Changes in the Optical Properties under Sequential and Separate Irradiation with Solar Spectrum and Protons of a BaSO4 Powder Modified with SiO2 Nanoparticles
- Authors: Mikhailov M.M.1, Lapin A.N.1, Yuryev S.A.1
-
Affiliations:
- Tomsk State University of Control Systems and Radioelectronics
- Issue: No 10 (2023)
- Pages: 69-75
- Section: Articles
- URL: https://ogarev-online.ru/1028-0960/article/view/141029
- DOI: https://doi.org/10.31857/S102809602310014X
- EDN: https://elibrary.ru/NWPOIG
- ID: 141029
Cite item
Full Text
Abstract
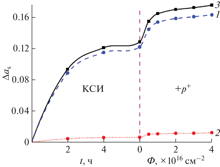
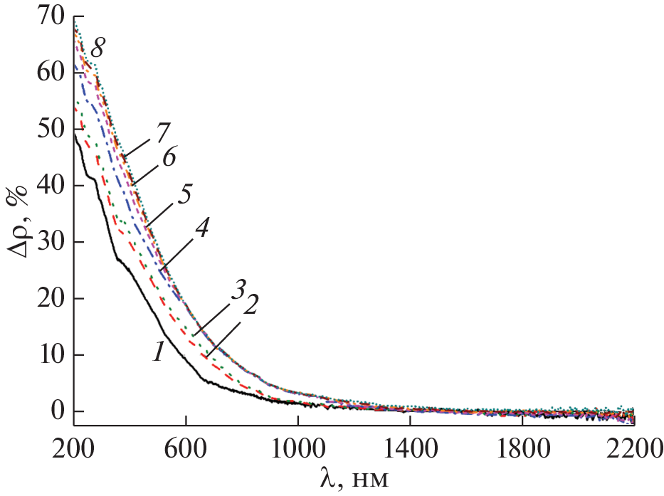
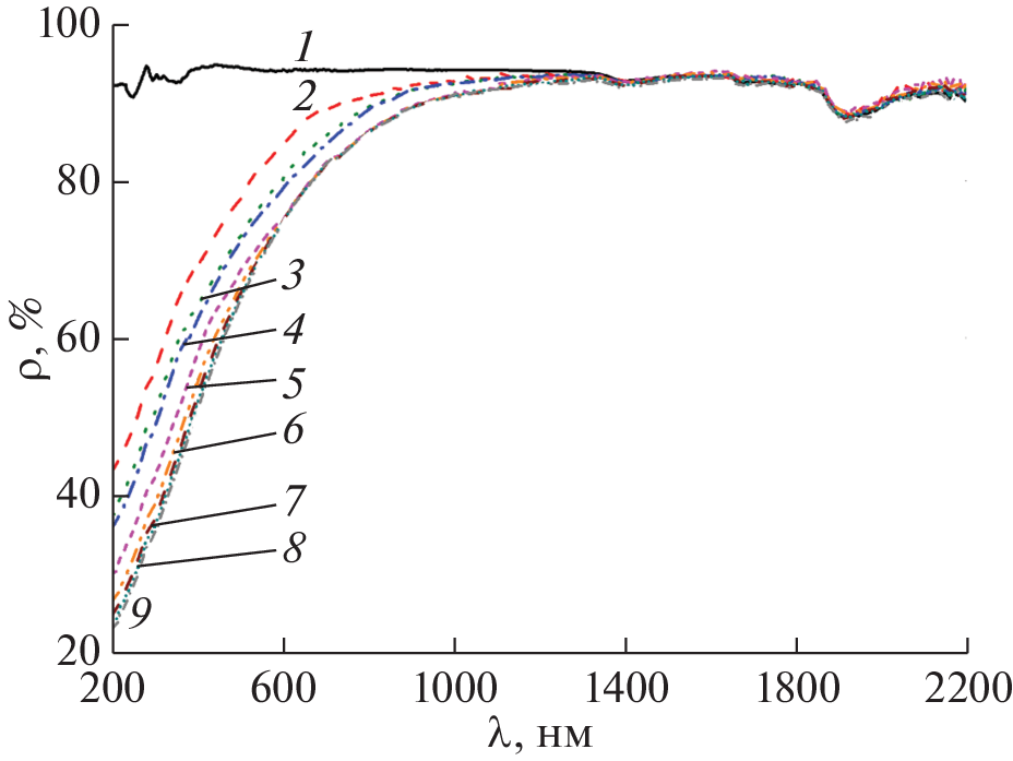
A comparative analysis of changes in the diffuse reflectance spectra ρλ and the integral absorption coefficient in the region of 0.2–2.2 μm after separate and sequential irradiation with 5 keV protons and solar radiation quanta of a barium sulfate powder modified with silicon dioxide nanoparticles mBaSO4/nSiO2 was performed with registration of the spectra after each period of irradiation in vacuum in the area of irradiation (in situ). The integrated solar radiation absorption coefficient of the modified mBaSO4/nSiO2 pigment before irradiation is 0.048, which is several times lower than that of the ZnO pigment widely used in all countries. It has been found that the additivity coefficient calculated from the results of sequential and separate irradiation of the mBaSO4/nSiO2 powder decreases from 7.5 to 1.052 times with an increase in the fluence of protons with an energy of 5 keV. An assessment of the changes in the additivity coefficient under the influence of the spectrum of charged particles in the geostationary orbit (as one of the most used and with harsh radiation conditions) showed that the non-additivity of the separate and sequential action of protons and solar radiation quanta on the pigment for thermal control coatings mBaSO4/nSiO2 at such irradiation parameters will be kept for 1.27 years.
About the authors
M. M. Mikhailov
Tomsk State University of Control Systems and Radioelectronics
Author for correspondence.
Email: Membrana2010@mail.ru
Russia, 634000, Tomsk
A. N. Lapin
Tomsk State University of Control Systems and Radioelectronics
Email: yusalek@gmail.com
Russia, 634000, Tomsk
S. A. Yuryev
Tomsk State University of Control Systems and Radioelectronics
Author for correspondence.
Email: yusalek@gmail.com
Russia, 634000, Tomsk
References
- Groh K.K., Dever J.A. Degradation of Spacecraft Materials in Handbook of Environmental Degradation of Materials (Third Edition) // Ed. Andrew W, 2018. 684 p.
- Awang M. // Key Engineering Materials. 2017. V. 740. P. 41.
- Meghwal A., Anupam A., Murty B.S., Berndt C.C., Kottada R.S., Ming A.S. // J. Thermal Spray Technol. 2020. V. 29. P. 857.
- Thermal Control Coatings. Nonmetallic Materials (2022) JSC Kompozit. https://kompozit-mv.ru/index.php/nemetallicheskie-materialy.html.
- Cao R., Qin Z., Yu X. et al. // Int. J. for Light and Electron Optics. 2016. V. 127. № 3. P. 1126.
- Annalakshmi O., Jose M.T., Madhusoodanan U. // Radiat. Prot. Dosimetry. 2012. V. 150 (2). P. 127.
- Bahl S., Lochab S.P., Pandey A., Kumar V., Aleynikov V.E., Molokanov A.G., Kumar P. // J. Luminescence. 2014. V. 149. P. 176.
- Патент на изобретение. 2 524 384 (РФ) Терморегулирующее покрытие / ОАО Композит. Страполова В.Н., Киселева Л.В., Токарь С.В., Юртов Е.В., Мурадова А.Г. // Б.И. 2014. № 21.
- Siddiqi K.S., Husen A. // Nanoscale Res. Lett. 2017. V. 12. P. 92.
- Cao R., Qin Z., Yu X., Wu D., Zheng G., Li W. // Optik – Int. J. Light Electron Opt. 2016. V. 127. Iss. 3. P. 1126.
- Mikhailov M.M. Optical properties and radiation stability of Metal Oxide Powders modified with Nanoparticles. Volume 6. Publishing House of Tomsk State University of Control Systems and Radio Electronics, 2019. 312 p.
- Li C., Liang Z., Xiao H., Wu Y., Liu Y. // Mater. Lett. 2010. V. 64. P. 1972.
- Mikhailov M.M., Yuryev S.A., Lapin A.N. // Acta Astronautica. 2019. V. 165. P. 191.
- Kositsyn L.G., Mikhailov M.M., Kuznetsov N.Y., Dvoretskii M.I. // Instrum. Exp. Tech. 1985. V. 28. P. 929.
- Johnson F.S. // J. Meteorological. 1954. V. 11. № 6. P. 431.
- ASTM E490-00a. Standard Solar Constant and Zero Air Mass Solar Spectral Irradiance Tables (2005) ASTM Int. PA, USA. https://www.astm.org/e0490-00ar19.html.
- ASTM E903-96. Standard Test Method for Solar Absorptance, Reflectance, and Transmittance of Materials Using Integrating Spheres (2005) ASTM Int. PA, USA. https://www.astm.org/e0903-96.html.
- Zhang M., Zhang B., Li X., Yinb Z., Guo X. // Appl. Surf. Sci. 2011. V. 258. P. 24.
- Prameena B., Anbalagan G., Sangeetha V., Gunasekaran S., Ramkumaar G.R. // Int. J. Chem. Tech. Res. 2013. V. 5. № 1. P. 220.
- Manam J., Das S. // Indian J. Pure Appl. Phys. 2009. V. 47. № 6. P. 435.
- Накамото К. ИК-спектры и спектры КР неорганических и координационных соединений. Пер. с англ. М.: Мир, 1991. 536 с.
- Окабе Х. Фотохимия малых молекул. М.: Мир, 1981. 504 с.
- Wilson R.H., Nadeau K.P., Jaworski F.B., Tromberg B.J., Durkin A.J. // J. Biomed. Opt. 2015. V. 20 (3). P. 030901.
- Cooper C.D., Mustard J.F. // Icarus. 1999. V. 142. I. 2. P. 557.
- Михайлов М.М., Дворецкий М.И. // Известия вузов. Физика. 1988. № 7. С. 86.
- Mikhailov M.M., Yuryev S.A., Lapin A.N., Lovitskiy A.A. // Dyes and Pigments. 2019. V 163. P. 420–424.
- Нещименко В.В. Исследование структуры, свойств и радиационной стойкости оксидных порошков, модифицированных: Дис. ... д-ра физико-математических наук: 01.04.07. Томск: ИФПМ, 2017. 325 с.
- Chen H., Li P., Zhou H., Zhang W., Cong L., Ma J.G. // Mater. Res. Bull. 2021. V. 146. P. 111572.
- Brown R.R., Fogdall L.B., Cannaday S.S. // Prog. Austranautic: Thermal Desing Principles of Spacecraft and Entru. 1969. V. 21. P. 697.
- Mikhailov M.M. // J. Adv. Mater. 1995. V. 2. № 3. P. 200.
- Михайлов М.М. Спектры отражения терморегулирующих покрытий космических аппаратов. Томск: Изд-во Томского университета. 2007. 314 с.
Supplementary files









