Поверхностная кристаллизация и процессы перемагничивания в аморфных микропроводах
- Авторы: Аксенов О.И.1, Фукс А.А.1,2, Абросимова Г.Е.1, Матвеев Д.В.1, Аронин А.С.1
-
Учреждения:
- Институт физики твердого тела им. Ю.А. Осипьяна РАН
- Национальный исследовательский университет “Высшая школа экономики”
- Выпуск: № 9 (2023)
- Страницы: 11-17
- Раздел: Статьи
- URL: https://ogarev-online.ru/1028-0960/article/view/137806
- DOI: https://doi.org/10.31857/S1028096023090029
- EDN: https://elibrary.ru/ZLHMIO
- ID: 137806
Цитировать
Полный текст
Аннотация
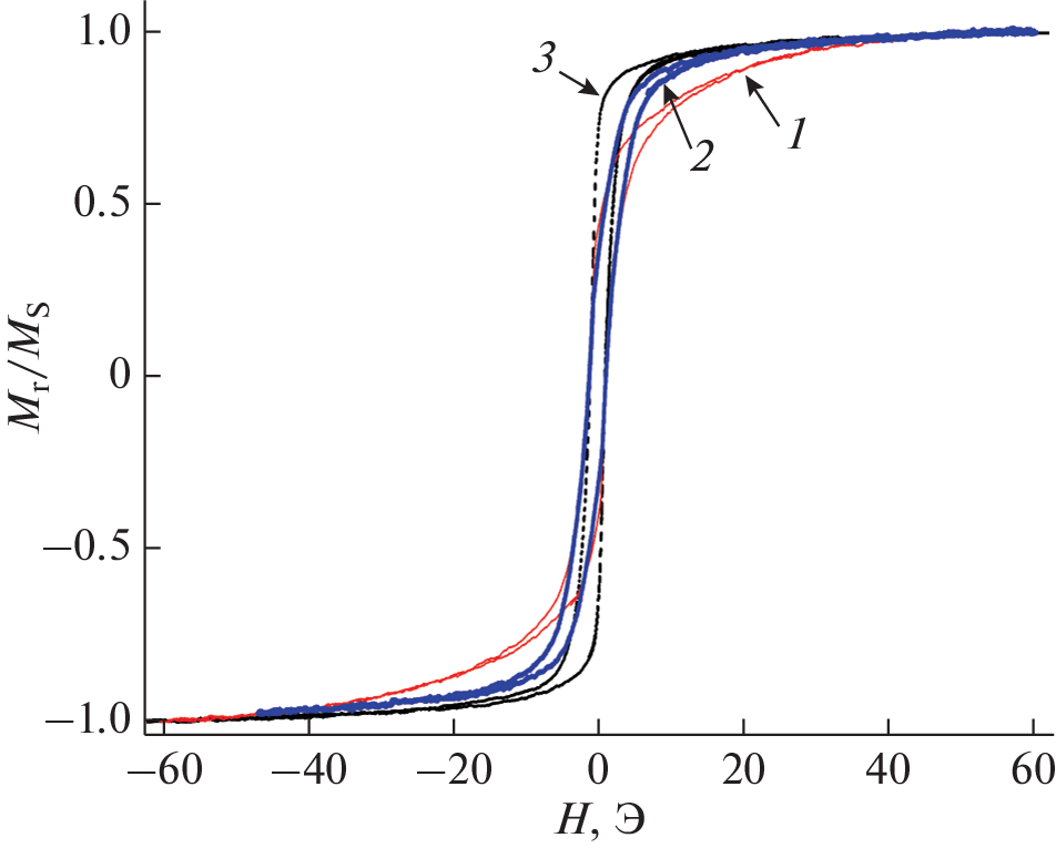
Исследована неоднородная по объему кристаллизация аморфных микропроводов состава Fe73.8Cu1Nb3.1B9.1Si13. Выдвинуто предположение о влиянии неоднородного распределения растягивающих и сжимающих напряжений в объеме микропроводов на их кристаллизацию. Установлено, что на начальных этапах кристаллизации происходит преимущественное выделение нанокристаллов в приповерхностной области микропровода толщиной около 2.5 мкм. Установлено, что размеры кристаллов в поверхностном слое микропровода составляют около 10 нм. Обнаружено, что образование аморфно-нанокристаллического слоя на поверхности микропровода приводит к увеличению отношения остаточной намагниченности к намагниченности насыщения Mr /Ms, что связано с уменьшением величины магнитной анизотропии за счет уменьшения уровня напряжений в процессе термообработки и нанокристаллизации. Химическое травление отожженных микропроводов приводит к существенному увеличению отношения Mr /Ms, что обусловлено ростом относительного объема центрального доменного слоя. Полученные результаты свидетельствуют о потенциале создания композитных аморфно-нанокристаллических структур на базе микропроводов. В случае микропроводов состава Fe73.8Cu1Nb3.1B9.1Si13 преимущественная кристаллизация поверхностного слоя может обеспечить увеличение эффекта гигантского магнитного импеданса. Такие объекты могут иметь потенциальное применение в сенсорике, в частности в датчиках магнитного поля и деформации.
Об авторах
О. И. Аксенов
Институт физики твердого тела им. Ю.А. Осипьяна РАН
Автор, ответственный за переписку.
Email: oleg_aksenov@inbox.ru
Россия, Черноголовка, Московская область,142432
А. А. Фукс
Институт физики твердого тела им. Ю.А. Осипьяна РАН; Национальный исследовательский университет “Высшая школа экономики”
Email: oleg_aksenov@inbox.ru
Россия, Черноголовка, Московская область,142432; 105066 Россия, Москва
Г. Е. Абросимова
Институт физики твердого тела им. Ю.А. Осипьяна РАН
Email: oleg_aksenov@inbox.ru
Россия, Черноголовка, Московская область,142432
Д. В. Матвеев
Институт физики твердого тела им. Ю.А. Осипьяна РАН
Email: oleg_aksenov@inbox.ru
Россия, Черноголовка, Московская область,142432
А. С. Аронин
Институт физики твердого тела им. Ю.А. Осипьяна РАН
Email: oleg_aksenov@inbox.ru
Россия, Черноголовка, Московская область,142432
Список литературы
- Greer A.L., Cheng Y.Q., Ma E. // Mater. Sci. Eng. 2013. V. R74. P. 71. https://doi.org/10.1016/j.mser.2013.04.001
- Постнова Е.Ю., Абросимова Г.Е., Аронин А.С. // Поверхность. Рентген., синхротр. и нейтрон. исслед. 2021. № 11. С. 5.
- Абросимова Г.Е., Аронин А.С. // Поверхность. Рентген., синхротр. и нейтрон. исслед. 2018. № 5. С. 91.
- Glezer A.M., Khriplivets I.A., Sundeev R.V., Louzguine-Luzgin D.V., Pogozhev Yu.S., Rogachev S.O., Bazlov A.I., Tomchuk A.A. // Mater. Let. 2020. V. 281. P. 128659. https://doi.org/10.1016/j.matlet.2020.128659
- Inoue A., Ochiai T., Horio Y., Masumoto T. // Mater. Sci. Eng. 1994. V. A179/A180. P. 649. https://doi.org/10.1016/0921-5093(94)90286-0
- Louzguine D.V., Inoue A. // J. Non-Cryst. Solids. 2002. V. 311. P. 281. https://doi.org/10.1016/S0022-3093(02)01375-3
- Yavari A. R., Georgarakis K., Antonowicz J., Stoica M., Nishiyama N., Vaughan G., Chen M., Pons M. // Phys. Rev. Lett. 2012. V. 109. P. 085501. https://doi.org/10.1103/PhysRevLett.109.085501
- Chiriac H., Ovari T.A., Pop G. // Phys. Rev. B 1995. V. 52. P. 10104. https://doi.org/10.1103/PhysRevB.52.10104
- Herzer G. // Phys. Scr. 1993. V. 49. P. 307. https://doi.org/10.1088/0031-8949%2F1993%2FT49A% 2F054
- Chiriac H., Ovari T.A. // ProgMater Sci. 1996. V. 40. P. 333. https://doi.org/10.1016/S0079-6425(97)00001-7
- Fuks A., Abrosimova G., Aksenov O., Churyukanova M., Aronin A. // Crystals. 2022. V. 12. P. 1494. https://doi.org/10.3390/cryst12101494
- Talaat A., Zhukova V., Ipatov M., Blanco J.M., Gonzalez-Legarreta L., Hernando B., del Val J.J., González J., Zhukov A. // J. Appl. Phys. 2014. V. 115. P. 17A313. https://doi.org/10.1063/1.4863484
- Corte-León P., Zhukova V., Ipatov M., Blanco J.M., Gonzalez J., Zhukov A. // Intermetallics. 2019. V. 105. P. 92. https://doi.org/10.1016/j.intermet.2018.11.013
- Gonzalez A., Zhukova V., Corte-Leon P., Chizhik A., Ipatov M., Blanco J. M., Zhukov A. // Sensors. 2022. V. 22. № 3. P. 1053. https://doi.org/10.3390/s22031053
- Churyukanova M., Kaloshkin S., Shuvaeva E., Mitra A., Panda A.K., Roy R.K., Murugaiyan P., Corte-Leon P., Zhukova V., Zhukov A. // J. Magn. Magn. Mater. 2019. V. 492. P. 165598. https://doi.org/10.1016/j.jmmm.2019.165598
- Zhukov A., Ipatov M., Corte-León P., Gonzalez- Legarreta L., Churyukanova M., Blanco J.M., Gonzalez J., Taskaev S., Hernando B., Zhukova V. // J. Alloys Compd. 2020. V. 814. P. 152225. https://doi.org/10.1016/j.jallcom.2019.152225
- Clavaguera N., Pradell T., Jie Z., Clavaguera-Mora M.T. // Nanostruct. Mater. 1995. V. 6. P. 453. https://doi.org/10.1016/0965-9773(95)00094-1
- Abrosimova G.E., Aronin A.S., Kholstinina N.N. // Phys. Solid State. 2010. V. 52. P. 445.
- Chizhik A., Stupakiewicz A., Zhukov A., Maziewski A., Gonzalez J. // IEEE Trans. Magn. 2015. V. 51. P. 200234. https://doi.org/10.1109/INTMAG.2015.7157157
- Chen D.M., Xing D.W., Qin F.X., Liu J.S., Wang H., Wang X.D., Sun J.F. // Phys. Status Solidi. A. 2013. V. 210. P. 2515. https://doi.org/10.1002/pssa.201329246
- Usov N., Antonov A., Dykhne A., Lagarkov A. // J. Magn. Magn. Mater. 1997. V. 174. P. 127. https://doi.org/10.1016/S0304-8853(97)00130-3
- Chiriac H., Ovari T.A., Pop G. // J. Magn. Magn. Mater. 1996. V. 157. P. 227. https://doi.org/10.1016/S0079-6425(97)00001-7S0079642597000017
Дополнительные файлы







