Влияние облучения протонами на оптические свойства и дефектообразование в кристаллах Gd3AlxGa5–xO12 (x = 2, 3)
- Авторы: Касимова В.М.1, Козлова Н.С.1, Забелина Е.В.1, Бузанов О.А.2, Лагов П.Б.1,3, Павлов Ю.С.3, Кулевой Т.В.4, Столбунов В.С.4
-
Учреждения:
- Национальный исследовательский технологический университет “МИСИС”
- АО “ФОМОС-МАТЕРИАЛЫ”
- Институт физический химии и электрохимии им. А.Н. Фрумкина РАН
- Курчатовский комплекс теоретической и экспериментальной физики НИЦ “Курчатовский институт”
- Выпуск: № 1 (2024)
- Страницы: 71-76
- Раздел: Статьи
- URL: https://ogarev-online.ru/1028-0960/article/view/256993
- DOI: https://doi.org/10.31857/S1028096024010109
- EDN: https://elibrary.ru/DIZOOS
- ID: 256993
Цитировать
Полный текст
Аннотация
Исследовано влияние облучения дозой протонов 50 Мрад (Si) на оптические свойства и дефектообразование в кристаллах гадолиний-алюминий-галлиевого граната при замещении алюминия и галлия в катионной подрешетке: Gd3Al2Ga3O12 (Al:Ga = 2:3) и Gd3Al3Ga2O12 (Al:Ga = 3:2). После облучения протонами кристаллы изменяют окраску: в спектре пропускания каждого кристалла появляется дополнительная полоса поглощения в диапазоне длин волн 400–500 нм. Это связано с образованием наведенных структурных дефектов в виде центров окраски. Коэффициенты преломления n(λ) были определены спектрофотометрическим методом Брюстера и практически не изменились после облучения протонами для кристаллов Al:Ga = 2:3, но в значительной степени увеличились для Al:Ga = 3:2. На спектральных зависимостях наблюдается заметное увеличение показателей ослабления светового потока после облучения, что также свидетельствует об образовании дополнительных структурных дефектов.
Полный текст
ВВЕДЕНИЕ
Соединения со структурой граната (гранаты), описываемые общей химической формулой A3B2C3O12, представляют собой хорошо известный тип смешанных кристаллов. В случае легирования редкоземельными и переходными элементами их используют для лазерных и сцинтилляционных применений. Замещение элементов в катионной подрешетке гранатов открывает широкие возможности поиска новых генерирующих сред и улучшения свойств уже известных соединений [1–4].
На основе гранатов состава Gd3AlxGa5–xO12, легированных церием, в 2011 г. был получен новый кристалл Gd3Al2Ga3O12:Ce3+ (GGAG:Ce), к настоящему времени востребованный в разных областях, которые связаны c детектированием высокоэнергетических частиц (например, в ядерной медицине, атомной физике) [5–10]. Однако фундаментальные свойства самой нелегированной матрицы Gd3Al2Ga3O12 слабо изучены [11–13], а влияние катионного замещения галлия алюминием и вовсе не было оценено.
Одной из востребованных характеристик сцинтилляционных материалов является реакция кристалла на облучение, которая может ограничить области и условия его применения [14–17]. Работы, связанные с воздействием разного типа излучения на родственные галлий-содержащие гранаты Gd3Ga5O12 (GGG) и Gd3Sc2Ga3O12 (GSGG), показали, что под действием УФ-света, рентгеновского излучения, гамма-излучения, потоков электронов бесцветные кристаллы GGG и GSGG приобретают желто-коричневую окраску [16]. Установлено, что облучение кристаллов приводит к возникновению в них как стабильных, так и короткоживущих дефектных центров [16]. Однако такие исследования кристаллов Gd3Al2Ga3O12 (Al:Ga = 2:3) и Gd3Al3Ga2O12 (Al:Ga = 3:2) не проводили, ранее [17] было оценено влияние облучения электронами на свойства этих кристаллов.
В связи с этим целью настоящей работы являлась оценка влияния облучения высокоэнергетическими частицами на оптические свойства кристаллов с частичным замещением элементов в катионной подрешетке (Gd3Al2Ga3O12 и Gd3Al3Ga2O12) и на создание/разрушение дефектных центров, что позволит приблизиться к пониманию природы дефектов в этих кристаллах.
МЕТОДИКА
Исследуемые кристаллы Gd3Al2Ga3O12 (Al:Ga = = 2:3) и Gd3Al3Ga2O12 (Al:Ga = 3:2) (составы соответствовали шихте) были выращены в компании АО “Фомос-Материалы” методом Чохральского в иридиевом тигле в атмосфере Ar и ~1–2% O2. Образцы представляли собой пластины, полированные с двух сторон.
Облучение образцов кристаллов составов Al:Ga = 2:3 и Al:Ga = 3:2 протонами с энергией 20 МэВ и флуенсом 1.5×1014 см–2 проводили на инжекторе ускорительного комплекса ККТЭФ НИЦ “Курчатовский комплекс” – линейном ускорителе протонов И-2, который успешно используется для контролируемого формирования дефектов с глубокими уровнями в структурах кремниевых силовых приборов [18]. Поглощенная образцами доза при таком флуенсе в пересчете на монокристаллический кремний составляет около 50 Мрад (Si) в ионизационных эффектах и 15 Mрад в структурных эффектах [19]. Аналогичные поглощенные дозы в структурных эффектах могут быть получены при облучении электронами с энергией 5 МэВ при флуенсе около 1.2×1016 см–2, но поглощенная доза в ионизационных эффектах при этом составит около 300 Мрад (Si) [17–19].
Оптические свойства кристаллов в исходном состоянии и после облучения протонами исследовали в аккредитованной испытательной лаборатории “Монокристаллы и заготовки на их основе” (ИЛМЗ) НИТУ МИСИС с использованием калиброванного спектрофотометра Cary-5000 Agilent Technologies с автоматической универсальной измерительной приставкой UMA (Universal Measurement Accessory) и аттестованных методик выполнения измерений.
Измерены спектральные зависимости коэффициентов пропускания Т(λ) света естественной поляризации и спектрально-угловые зависимости коэффициентов отражения R(λ) p-поляризованного света. Дискретные коэффициенты преломления кристаллов n(λ) [20] получены путем расчетов на основе измеренных спектрально- угловых зависимостей R(λ) р-поляризованного света методом Брюстера [20] по формуле:
tgφБр(λ) = n(λ), (1)
где φБр(λ) – угол падения р-поляризованного света, при котором интенсивность отраженного света равна нулю. Дисперсионная зависимость n(λ) была получена путем аппроксимации решений уравнения (1) уравнением Коши вида:
(2)
где A, B, C – материальные константы уравнения Коши.
Оптическое качество кристалла оценивали с помощью показателей ослабления светового потока µ(λ) [см–1], прошедшего через материал. Для определения µ(λ) в соответствии с ГОСТ 3520-92 [21] по формуле
(3)
необходимо использовать коэффициенты преломления n(λ) и коэффициенты внутреннего пропускания τ(λ), которые определяются по следующей формуле:
(4)
где d – толщина образца [см].
РЕЗУЛЬТАТЫ И ИХ ОБСУЖДЕНИЕ
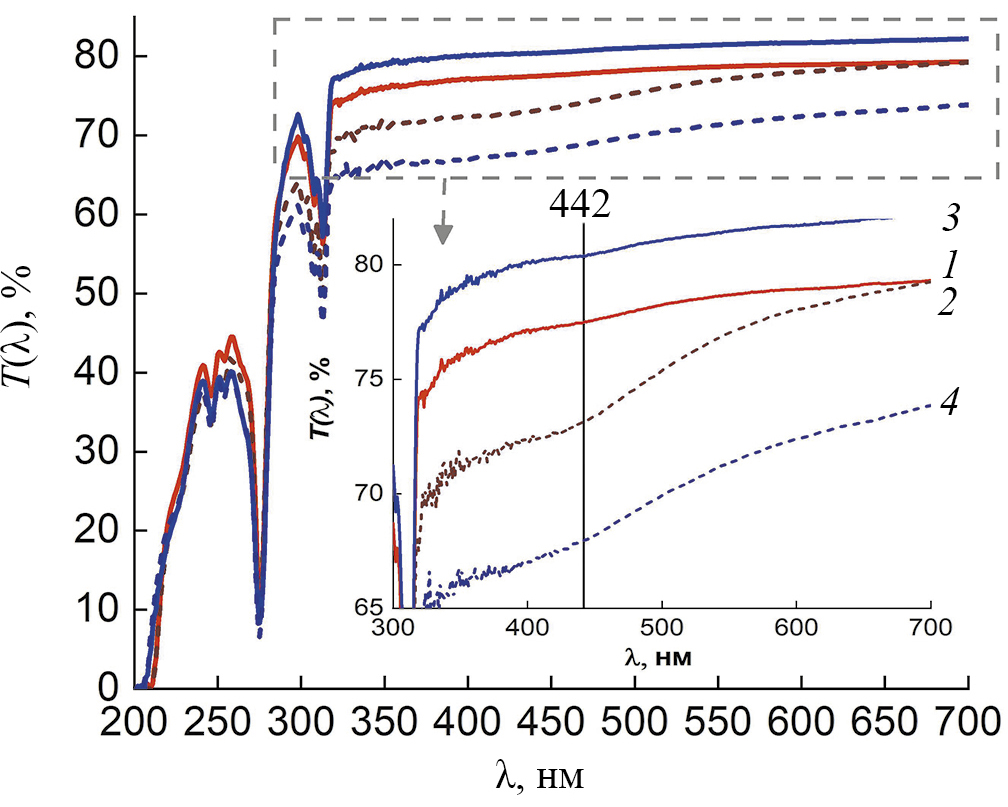
Нелегированные кристаллы Al:Ga = 2:3 и Al:Ga = 3:2 в исходном состоянии не имеют окраски (рис. 1). Спектральные зависимости коэффициентов пропускания Т(λ) кристаллов в исходном состоянии являются немонотонными с типичными для содержащих гадолиний материалов полосами поглощения (рис. 2) при λ ~230, ~275 нм и рядом полос в диапазоне длин волн 300–310 нм, связанных с электронными переходами Gd3+ [22].
Рис. 1. Внешний вид исследуемых кристаллов Gd3Al2Ga3O12 (а) и Gd3Al3Ga2O12 (б) до и после облучения протонами.
Облучение кристаллов протонами привело к их окрашиванию в бледно-коричневый цвет. На спектральных зависимостях пропускания наблюдается увеличение поглощения во всем исследованном диапазоне, наибольшее в видимом диапазоне длин волн. В диапазоне длин волн 400–500 нм появляется слабая широкая полоса поглощения (рис. 2) с максимумом при λmax ~442 нм. Это свидетельствует о том, что образуются дефекты, вызывающие дополнительное поглощение. Предположительно, данные дефекты можно отнести к F-центрам и их комплексам, для которых характерно появление полос поглощения в вышеуказанном диапазоне [1, 23].
Рис. 2. Спектральные зависимости коэффициентов пропускания кристаллов Gd3Al2Ga3O12 (1, 2) и Gd3Al3Ga2O12 (3, 4) до (1, 3) и после (2, 4) облучения протонами. На вставке – приближенный участок спектров коэффициентов пропускания в диапазоне длин волн 300–700 нм.
Как известно, коэффициенты преломления достаточно чувствительны к различного рода воздействиям [24]. Результаты оценки коэффициентов преломления исходных и облученных протонами кристаллов, полученных методом Брюстера для пяти длин волн, представлены в табл. 1. Результаты сравниваются с данными для исходных необлученных кристаллов, опубликованных в [25, 26]. Дисперсионные зависимости коэффициентов преломления, полученные в результате аппроксимации с помощью уравнения Коши, свидетельствуют о значительном влиянии облучения протонами на свойства Al:Ga = 3:2 (рис. 3). А коэффициенты преломления кристаллов состава Al:Ga = 2:3 практически не отличаются от коэффициентов необлученных исходных кристаллов в видимом диапазоне длин волн.
Таблица 1. Коэффициенты преломления n(λ) кристаллов Gd3Al2Ga3O12 (Al:Ga = 2:3) и Gd3Al3Ga2O12 (Al:Ga = 3:2) до и после облучения протонами, полученные методом Брюстера
λ, нм | n(λ) ± 0.001 | |||
Al:Ga = 2:3 | Al:Ga = 3:2 | |||
Облученный | Облученный | |||
300* | 1.983 | 1.992 | 1.906 | 2.065 |
350 | 1.951 | 1.942 | 1.863 | 1.965 |
400 | 1.931 | 1.924 | 1.839 | 1.923 |
440* | 1.919 | 1.919 | 1.826 | 1.906 |
450 | 1.917 | 1.911 | 1.824 | 1.903 |
500* | 1.908 | 1.906 | 1.817 | 1.896 |
550 | 1.900 | 1.896 | 1.808 | 1.890 |
589* | 1.896 | 1.893 | 1.803 | 1.889 |
600 | 1.894 | 1.891 | 1.803 | 1.889 |
650* | 1.890 | 1.890 | 1.800 | 1.889 |
* Экспериментально полученные данные.
Рис. 3. Дисперсионные зависимости коэффициентов преломления кристаллов Gd3Al2Ga3O12 (1, 2) и Gd3Al3Ga2O12 (3, 4) до (1, 3) и после (2, 4) облучения протонами.
Спектральные зависимости показателей ослабления были получены для всех нелегированных кристаллов с изоморфным замещением в катионной подрешетке в исходном состоянии и после облучения дозой протонов 50 Мрад (Si) (рис. 4). Установлено, что в диапазоне длин волн 325–700 нм наименьшее ослабление света в исходном состоянии наблюдается у кристаллов Al:Ga = 3:2, что, по всей видимости, свидетельствует о наименьшем количестве дефектов в кристаллах. После облучения показатель ослабления увеличился как в случае Al:Ga = 2:3, так и Al:Ga = 3:2, что подтверждает образование дополнительных центров поглощения – структурных дефектов типа F-центров и их комплексов.
Рис. 4. Спектральные зависимости показателей ослабления кристаллов Gd3Al2Ga3O12 (1, 2) и Gd3Al3Ga2O12 (3, 4) до (1, 3) и после (2, 4) облучения протонами. На вставке – приближенный участок спектров показателей ослабления в диапазоне длин волн 350–700 нм.
ЗАКЛЮЧЕНИЕ
Исследовано влияние замещения в катионной подрешетке и облучения дозой протонов от 50 Мрад (Si) на оптические свойства кристаллов Gd3Al2Ga3O12 (Al:Ga = 2:3) и Gd3Al3Ga2O12 (Al:Ga = 3:2). Наблюдается уменьшение пропускания во всем диапазоне (в особенности кристалла Gd3Al3Ga2O12) с образованием широкой полосы поглощения в диапазоне длин волн 400–500 нм, что подтверждается при оценке показателей ослабления образцов. Появление этой полосы связано с образованием центров окраски, предположительно, дефектов типа F-центров и их комплексов.
Коэффициенты преломления n(λ) кристаллов Al:Ga = 3:2 чувствительны к облучению протонами. В случае кристаллов состава Al:Ga = 2:3 в видимом диапазоне длин волн влияние облучения протонами на коэффициенты преломления n(λ) практически не наблюдалось.
БЛАГОДАРНОСТИ
Исследования оптических свойств проводились в МУИЛ ППМиД “Монокристаллы и заготовки на их основе” НИТУ МИСИС при финансовой поддержке Минобрнауки России в рамках государственного задания ВУЗам FSME-2023-0003.
Конфликт интересов. Авторы заявляют, что у них нет конфликта интересов.
Об авторах
В. М. Касимова
Национальный исследовательский технологический университет “МИСИС”
Автор, ответственный за переписку.
Email: kasimovavalya@mail.ru
Россия, 119049, Москва
Н. С. Козлова
Национальный исследовательский технологический университет “МИСИС”
Email: kasimova.vm@misis.ru
Россия, 119049, Москва
Е. В. Забелина
Национальный исследовательский технологический университет “МИСИС”
Email: kasimovavalya@mail.ru
Россия, 119049, Москва
О. А. Бузанов
АО “ФОМОС-МАТЕРИАЛЫ”
Email: kasimovavalya@mail.ru
Россия, 107023, Москва
П. Б. Лагов
Национальный исследовательский технологический университет “МИСИС”; Институт физический химии и электрохимии им. А.Н. Фрумкина РАН
Email: kasimovavalya@mail.ru
Россия, 119049, Москва; 119071, Москва
Ю. С. Павлов
Институт физический химии и электрохимии им. А.Н. Фрумкина РАН
Email: kasimovavalya@mail.ru
Россия, 119071, Москва
Т. В. Кулевой
Курчатовский комплекс теоретической и экспериментальной физики НИЦ “Курчатовский институт”
Email: kasimovavalya@mail.ru
Россия, 117218, Москва
В. С. Столбунов
Курчатовский комплекс теоретической и экспериментальной физики НИЦ “Курчатовский институт”
Email: kasimovavalya@mail.ru
Россия, 117218, Москва
Список литературы
- Блистанов А.А. Кристаллы квантовой и нелинейной оптики: учебное пособие. М.: МИСиС, 2007. 432 с.
- Каминский А.А. Физика и спектроскопия лазерных кристаллов. М.: Наука, 1986. 271 с.
- Каминский А.А. Лазерные кристаллы. М.: Наука, 1975. 250 с.
- Dorenbos P. // Radiation Detectors for Medical Applications. Springer, 2006. P. 191. https://doi.org./0.1007/1-4020-5093-3_8
- Lecoq P. // Nucl. Instrum. Methods Phys. Res. A. 2016. V. 809. P. 130. https://doi.org./10.1016/j.nima.2015.08.041
- Sato Y., Terasaka Y., Utsugi W., Kikuchi H., Kiyoo ka H., Torii T. // J. Nucl. Sci. Technol. 2018. V. 55. № 9. P. 965. https://doi.org./10.1080/00223131.2019.1581111
- Korzhik M., Alenkov V., Buzanov O., Fedorov A., Dosovitskiy G., Grigorjeva L., Mechinsky V., Sokolov P., Tratsiak Ya., Zolotarjovs A., Dormenev V., Dosovitskiy A., Agrawal D., Anniyev T., Vasilyev M., Khabashesku V. // Crystal Res. Technol. 2019. V. 54. № 4. P. 1800172. https://doi.org./10.1002/crat.201800172
- Alenkov V., Buzanov O., Dosovitskiy G., Egorychev V., Fedorov A., Golutvin A., Guz Yu., Jacobsson R., Korjik M., Kozlov D., Mechinsky V., Schopper A., Semennikov A., Shatalov P., Shmanin E. // Nucl. Instrum. Methods Phys. Res. A. 2019. V. 916. P. 226. https://doi.org./10.1016/j.nima.2018.11.101
- Martinazzoli L. // IEEE Transac. Nucl. Sci. 2020. V. 67. № 6. P. 1003. https://doi.org./10.1109/TNS.2020.2975570
- Dilillo G., Campana R., Zampa N., Fuschino F., Pauletta G., Rashevskaya I., Ambrosino F., Baruzzo M., Cauz D., Cirrincione D., Citossi M., Casa G.D., Ruzza B.D., Galgóczi G., Labanti C., Evangelista Yu., Ripa J., Vacchi A., Tommasino F., Verroi E., Fiore F. // Proc. SPIE. 2020. V. 11444. P. 1144493. https://doi.org./10.1117/12.2561053
- Komar J., Solarz P., Jeżowski A., Głowacki M., Berkowski M., Ryba-Romanowski W. // J. Alloys Compd. 2016. V. 688. P. 96. https://doi.org./10.1016/j.jallcom.2016.07.139
- Kimura H., Miyazaki A. // Jpn. J. Appl. Phys. 2002. V. 41. № 8R. P. 5334. https://doi.org./10.1143/JJAP.41.5334
- Bartosiewicz K., Markovskyi A., Horiai T., Szymański D., Kurosawa S., Yamaji A., Yoshikawa A., Zorenko Y. // J. Alloys Compd. 2022. V. 905. P. 164154. https://doi.org./10.1016/j.jallcom.2022.164154
- Конабеевский С.Т. Действие облучения на материалы. Введение в радиационное материаловедение. М.: Атомиздат, 1967. 401 с.
- Жариков Е.В., Куратев И.И., Лаптев В.В., Насельский С.П., Рябов А.И., Торопкин Г.Н., Шеста- ков А.В., Щербаков И.А. // Изв. АН СССР. Сер. физ. 1984. Т. 48. № 7. С. 1351.
- Матковский А.О., Сугак Д.Ю., Улманис У.А., Савицкий В.Г. Центры окраски в редкоземельных галлиевых гранатах. Пос. Саласпилс (ЛатвССР): ЛАФИ, 1987. 42 с.
- Касимова В.М., Козлова Н.С., Бузанов О.А., Забелина Е.В., Лагов П.Б., Павлов Ю.С. // Поверхность. Рентген., синхротр, и нейтрон. исслед. 2021. № 12. С. 1. https://doi.org./10.31857/S1028096021120074
- Lagov P., Drenin A., Zinovjev M. // J. Phys.: Conf. Ser. 2017. V. 830. № 1. P. 012152. https://doi.org./10.1088/1742 6596/755/1/011001
- Van Lint V.A.J., Gigas G., Barengolt J. // IEEE Trans. Nucl. Sci. 1975. V. 22. P. 2663. https://doi.org./10.1109/TNS.1975.4328186
- Забелина Е.В., Козлова Н.С., Гореева Ж.А., Касимова В.М. // Изв. вузов. Материалы электронной техники. 2019. Т. 22. № 3. С. 168. https://doi.org./10.17073/1609-3577-2019-3-168-178
- ГОСТ 3520–92 Методы определения показателей ослабления. М.: Изд-во стандартов, 1992. 19 с.
- Sakthong O., Chewpraditkul W., Wanarak C., Pejchal J., Kamada K., Yoshikawa A., Pazzi G.P., Nikl M. // Opt. Mater. 2013. V. 36. № 2. P. 568. https://doi.org./10.1016/j.optmat.2013.10.033
- Pujats A., Springis M. // Radiat. Eff. Defects Solids. 2001. V. 155. № 1–4. P. 65. https://doi.org./10.1080/10420150108214094
- Орлова А.Н. Влияние радиационных воздействий на оптические свойства монокристаллов ниобата лития: Дис. ... канд. физ.-мат. наук: 01.04.07. Тверь: ТвГУ, 2007. 117 с.
- Kasimova V., Kozlova N., Buzanov O., Zabelina E. // AIP Conf. Proc. 2020. V. 2308. № 1. P. 020003. https://doi.org./10.1063/5.0035129
- Касимова В.М., Козлова Н.С., Бузанов О.А., Забелина Е.В., Таргонский А.В., Рогачев А.В. // Неорган. материалы. 2022. Т. 58. № 3. C. 302. https://doi.org./10.31857/S0002337X2203006X
Дополнительные файлы






