 28] на спектрометре по времени замедления нейтронов в свинце второго поколения (СВЗ-50, НИЦ “Курчатовский институт”) в области энергии 4.65 эВ–21.5 кэВ получено 11 точек (1987 г.). Данные [26, 27] наиболее полные, но между ними имеется систематическое расхождение (~20%). Результаты, полученные на СВЗ-40 (KULS, 2001 г.), в сочетании с тепловой колонной и времяпролетной установкой [29] согласуются с данными [26] в области энергии выше 80 эВ, а ниже 1 эВ они ближе к результатам [27]. Данные, полученные на СВЗ-50 [28], выпадают из общего поведения и расходятся примерно в полтора раза. Оценка ENDF/B-VII.0 [30] опирается на результаты [27]. Для уточнения данных была поставлена задача измерений на СВЗ-100.
Резонансный интеграл измеряли только один раз [31], и он подлежал уточнению. Некоторые резонансные параметры получены на основе результатов Брауна измерения сечения деления, но плотность уровней велика. Для уточнения параметров первого резонанса необходимы прецизионные эксперименты.
Америций-243
Основная информация о сечении деления в резонансной области энергии нейтронов получена методом времени пролета. Для энергии выше 49 эВ данные получены в [32] (бомбовый взрыв, Лос-Аламос, США). Пролетная база 214 м. Средняя погрешность 20%. В области энергии 5–250 кэВ имеются результаты измерений в Карлсруэ (Германия) на электростатическом ускорителе относительно сечения деления 235U с погрешностью 8–10%. Использовали образец чистоты 99.82% массой 0.97 г [33].
В Бельгии измерения сечения 243Am(n,f) относительно сечения деления 235U проведены на электростатическом ускорителе в области энергии 0.33–10 МэВ и линейном ускорителе электронов GELINA в области 1 эВ–1.5 МэВ. Использовали два образца высокой чистоты (99.961%) массой 248.4 и 114 мкг. Для 31 резонанса найдены делительная площадь и ширина, и вычислен резонансный интеграл деления [34].
Измерения сечения 243Am(n,f) в широкой области энергии 0.05 эВ–10 кэВ выполнены в [35] в экспериментах по делению на СВЗ-40 (KULS) относительно стандарта (ENDF/B-VI) 235U. Масса мишени 134 мкг (99.96%), точность полученных величин (с учетом нормировки) от 4.5 до 7% в области 0.7 эВ–15 кэВ и хуже 20% при малой энергии. Измерено также сечение деления 243Am в тепловом спектре реактора (E0 = 0.0253 эВ).
Имеется расхождение между различными оценками резонансных параметров, опирающимися на результаты разных измерений [13]. Рекомендованные данные библиотек ENDF/B-VII (США) [30], РОСФОНД (ФЭИ) и JENDL-4.0 (Япония) опираются на разные тепловые сечения. Сравнение результатов экспериментов показало, что эксперимент в Киото на СВЗ-40 (KULS) [35], спектрометре по времени замедления в свинце второго поколения, оказался критичным для создания файлов рекомендованных сечений.
Для уточнения параметров первых резонансов, которые вносят существенный вклад в захват (доминирующий процесс для этого изотопа), были проведены эксперименты на СВЗ-100 в доступной для измерений резонансной области энергии.
СВЗ-100 ИЯИ РАН. МЕТОД ИЗМЕРЕНИЙ И ОБРАБОТКИ ДАННЫХ
Идея спектрометра по времени замедления в свинце предложена в [36]. Первый такой спектрометр массой 110 т был создан в ФИАН им. П.Н. Ле- бедева в 1953 г. с импульсным источником нейтронов на основе реакции T(d,n)4He [37]. Физические основы метода спектрометрии по времени замедления в свинце получили дальнейшее развитие и реализацию в [38, 39].
Следующее поколение спектрометров работало на фотонейтронах от электронного пучка: установки RINS (Rensselaer Polytechnic Institute, Трой, США – спектрометр, известный как Rensselaer Intense Neutron Source, 1975 г., 75 т), спектрометр на ускорителе “Факел” ИАЭ им. И.В. Курчатова (Москва, 1984 г., 50 т), KULS (Япония, 1993 г., 40 т).
В современных спектрометрах по времени замедления в свинце третьего поколения источником нейтронов служит реакция скалывания, инициируемая импульсным пучком протонов. Это установки LSDS LANSCE (США, 2003 г., 19.5 т) и СВЗ 100 ИЯИ РАН (Москва, 2003 г., 100 т).
Исследуемая область энергии нейтронов 0.1 эВ–20 кэВ – типичный (основной) рабочий диапазон спектрометров по времени замедления в свинце [37, 40]. Даже при невысоком энергетическом разрешении (∆E/E ≅ 0.35) они надежно выделяют промежуточные резонансы в сечении подбарьерного деления [41], а их высокая светосила (спектрометр RINS) позволила измерить сверхмалые сечения на уровне меньше 1 мкб для 232Th [42] и зарегистрировать p-вибрационный резонанс при энергии 5 кэВ, который не определялся времяпролетным спектрометром.
Подробное описание СВЗ-100 ИЯИ РАН, детекторов (пропорциональных счетчиков), их калибровка и особенности работы в условиях сверхинтенсивных загрузок систем анализа и регистрации сигналов, а также закономерностей процесса замедления нейтронов в тяжелой среде содержится в [10]. Описание физики процесса замедления нейтронов в свинце и его развитие во времени дано в [43].
Экспериментальная техника описана в [44]. Временные спектры событий деления измеряли с помощью помещенных в рабочих каналах спектрометра СВЗ-100 ИЯИ РАН быстрых многосекционных ионизационных камер деления, на электроды которых нанесены слои делящегося исследуемого изотопа, а также слои с изотопами 235U и 239Pu в качестве мониторов потока нейтронов. Эффективность регистрации актов деления ~98%. Детекторы осколков деления (камеры деления) были разработаны и изготовлены в ГНЦ РФ–ФЭИ. Для контроля формы импульса протонного пучка во время эксперимента использовали камеру деления со слоем 238U, поскольку реакция 238U(n, f) является пороговой, и ее сечение деления быстро спадает с уменьшением энергии нейтронов.
Регистрирующая электронная многоканальная система сбора, накопления и первичной обработки информации на основе оцифровки сигналов, поступающих от детекторов осколков деления и счетчиков (n,γ), была создана и реализована сотрудниками ИЯИ РАН. Система позволила осуществлять временную привязку физических измерений к импульсу протонного пучка линейного ускорителя и мониторинг стабильности нейтронного потока.
Совершенствование методики измерений и обработки данных было осуществлено в предшествующем эксперименте ИЯИ–ФЭИ на СВЗ-100 по измерению сечения деления 236U в области энергии нейтронов 0.001–20 кэВ. Результаты опубликованы в [44]. Определены величины интеграла для резонансов при энергии 5.45 эВ и 1.28 кэВ и оценены их делительные ширины. Подтверждена промежуточная структура в сечении подбарьерного деления 236U(n,f). Проведенный анализ позволил уточнить имеющиеся теоретические оценки параметров связи состояний клас- са II с компаунд-уровнями делящегося ядра. Также было измерено сечение деления 238U(n,f) и оценен порог чувствительности СВЗ-100 к малым сечениям деления.
Энергия протонного пучка линейного ускорителя протонов ИЯИ РАН в проводимых экспериментах 209 МэВ, ток пучка в импульсе ~5–10 мА, длительность импульсов изменялась согласно программе эксперимента от 0.3 до 4.0 мкс (0.3, 0.5, 1.0, 2.0, 4.0), частота следования сгустка протонов 50 Гц.
Основные измерения сечений деления проводили при длительности импульса протонов 1.0 мкс и частоте 50 Гц. При других длительностях импульсов протонного пучка, указанных выше, были проведены короткие серии пробных измерений для оценки эксперимента.
Первый этап измерений включал калибровку рабочих каналов спектрометра СВЗ-100 с целью определения соотношения время замедления–энергия нейтронов, ключевой характеристики спектрометров по времени замедления нейтронов в свинце, с использованием образцов с сильными резонансами в резонансной области, имеющих большие сечения захвата. Это изотопы 56Fe, 55Mn, 59Co, 63Cu, 65Cu, 107Ag, 109Ag, 111Cd, 115In, 181Ta, 197Au c хорошо выделенными резонансами в интервале энергии от 1.5 до 1150 эВ. Измерения выполняли с помощью счетчика (n,γ), а также камеры деления со слоем 240Pu с использованием для этой цели резонансов 1, 20 и ~750 эВ в 240Pu. Также были исследованы временные зависимости потока нейтронов с помощью камер деления со слоями 235U и 239Pu, которые в основных измерениях сечений деления были мониторами.
Следующий этап включал измерение временных и амплитудных спектров для ядер 241Am, 242mAm, 245Cm, 246Cm и исследование подбарьерного деления на ядрах 236U и 238U [44]. Информация для ядер 242mAm и 245Cm была получена с удовлетворительной статистической точностью 1–3% в области энергии нейтронов от 10 эВ до 20 кэВ. [11]. Для ядер 241Am и 246Cm была получена предварительная информация.
Результаты обработки полученных спектров и сравнение с имеющимися данными измерений на спектрометре второго поколения СВЗ-75 RINS показали, что СВЗ-100 ИЯИ РАН обладает лучшими спектрометрическими свойствами, что стало основанием для реализации на нейтронном спектрометре СВЗ-100 ИЯИ РАН совместно с ГНЦ РФ “Физико-энергетический институт” программы измерения сечений деления младших актиноидов. Программа предусматривала измерение сечений деления резонансными нейтронами изотопов 241Am, 242mAm, 243Am, 243Cm, 244Cm, 245Cm, 246Cm, 247Cm, 248Cm. Была поставлена задача получения результатов, обеспечивающих для непороговых нуклидов 242mAm, 243Cm, 245Cm, 247Cm достижение статистической точности на уровне, близком к 1% и менее, а для пороговых нуклидов 241Am, 244Cm, 246Cm, 248Cm – порядка 5%.
Исследовали высоко активные и спонтанно делящиеся изотопы сверхвысокой чистоты. В качестве детекторов осколков деления использовали быстрые ионизационные камеры с делящимися слоями массой от 4 до 20 мкг. Для мониторинга потока нейтронов и калибровки временной шкалы нейтронного спектрометра применяли камеры деления с 235U, 239Pu и 240Pu.
Мишени младших актиноидов, исследуемые в многосекционных ионизационных камерах делений, были изготовлены из материала высокой чистоты в процессе двойного электромагнитного разделения, проведенного в РФЯЦ–ВНИИЭФ (Саров). Сечение деления 239Pu использовали в качестве стандарта. В табл. 1 содержатся данные об изотопном составе использованных мишеней америция.
Таблица 1. Изотопный состав мишеней из Am (ат. %) [14]
Мишень | Нуклид, % | Масса на момент облучения, мкг | ||||
237Np | 239Pu | 241Am | 242mAm | 243Am | ||
241Am на момент измерений | 4.136 | – | 95.864 | менее 3×10–4 | менее 3×10–4 | 6.41 ± 0.11 (239Pu: 22.4) |
242mAm – исходный (поправка на момент измерений) | 8.8 × 10–4 | – | 13.77 ± 0.09 (–0.64%) | 80.89 ± 0.09 (–2%) | 5.34 ± 0.03 (–0.038%) | 3.44 ± 0.11 (239Pu: 18.9) |
243Am на момент измерений | – | 0.0670 | 0.0045 ± 0.002 | 0.0035 ± 0.002 | 99.925 ± 0.003 | 4.70 ± 0.14 (239Pu: 16.3) |
Относительно 239Pu | Сверхвысокая чистота по основному изотопу: 99.9966 % | |||||
Приведенное сечение деления исследуемых младших актиноидов σ(E)E1/2 измеряли относитеьно усредненного сечения деления 239Pu. Среднее приведенное сечение деления для 239Pu рассчитывали с помощью компьютерной программы моделирования СВЗ-100 на основе метода Монте-Карло [45], позволяющей вычислять временную зависимость средней энергии нейтронов E(t) и временные спектры событий деления N(t) для заданной ширины временного канала. Параметры модели [45] были выведены в соответствии с требованием оптимального воспроизведения измеряемого временного спектра для стандартных сечений деления 235U и 239Pu численным моделированием с использованием файлов библиотеки оцененных данных ENDF/B-VII.1 [46]. Модель СВЗ 100 обеспечила возможность тестирования файлов оцененных нейтронных сечений по измеренным временным спектрам.
Средние значения приведенного поперечного сечения исследуемых изотопов σ(E)E1/2 получали из измеренных временных спектров N(t) событий деления с использованием соотношения:
(1)
где знак усреднения ⟨…⟩ соответствует энергии нейтрона в окрестности средней энергии нейтронов (t) в момент времени замедления t. Индекс x = 9 обозначает данные стандартного образца 239Pu, nx – число атомов в образце x, εx – эффективность обнаружения фрагментов деления в образце х, ⟨σ9(E)E1⁄2⟩ – среднее приведенное сечение деления 239Pu по данным библиотеки ENDF/B-VII.0. Отношение Nx(t)/N9(t) вычисляли на основе данных измеренного временного спектра, значение (n9/nx) оценивали по данным α-активности, (ε9⁄εx) определяли в результате анализа измеренного амплитудного спектра с учетом поправок на потерю фрагментов деления в расщепляющихся слоях. Значения (t) и ⟨σ9(E)E1⁄2⟩ находили в рамках упомянутой выше компьютерной модели СВЗ-100 (в дальнейшем изложении знак усреднения для простоты опускаем).
Временную шкалу преобразовывали в шкалу энергии нейтронов с помощью соотношения [43, 45]:
(2)
где константа замедления K слабо меняется от изотопа к изотопу. Например, для 244Cm 246Cm K = 169.2 кэВ∙мкс2 и t0 = 0.35 мкс, а для 243Cm K = 168.8 кэВ∙мкс2 и t0 = 0.85 мкс. Параметр eT изменяется от 20 мэВ до kT в зависимости от времени [14]. Здесь учтено, что временные спектры событий деления при больших временах замедления содержат важную информацию о форме сечения деления в эпитепловой области энергии нейтронов.
Для расширения диапазона измерений на СВЗ-100 до области тепловых нейтронов была разработана техника измерений [47], которая регистрировала события деления во всем интервале замедления нейтронов. Регистрировали как временные, так и амплитудные значения сигналов событий деления.
ОСНОВНЫЕ РЕЗУЛЬТАТЫ ИЗМЕРЕНИЙ СЕЧЕНИЙ ДЕЛЕНИЯ ИЗОТОПОВ АМЕРИЦИЯ И КОМПЛЕМЕНТАРНЫЕ ДАННЫЕ
Америций-241
Временные спектры событий деления измерены с помощью быстрой многосекционной ионизационной камеры деления со слоями 241Am и 239Pu относительно сечения деления 239Pu в качестве стандарта. Массы мишеней 241Am (3.70 мкг) и 239Pu (22.4 мкг) измерены с точностью 3% по α-активности слоев на полупроводниковом спектрометре. Точность измерения отношения α-активности исследуемых слоев 1.5%. Отношение числа ядер в слоях равно nAm/nPu = 0.164 ± 0.0025. Измерено сечение деления в области энергии нейтронов 0.2 эВ–10 кэВ.
Зависимость рассчитанного сечения деления σ(E)E1/2, скорректированного на вклад примеси 237Np, от энергии нейтронов в области 0.3 эВ–10 кэВ представлена в [16]. Сечение деления 237Np, усредненное по функции разрешения спектрометра СВЗ-100, рассчитано на основе библиотеки ENDF/B-VII.1. Средняя относительная статистическая погрешность 4.8 ± 0.11% при среднем статистическом разбросе 2%.
В области энергии ниже 20 эВ сечения деления, измеренные с помощью спектрометров СВЗ-40 (KULS), СВЗ-50 (РНЦ КИ) и СВЗ-100, повторяют резонансную структуру усредненного сечения деления на основе оценки ENDF/B-VII.1. С увеличением массы свинца улучшается энергетическое разрешение, как следствие, имеем более четкую резонансную структуру измеренных сечений.
В области энергии от 100 эВ до 1 кэВ абсолютные данные, полученные с помощью спектрометра СВЗ-100, занимают промежуточное место между результатами СВЗ-40 KULS [22] и СВЗ-50 [24]. Данные ИЯИ–ФЭИ в области энергии ниже 400 эВ повторяют резонансную структуру сечения вынужденного деления 241Am по оценке ENDF/B-VII.1, усредненного по функции разрешения спектрометра СВЗ-100. В области выше 400 эВ и ближе к 10 кэВ сечения имеют более высокие значения по сравнению с оценкой. В области от 1 до 10 кэВ они близки к данным KULS и к усредненной оценке ENDF/B-VII.1.
Измерение сечения подбарьерного деления 241Am в области энергии нейтронов ниже 20 эВ показало, что энергетическое разрешение спектрометра ΔE превышает среднее расстояние между резонансами. В этих условиях анализ резонансной структуры сечения позволил найти площадь делительных резонансов Af из требования устойчивости решения [15, 16]:
(3)
где i – номер резонанса, σ* = (4π/k2)gJΓn/Γ, gJ = (2J + 1)/[2(2I + 1)]. Здесь σ* – полное сечение в максимуме резонанса, Γf –делительная ширина, k – волновое число нейтрона в центре масс, gJ – статистический множитель, I – спин ядра мишени, J – полный спин компаунд-ядра.
Соответствующая оценка разрешения СВЗ-100 ∆E/E дает значение 0.336 при энергии 10 эВ и 0.733 при 0.35 эВ. Для осуществления процедуры и оптимизации априорной информации использовали рекомендованные оценки резонансных параметров ENDF/B-VII.1 [48]. Результаты анализа 26 нижних резонансов (ниже 16 эВ), включая площадь нижних s-нейтронных резонансов, оценки относительной априорной и апостериорной погрешности и полной апостериорной погрешности приведены в [16]. Для 18 резонансов были получены новые данные о делительной площади. Суммарная площадь резонансов оказалась на 5% ниже оценки ENDF/B-VII.1 (т.е. в пределах систематической погрешности). Эти данные существенно дополнили информацию о резонансных параметрах.
Восстановленное теоретическое сечение деления в тепловой точке (Е0 = 0.00253 эВ) σ0 = 3.088 б на 1% ниже оценки ENDF/B-VII.1 (3.122 б) и поддается коррекции увеличением делительной ширины отрицательных резонансов.
Измеренные сечения позволили оценить делительную ширину Гf и величину резонансного интеграла деления If:
(4)
где Е1, Е2 – нижняя и верхняя границы кадмиевого фильтра и энергетического спектра соответственно. Полученное значение If = 8.91 ± 0.45 б (Е1 = 0.5 эВ, Е2 = 10 кэВ) сравнимо с соответствующей оценкой ENDF/B-VII.1 (8.386 б) и подтвердило с лучшим разрешением и с более четкой резонансной структурой данные, полученные на СВЗ KULS в Киото. Показана возможность проявления промежуточной структуры в делительной силовой функции. Проведена оценка ее характеристик [15].
Результаты измерений приведенного сечения деления σ(E)E1/2 изотопа 241Am и сравнение с рекомендованными значениями представлены на рис. 1. За период, прошедший после выполнения на спектрометре по времени замедления нейтронов в свинце СВЗ-100 цикла совместных работ ИЯИ–ФЭИ, на установке CERN n_TOF были получены новые данные измерения сечения нейтронного деления ядер 241Am. Опубликованы предварительные результаты эксперимента [49]. Отмечается, что исследование деления 241Am сложно из-за высокой удельной активности изотопа, которая составляет 127 МБк/мг, и его быстро растущего поперечного сечения выше порога деления. Результаты предыдущего измерения на n_TOF в 2013 г. [50] в первой экспериментальной зоне ЦЕРН (EAR-1) хорошо согласовались с оценкой ENDF/B-VII.1 и с расчетными значениями при использовании кода EMPIRE. Поперечное сечение деления 241Am было измерено относительно стандартного поперечного сечения деления 235U при энергии нейтронов между 0.5 и 20 МэВ. Следует подчеркнуть, однако, что из-за отмеченной авторами низкой статистики результаты приведены только выше порога деления и в довольно крупной сетке разбиения энергетической области. Недостаточная точность и возросшие требования к ядерным данным стимулировали постановку эксперимента с использованием новых возможностей.
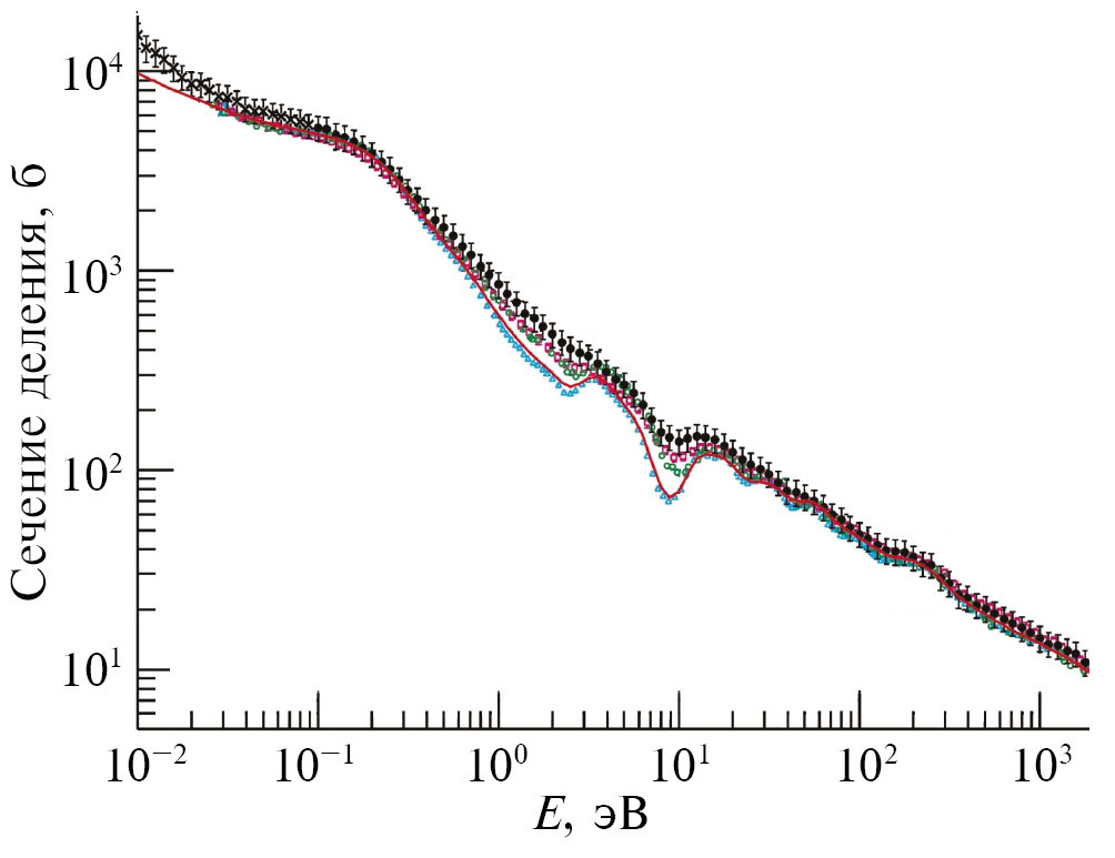
Рис. 1. Приведенное сечение σ(Е)Е1/2 деления 241Am в зависимости от энергии нейтронов Е в области ниже 30 эВ (а) 80–40 кэВ (б): квадраты – данные ИЯИ–ФЭИ [14, 15]; кружки – Киото (KULS) [22]; треугольники вверх – РНЦ КИ (СВЗ-50) [24]; треугольники вниз – модифицированные данные РНЦ КИ. Сплошная линия – оценка ENDF/B-VII.I, усредненная по функции разрешения СВЗ-100 (ΔЕ/Е = 0.28).
Поперечное сечение 241Am(n,f) было измерено во второй экспериментальной зоне EAR-2 установки n_TOF в ЦЕРНе с детекторами Микромегас (Micro-MeshGaseousStructure). Данные получены для диапазона энергии от тепловой до МэВ. Предварительные результаты в околопороговом энергетическом интервале показывают хорошее согласие с рекомендованными данными библиотек ENDF/B-VIII.0 и JEFF-3.3 (рис. 2). На следующих этапах анализа данных предусмотрено точное определение ряда корректирующих поправок, необходимых для расчета поперечного сечения, удовлетворяющего требованиям точности для перспективных разработок ядерной энергетики.
Рис. 2. Предварительные экспериментальные данные [49] (n_TOF, CERN) измерения сечения деления ядер 241Am(n,f) в диапазоне энергии от нескольких мэВ до МэВ при 60% полной статистики (черные линии и кружки с указанием погрешности). Хорошее согласие с рекомендованными значениями библиотек ENDF/B-VIII.0 (толстая линия 1) и JEFF-3.3 (тонкая линия 2) в околопороговом энергетическом интервале. Наблюдается область неразрешенных резонансов (энергия больше 150 эВ). Для разрешенных резонансов (меньше 150 эВ) заметно перекрытие рекомендованных данных и разброс измеренных значений.
Америций-242m
Исследуемое состояние ядро–мишень является долгоживущим изомерным состоянием ядра 242Am. На спектрометре по времени замедления нейтронов в свинце СВЗ-100 ИЯИ РАН измерено сечение деления ядер 242mAm в области энергии нейтронов 0.03 эВ–20 кэВ. Динамический диапазон спектрометра класса СВЗ был впервые расширен до области эпитепловой энергии нейтронов (анализируемая область времен замедления нейтронов до 6 мс).
Результаты измерения сечений деления СВЗ-100 в эпитепловой области энергии нейтронов 30–50 мэВ хорошо согласуются с японскими данными [29] и времяпролетного эксперимента (Ок-Ридж, электронный ускоритель) [26]. Экстраполяция данных СВЗ-100 в тепловую точку дает значение 1036 ± 35 б∙эВ1/2 [11], что на ~7% выше оценки ENDF/B-VII. Приведенная ошибка является статистической.
Данные измерений на СВЗ-100 в резонансной области энергии нейтронов приведены в [11]. Для сравнения с ними результаты других измерений усреднены по функции разрешения спектрометра СВЗ-100 [44]. Сопоставление показывает, что в области энергии 20 эВ – 1 кэВ значения ИЯИ–ФЭИ лежат между данными времяпролетных экспериментов [25, 26]. Выше 1 кэВ результаты СВЗ-100 ближе к данным [26] (рис. 3).
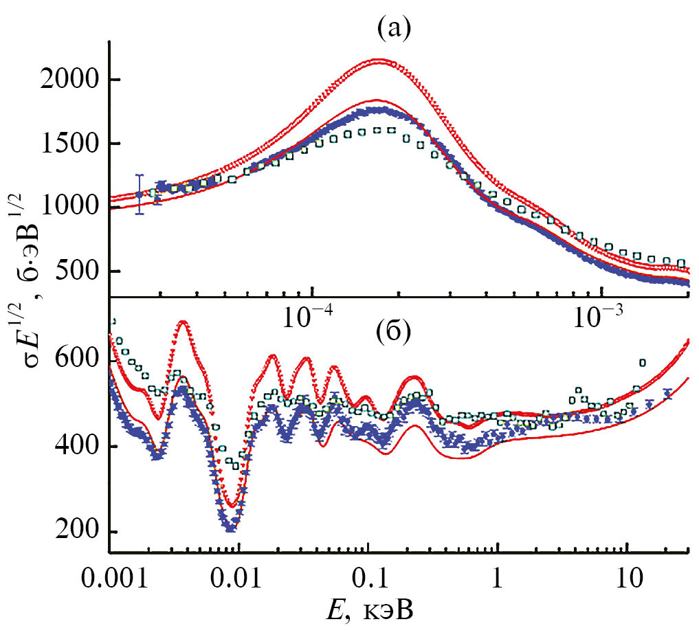
Рис. 3. Приведенное сечение σ(Е)Е1/2 деления ядер 242mAm в зависимости от энергии нейтронов Е в области ниже 2 эВ (а) и 1 эВ – 30 кэВ (б): кружки – данные ИЯИ–ФЭИ [14]; линия – данные ENDF/B-VII; треугольники – результаты Ок-Риджа [26]; квад- раты – данные СВЗ-40 [29]. Значения ENDF/B-VII и [26] усреднены по функции разрешения СВЗ-100 (оценка ENDF/B-VII опирается на данные [27]).
Измерения японской группы (СВЗ-40, KULS) [29] показали сильный резонанс при энергии 4.5 кэВ, который не проявлялся в других работах. При этом энергетическое разрешение установки СВЗ-40 заметно хуже, чем СВЗ-100. Отношение пик/провал для интерференционного минимума при энергии ~9 кэВ в [29] равно 1.5, тогда как для СВЗ-100 оно составляет 2.4.
Данные СВЗ-100 демонстрируют промежуточную структуру в сечениях для ядер, деление составного ядра у которых проходит существенно выше барьера деления. Оценены резонансные параметры s-нейтронов (эВ) ядра мишени 242mAm для E < 10 эВ, а также средние резонансные параметры s-нейтронов (эВ) ядра мишени 242mAm в области неразрешенных резонансов E > Es при энергии Es = 43 эВ. Проведенное сравнение с имеющимися результатами позволило выявить недостатки рекомендованных данных ENDF/B VII о сечениях деления ядер.
Несколько позже поперечные сечения деления нейтронами изотопов 237Np, 242mAm и 245Cm были измерены в области энергии нейтронов от 0.1 эВ до 2 кэВ с использованием нейтронного спектрометра по времени замедления в свинце СВЗ-40 (KULS) в Научно-исследовательском реакторном институте Киотского университета [51] (2012 г.). Экспериментальные неопределенности для сечений деления 242mАm и 245Cm составляли, соответственно, величины порядка 14 и 9% во всем энергетическом диапазоне.
Авторы [51] отмечают, что в энергетической области 0.3–30 эВ данные [24, 29, 11] для 242mАm лежат несколько ниже, чем результаты, полученные на СВЗ-40 (KULS). В этой энергетической области оценка JENDL-3.3 (рис. 4, сплошная кривая) близка к результатам ИЯИ–ФЭИ [11], которые имеют меньшие значения, чем цитируемые данные KULS и других экспериментов. Полученное поперечное сечение для 242mAm находится в полном согласии с данными [24, 29], и ИЯИ–ФЭИ [11] в энергетической области ниже 0.3 и выше 30 эВ. В области энергии 0.3–30 эВ результаты KULS немного превышают результаты предыдущих экспериментов.
Рис. 4. Сравнение результатов измерения сечения деления 242mAm(n,f) c данными других спектрометров и рекомендованными данными JENDL-3.3 (сплошная линия), усредненными с учетом разрешения СВЗ [51]: закрашенные кружки – СВЗ-40 (KULS, 2012, [51]); пустые кружки – СВЗ-50 (ИАЭ, [24]); квадраты – СВЗ-40 (KULS, 2001, [29]); треугольники – СВЗ-100 (ИЯИ–ФЭИ, [11]).
Поперечные сечения нейтронно-ядерных взаимодействий с изотопом 242mAm были измерены в Лос-Аламосе (Los Alamos Neutron Science Center) с использованием детектора DANCE (Detector for Advanced Neutron-Capture Experiments) и детектора фрагментов деления [52]. Определено новое поперечное сечение захвата нейтронов, и установлена абсолютная шкала в соответствии с результатом одновременного измерения известного поперечного сечения деления 242mAm(n,f). Поперечное сечение 242mAm(n,γ) измеряли при энергии нейтронов в диапазоне от тепловой энергии до 1 эВ, выше этого значения качество данных было хуже вследствие лабораторных ограничений. Полученное новое поперечное сечение деления 242mAm было привязано к результатам ENDF/B-VII.1 для установления абсолютной шкалы, и она хорошо согласуется с данными [27] (1984 г.) для поперечного сечения деления σ(n,f) в диапазоне от тепловой энергии до 1 кэВ. Абсолютная шкала поперечного сечения 242mAm(n,f) была получена путем нормировки измеренного относительного поперечного сечения деления на рекомендованное (оцененное) поперечное сечение [46] для энергии нейтронов E от тепловой до примерно 100 эВ. В оценке ENDF/B-VII.1 [46] поперечное сечение 242mAm(n,f) найдено на основе анализа, опирающегося на данные [53]. Экспериментальные данные [27, 54] из-за их относительно высокой точности доминируют в оцениваемом поперечном сечении [46, 53]. Полученное в [52] экспериментальное значение поперечного сечения деления в тепловой точке σ0(n,f) = 6200 ± 200 б совпадает с оценкой, приведенной в [48].
Америций-243
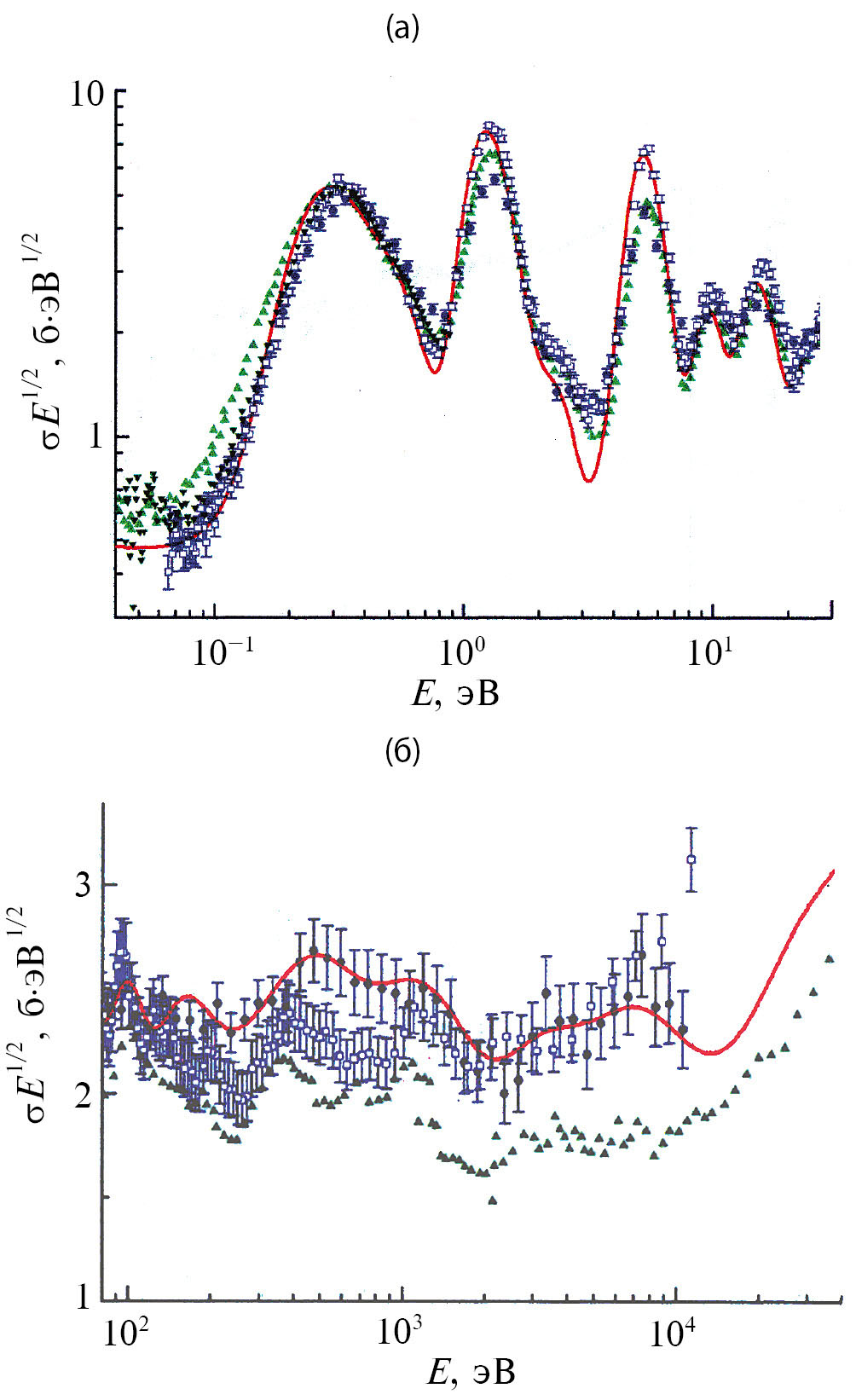
В области энергии выше 1 эВ данные измерений на СВЗ-100 [13] (рис. 5) заметно расходятся с результатами, полученными на спектрометре KULS [35]. Данные СВЗ-100 имеют более четкую резонансную структуру с существенно более глубокими провалами на кривой сечения. Площадь под пиком при энергии 1.41 эВ в 1.5 раза больше, чем в случае KULS. В случае СВЗ-100 нет пика при энергии 708 эВ в отличие от KULS. Уровень фонового сечения в данных СВЗ-100 заметно ниже.
Рис. 5. Приведенное сечение σ(Е)Е1/2 деления 243Am в зависимости от энергии нейтронов Е: квадраты – данные ИЯИ–ФЭИ [13, 14]; треугольники – данные KULS [35]; тонкая линия – оценка ENDF/B7; толстая линия – оценка JENDL-4.0; данные усредненные по функции разрешения СВЗ-100.
В области энергии ниже 60 эВ резонансная структура в данных СВЗ-100 показывает явную корреляцию с распределением величин площади резонанса Af , измеренных в Гиле [34]. Среднее сечение деления в области энергии 0.03–0.26 эВ равно 17.9 ± 3.0 б∙эВ1/2, что превышает рекомендованное значение в тепловой точке на величину меньше 2σ. Это превышение показывает, что примесь изотопа 242mAm, вклад которой в этой области наибольший, меньше 0.5 × 10–5.
Сравнение с рекомендованными значениями показывает, что данные СВЗ-100 гораздо лучше согласуются с оценкой JENDL-4.0, чем с оценкой ENDF/B VII (рис. 5). Статистическая погрешность составляет 4–8% для энергии E > 0.8 эВ и близка к 100% при энергии ~0.3 эВ. В области энергии 20–200 эВ рекомендованные оценки противоречат данным СВЗ-100.
Данные СВЗ-100 о нейтронном сечении позволили оценить резонансный интеграл деления If в интервале от Е1 = 0.5 эВ до Е2. При Е2 = 11 кэВ значение 2.46 ± 0.12 б подтверждает соответствующую оценку JENDL-4.0, а значение интеграла при оценке ENDF/B VII представляется заниженным. Интегрирование результатов измерений в Гиле [34] от 0.5 эВ до 30 кэВ дает величину 3.05 ± 0.15 б, которая на 4σ превышает оценку ИЯИ–ФЭИ. Также слишком большими представляются реакторные (интегральные) величины [31, 55].
Таким образом, на СВЗ-100 получены новые данные о сечении вынужденного деления в области энергии нейтронов ниже 10 кэВ и резонансных параметрах для ядра 243Am. Они указывают на возможность проявления промежуточной структуры в сечении подбарьерного деления, получены оценки ее параметров. Оценки площади Af и делительной ширины Γf, для нижних s-резонансов существенно дополнили информацию.
В докладе Рабочей группы по международному сотрудничеству в области оценки ядерных данных, Комитета по ядерной науке (Агентство по ядерной энергии Организации экономического сотрудничества и развития) [56] результаты измерений сечения деления 243Am на СВЗ-100 упоминаются наряду с данными [57, 58] в связи с недостаточными, по мнению авторов доклада, значениями оценок ширины нейтронного резонанса Γn при энергии 1.35 эВ приводимых в этих трех работах. Предполагается, что такой резонанс как наиболее сильный должен вносить определяющий вклад в значение резонансного интеграла (2250 ± 300 б, [59]). Рекомендованные данные ENDF/B-VII.1 и JENDL-4.0 не снимают это противоречие. Указано на необходимость уточнения оцененного поперечного сечения 243Am.
Публикация [60] посвящена результатам измерения сечения захвата 243Am на времяпролетной установке в ЦЕРНе. Из-за неопределенности погрешностей измерений, связанных с неоднородностями образца, результаты обработаны и приведены для энергии нейтронов выше 3 эВ. Указанные выше расхождения экспериментальных и рекомендованных данных вблизи резонанса 1.35 эВ требуют дополнительного исследования нейтронных сечений 243Am.
ЗАКЛЮЧЕНИЕ
Результаты измерений сечений деления изотопов америция в области энергии нейтронов ниже 100 кэВ на спектрометре по времени замедления в свинце СВЗ-100 в совместной программе исследований младших актиноидов ИЯИ РАН и ГНЦ РФ–ФЭИ частично восполнили недостаток существовавших экспериментальных данных, выявили неточности и противоречия баз ядерных данных.
Получены новые данные о сечениях деления 241Am(n,f), 242mAm(n,f), 243Am(n,f) в области энергии нейтронов от 0.02 эВ до 20 кэВ. Впервые динамический диапазон СВЗ-100 был расширен до области эпитепловой энергии нейтронов. Анализ данных, полученных на СВЗ-100 ИЯИ РАН, о сечениях вынужденного деления ядер америция позволил получить оценки резонансных параметров для этих ядер. Подтверждено наличие промежуточных структур в сечениях подбарьерного деления исследованных изотопов.
Полученные результаты содержат дополнительную информацию о ходе нейтронных сечений деления вблизи тепловой точки и в резонансной области энергии нейтронов. Это стало возможным за счет высокой чувствительности СВЗ-100, несмотря на низкое разрешение спектрометра. Обработка доступных результатов экспериментов других авторов, в том числе времяпролетных экспериментов с высоким разрешением, путем усреднения по спектральному разрешению СВЗ-100, позволило сопоставить информативность данных и выявить расхождения. Некоторые отличия, как показывает анализ, вызваны недостаточным учетом влияния примесей – близких по составу радиоактивных изотопов в использованных другими авторами образцах. Особое значение — это обстоятельство имеет при интерпретации результатов в резонансной области энергии нейтронов. Напомним, что в образцах изотопов, исследованных ИЯИ–ФЭИ, использовали мишени из материалов высокой чистоты, произведенных в РФЯЦ–ВНИИЭФ (Саров). Кроме того, рабочее тело СВЗ-100 содержит 100 т особо чистого свинца (уровень очистки 99.996%), что обеспечивает лучшую чувствительность этого спектрометра по сравнению с другими спектрометрами меньшей массы, содержащими менее чистый свинец.
Результаты ИЯИ–ФЭИ включены в отечественную и международные базы данных (EXFOR data: http://www.nndc.bnl.gov/EXFOR/). Работа была поддержана МАГАТЭ [12, 14]. Публикации по материалам исследований содержат необходимую для оценки результатов графическую информацию и сравнение с данными других экспериментов и рекомендованными значениями.
За время, прошедшее после публикаций результатов цикла работ ИЯИ–ФЭИ, состоялось ограниченное число новых экспериментов. Следует отметить, что в ЦЕРНе в течение ряда лет реализуется программа исследований нейтронно-ядерных взаимодействий на основе спектрометра по времени пролета CERN n_TOF [61]. Характеристики установки в сочетании с высокопроизводительными системами регистрации позволяют проводить измерения маломассивных и/или радиоактивных образцов, представляющих интерес. Основные усилия направлены на получение данных о сечениях захвата изотопов. Ожидается, что расширенные возможности комплекса позволят осуществить измерения сечения реакции деления на изотопах с высокой удельной активностью, или, иными словами, с коротким периодом полураспада. Рассматривается задача получения улучшенных данных в широком диапазоне энергии для изотопов 241Pu, 242mAm и 244Cm. Ранее выполненные измерения сечений деления нейтронами ядер 241Am [50], 243Am [62] на установке n_TOF CERN и комплексе детектирующей аппаратуры перекрывают диапазон энергии нейтронов от 0.5 до 20 МэВ и более при оцениваемой погрешности ≈ 4%. Данные для 243Am предполагается улучшить в новом эксперименте [63].
БЛАГОДАРНОСТИ
Автор выражает глубокую признательность сотрудникам Институт ядерных исследований РАН и ГНЦ РФ–ФЭИ, принимавшим участие в реализации совместных исследований. Следует особо отметить высокое качество использованных образцов актиноидов, выделенных в РФЯЦ–ВНИИЭФ (Саров), что обеспечило значимость и достоверность полученных данных. Серия исследований на СВЗ-100 ИЯИ РАН реализована при поддержке академика В.А. Матвеева.
ФИНАНСИРОВАНИЕ РАБОТЫ
Данная работа финансировалась за счет средств бюджета института (Институт ядерных исследований РАН). Никаких дополнительных грантов на проведение или руководство данным конкретным исследованием получено не было.
Конфликт интересов. Автор данной работы заявляет, что у него нет конфликта интересов.
Об авторах
Э. А. Коптелов
Институт ядерных исследований РАН
Автор, ответственный за переписку.
Email: koptelov@inr.ru
Россия, 117312, Москва
Список литературы
- Велихов Е.П., Гагаринский А.Ю., Субботин С.А., Цибульский В.Ф. Россия в мировой энергетике XXI века. М.: ИздАТ, 2006. 136 с.
- Кузьминов Б.Д., Игнатюк А.В., Манохин В.Н., Сальников О.А. // Атомная энергия. 1986. Т. 61. № 6. С. 431.
- Азизов Э.А., Гладуш Г.Г., Минеев А.Б. УТС с магнитным удержанием и разработка гибридного реактора синтез–деление на основе токамака. М.: Тровант, 2016. 320 с.
- The International Network of Nuclear Reaction Data Centers: https://www-nds.iaea.org/nrdc/
- РОСФОНД – РОСсийская библиотека Файлов Оцененных Нейтронных Данных. АО “ГНЦ РФ–ФЭИ”. https://ippe.ru
- Игнатюк А.В., Николаев М.Н., Фурсов Б.И. // Атомная энергия. 2014. Т. 116. № 4. С. 209.
- Колесов В.Ф. Электроядерные установки и проблемы ядерной энергетики. Саров: РФЯЦ ВНИИЭФ, 2013. 620 с.
- Делящиеся изомеры. // Физический энциклопедический словарь. М.: Советская энциклопедия, 1983. С. 148.
- Strutinsky V.M. // Nucl. Phys. A. 1967. V. 95. P. 420.
- Алексеев А.А., Бергман А.А., Берлев А.И., Копте- лов Э.А. Нейтронный комплекс ИЯИ РАН. Спектрометр нейтронов по времени замедления в свинце (СВЗ-100). Препринт ИЯИ РАН № 1258/2010. М.: ИЯИ РАН, 2010. 52 с.
- Алексеев А.А., Бергман А.А., Берлев А.И., Копте- лов Э.А., Самылин Б.Ф., Труфанов А.М., Фур- сов Б.И., Шорин В.С. // Атомная энергия. 2009. Т. 106. № 2. С. 106. https://doi.org/10.1007/s10512-009-9142-1
- Alekseev A.A., Bergman A.A., Berlev A.I., Koptelov E.A., Samylin B.F., Trufanov A.M., Fursov B.I., Shorin V.S. Neutron-Induced Fission Cross Section of Uranium, Americium and Curium Isotopes. Progress Report – Research Contract 14485. Coordinated Research Project on Minor Actinide Neutron Reaction Data (MANREAD). IAEA: December 2009. 22 p. https://www-nds.iaea.org/publications/indc/indc-ccp-0451
- Алексеев А.А., Бергман А.А., Берлев А.И., Копте- лов Э.А., Егоров А.С., Самылин Б.Ф., Фурсов Б.И., Шорин В.С. // Атомная энергия. 2011. Т. 111. № 6. С. 352. https://doi.org/10.1007/s10512-012-9514-9
- Alekseev A.A., Bergman A.A., Berlev A.I., Koptelov E.A., Egorov A.S., Samylin B.F., Trufanov A.M., Fursov B.I., Shorin V.S. Neutron-induced Fission Cross Sections of Am and Cm Isotopes (Final Report of RC-14485) Resonance and Fast Neutron Induced Fission Cross Sections of Americium and Curium Nuclides (Third-year Report of RC-14485) under the CRP on Minor Actinide Neutron Reaction Data (MANREAD). IAEA: January 2012. 30 p. https://www-nds.iaea.org/publications/indc/indc-ccp-0454
- Алексеев А.А., Бергман А.А., Берлев А.И., Копте- лов Э.А., Егоров А.С., Самылин Б.Ф., Фурсов Б.И., Шорин В.С. // Ядерная физика. 2014. Т. 77. № 5. С. 1. https://doi.org/ 10.1134/S1063778814050056
- Алексеев А.А., Бергман А.А., Берлев А.И., Копте- лов Э.А., Егоров А.С., Самылин Б.Ф., Фурсов Б.И., Шорин В.С. // Атомная энергия. 2014. Т. 116. № 6. С. 338. https://doi.org/10.1007/s10512-014-9872-6
- Блохин А.И., Блохин Д.А., Манохин В.Н., Митенкова Е.Ф., Новиков Н.В., Сипачев И.В., Соловьева Е.В. // ВАНТ. Сер. Ядерные константы. 2008. Вып. 1–2. С. 26.
- Bowman C.D., Coops M.S., Auchampaugh G.F., Fultz S.C. // Phys. Rev. B. 1965. V. 137. P. 326. https://doi.org/10.1103/PhysRev.137.B326
- Derrien H., Lucas B. The Total Cross-Section and the Fission Cross-Section of 241Am in the Resonance Region. Resonance Parameters. // Proc. Conf. on Nucl. Cross-Sect. and Tech. Washington, 1975. V. 2. P. 637.
- Knitter H.H., Budtz-Jorgensen C. // Atomkernenergie. 1979. V. 33. № 3. P. 205.
- Dabbs J.W.T., Johson C.H., Bemis C.E. Jr. // Nucl. Sci. Eng. 1983. V. 83. P. 22. https://doi.org/10.13182/NSE83-A17986
- Yamamoto S., Kobayashi K., Miyoshi M. et al. // Nucl. Sci. Eng. 1997. V. 126. P. 201. https://doi.org/10.13182/NSE97-A24473
- Jandel M., Bredeweg T.A., Bond E.M. et al. // Phys. Rev. C. 2008. V. 78. № 3. P. 4609. https://doi.org/10.1103/PhysRevC.78.049904
- Gerasimov V.F., Danichev V.V., Dement`ev V.N., Zenkevich V.S., Mozolev G.V. Measurement of Transuranium Isotopes Fission Cross Section with Lead Neutron Slowing-Down Spectrometer // Proc. Int. Sem. on Interactions of Neutrons with Nuclei (ISINN-5). JINR: Dubna Reports, 1997. No.e3-97–213. P. 348.
- Bowman C.D., Auchampaugh G.F., Fultz S.C., Hoff R.W. // Phys. Rev. 1968. V. 166. P. 1219. https://doi.org/10.1103/PhysRev.166.1219
- Dabbs J.W.T., Bemis C.E., Raman S. et al. // Nucl. Sci. Eng. 1983. V. 84. P. 1. https://doi.org/10.13182/NSE83-A17453
- Browne J.C., White R.M., Howe R.E. et al. // Phys. Rev. C. 1984. V. 29. P. 2188. https://doi.org/10.1103/PhysRevC.29.2188
- Герасимов В.Ф., Даничев В.В., Дементьев В.Н., Зенкевич В.С., Мозолев Г.В. // Нейтронная физика. Матер. 1 Междунар. конф. по нейтронной физике. Т. 3. Киев, 14–18 сентября 1987. М.: ЦНИИАтоминформ, 1988. С.84.
- Kai T., Kobayashi K., Yamamoto S. et al. // Annals Nucl. Energy. 2001. V. 28. P. 723. https://doi.org/10.1016/S0306-4549(00)00086-4
- Chadwick M.B., Oblozinsky P., Herman M. et al. // Nucl. Data Sheets. 2006. V. 107. P. 2931. https://doi.org/10.1016/j.nds.2006.11.001
- Журавлев К.Д., Крошкин Н.И., Четвериков А.П. // Атомная энергия. 1975. Т. 39. № 4. С. 285.
- Seeger P.A. Fission Cross Sections from Pommand. Los Alamos Scientific Lab. Report. 1970. LA-4420. 138.
- Wisshak K., Kaeppeler F. // Nucl. Sci. Eng. 1983. V. 85. P. 251. https://doi.org/10.13182/NSE83-A17317
- Knitter H.H., Budtz-Jorgensen C. // Nucl. Sci. Eng. 1988. V. 99. P. 1. https://doi.org/10.13182/NSE88-A23540
- Kobayashi K., Kai T., Yamamoto S. et al. // Nucl. Sci Techn. 1999. V. 36. № 1. P. 20. https://doi.org/10.1080/18811248.1999.9726178
- Лазарева Л.Е., Фейнберг Е.Л., Шапиро Ф.Л. // ЖЭТФ. 1955. Т. 29. С. 381.
- Bergman A.A., Isakov A.I., Murin I.D., Shapiro F.L., Shtranikh I.V., Kazarnovsky M.V. Lead Slowing-Down Neutron Spectrometry. // Proc. 1st Int. Conf. on Peaceful Uses At. Energy. 1955. V. 4. P. 135.
- Попов Ю.П. // ЭЧАЯ. 1995. Т. 26. С. 1503.
- Попов. Ю.П. // ЭЧАЯ. 2003. Т. 34. С. 448.
- Исаков А.И., Казарновский М.В., Медведев Ю.А., Метелкин Е.В. Нестационарное замедление нейтронов. Основные закономерности и некоторые приложения. М.: Наука, 1984. 264 с.
- Slovacek R.E., Cramer D.S., Bean E.B., Valentine J.R., Hockenbury R.W., Block R.C. // Nucl. Sci. Eng. 1977. V. 62. P. 455. https://doi.org/10.13182/NSE77-A26984
- Nakagome Y., Block R.C., Slovacek R.E., Bean E.B. // Phys. Rev. C. 1991. V. 43. № 4. P. 1824. https://doi.org/10.1103/PhysRevC.43.1824
- Латышева Л.Н., Соболевский Н.М., Коптелов Э.А., Илич Р.Д. // Поверхность. Рентген., синхротр. и нейтрон. исслед. 2015. № 11. С. 9. https://doi.org/10.1134/S1027451015060142
- Алексеев А.А., Бергман А.А., Берлев А.И., Копте- лов Э.А., Самылин Б.Ф., Труфанов А.М., Фурсов Б.И., Шорин В.С. // Ядерная физика. 2008. Т. 71. № 8. С. 1379. https://doi.org/10.1134/S1063778808080048
- Шорин В.С. // ВАНТ. Сер. Ядерные константы. 2008. Вып. 1–2. С. 60 .
- Chadwick M.B., Herman M., Oblozinsky P. et al. // Nucl. Data Sheets. 2011. V. 112. Iss. 12. P. 2887. https://doi.org/10.1016/j.nds.2011.11.002
- Берлев А.И. Система регистрации, сбора и накопления экспериментальных данных с ядерно-физических установок методом времени пролета. Препринт ИЯИ–1189/2007. М.: ИЯИ РАН, 2007.
- Mughabghab S.F. Atlas of Neutron Resonances. Resonance Parameters and Thermal Cross Sections. Z = 1–100. Elsevier Science, 2006. 1372 p.
- Eleme Z., Patronis N., Stamatopoulos A. et al. // EPJ Web Conf. 2020. V. 239. Р. 05014. https://doi.org/10.1051/epjconf/202023905014
- Belloni F., Calviani M., Colonna N. et al. // Eur. Phys. J. A. 2013. V. 49. Р. 2. https://doi.org/10.1140/epja/i2013-13002-3
- Hirose K., Ohtsuki T., Shibasaki Y. et al. // J. Nucl. Sci. Technol. 2012. V. 49. № 11. P. 1057. https://doi.org/10.1080/00223131.2012.730895
- Buckner M.Q., Wu C.Y., Henderson R.A. et al. // Phys. Rev. C. 2017. V. 95. Р. 024610. https://doi.org/10.1103/PhysRevC.95.024610
- Talou P., Kawano T., Young P.G., Chadwick M.B., MacFarlane R.E. // Nucl. Sci. Eng. 2007. V. 155. P. 84. https://doi.org/10.13182/NSE07-A2646
- Fursov B.I., Samylin B.F., Smirenkin G.N., Polynov V.N. // Proc. Int. Conf. Nucl. Data for Science and Technology. Gatlinburg, 1994. V. 1. P. 269.
- Гаврилов В.Д., Гончаров В.А., Иваненко В.А. и др. // Атомная энергия. 1976. Т. 41. № 3. С. 185.
- Meeting Nuclear Data Needs for Advanced Reactor Systems. A Report by the Working Party on International Nuclear Data Evaluation Co-operation of the NEA Nuclear Science Committee. Organization for Economic Co-operation and Development. 25-Feb-2014 // NEA/NSC/WPEC/DOC. 2014. 446. 113 p.
- Bellanova T.S., Kolesov A.G., Poruchikov V.A. et al. // At. Energy. 1976. V. 40. P. 298.
- Cote R.E., Bollinger L.M., Barnes R.F., Diamond H. // Phys. Rev. 1959. V. 114. P. 505. https://doi.org/10.1103/PhysRev.114.505
- Ohta M., Nakamura S., Harada H., Fujii T., Yamana H. // J. Nucl. Sci. Technol. (Tokyo). 2006. V. 43. P. 1441. https://doi.org/10.1080/18811248.2006.9711239
- Mendoza E., Cano-Ott D., Guerrero C. et al. // Phys. Rev. C. 2014. V. 90. P. 034608. https://doi.org/10.1103/PhysRevC.90.034608
- Colonna N., Tsinganisa A., Vlastou R. et al. // Eur. Phys. J. A. 2020. V. 56. P. 48. https://doi.org/10.1140/epja/s10050-020-00037-8
- Belloni F., Calviani M., Colonna N. et al. // Eur. Phys. J. A. 2011. V. 47. Iss. 12. P. 160. https://doi.org/10.1140/epja/i2011-11160-x
- Patronis N., Eleme Z., Diakaki M. et al. // CERN-INTC-2020-048/INTC-P-566. 21/09/2020.
Дополнительные файлы







