Resonant Neutron Reflectometry on a Compact Neutron Source
- Authors: Nikova E.S.1, Salamatov Y.A.1, Kravtsov E.A.1,2
-
Affiliations:
- Miheev Institute of Metal Physics UB RAS
- Ural Federal University
- Issue: No 7 (2023)
- Pages: 102-107
- Section: Articles
- URL: https://ogarev-online.ru/1028-0960/article/view/137788
- DOI: https://doi.org/10.31857/S1028096023070117
- EDN: https://elibrary.ru/TEZEMM
- ID: 137788
Cite item
Full Text
Abstract
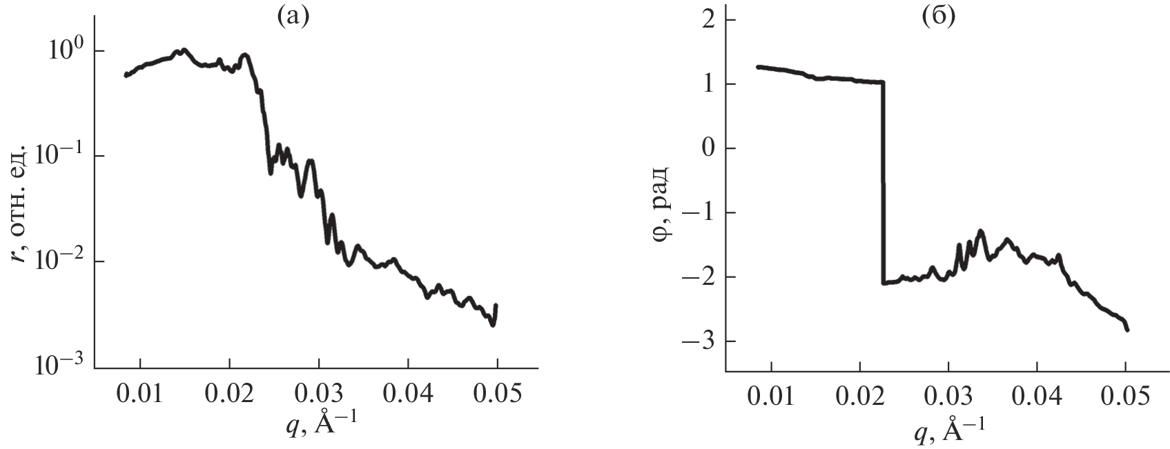
This paper presents an approach to solving the phase problem in neutron reflectometry (including polarized neutron reflectometry) based on the effect of resonant interaction of nuclei of gadolinium isotopes 155Gd and 157Gd with thermal neutrons. This effect is used to implement the reference layer method, which allows, based on the results of three experiments, to calculate the complex reflection coefficient of the sample under study. Knowledge of the complex reflection coefficient makes it possible to model-independent analysis of the interaction potential, both nuclear and magnetic. The main application of this approach is the study of the structure of layers and interfaces, as well as the determination of the magnetic state of multilayer metal nanoheterostructures. The theoretical basis of this method is given, which consists in deposition on the sample top of a gadolinium layer with known parameters, one of which can be varied in a controlled manner. The scheme of the experiment is described in detail using model numerical calculations. An experimental result is given for a simple single-layer niobium sample, for which the modulus and phase of the reflection coefficient were calculated. Promising directions for improving the method and possible directions for further work are proposed. The requests for the characteristics of a compact neutron source, necessary for the optimal implementation of the proposed method, are formulated.
About the authors
E. S. Nikova
Miheev Institute of Metal Physics UB RAS
Author for correspondence.
Email: e.nikova@mail.ru
Russia, 620990, Ekaterinburg
Yu. A. Salamatov
Miheev Institute of Metal Physics UB RAS
Email: e.nikova@mail.ru
Russia, 620990, Ekaterinburg
E. A. Kravtsov
Miheev Institute of Metal Physics UB RAS; Ural Federal University
Email: e.nikova@mail.ru
Russia, 620990, Ekaterinburg; Russia, 620002, Ekaterinburg
References
- Klibanov M.V., Sacks P.E. // J. Math. Phys. 1992. V. 33. № 11. P. 3813.
- Majkrzak C.F., Berk N.F. // Phys. Rev. B.1995. V. 52. P. 10827.
- de Haan V.O., van Well A.A., Adenwalla S., Felcher G.P. // Phys. Rev. B. 1995. V. 52. № 15. P. 10831.
- Majkrzak C.F., Berk N.F. // Phys. Rev. B. 1998. V. 58. P. 15416.
- Majkrzak C.F., Berk N.F., Silin V. // Phys. Rev. B. 2000. V. 283. P. 248.
- Kirby B.J., Kienzle P.A., Maranville B.B., Berk N.F., Krycka J., Heinrich F., Majkrzak C.F. // Curr. Opin. Colloid Interface Sci. 2012. V. 17. P. 44.
- Majkrzak C.F., Carpenter E., Heinrich F., Berk N.F. // J. Appl. Phys. 2011. V. 110. P. 102212.
- Lynn J.E., Seeger P.A. // Atomic Data Nucl. Data Tables. 1990. V. 44. Iss. 2. P. 191.
- Nikova E.S., Salamatov Yu.A., Kravtsov E.A., Bodnarchuk V.I., Ustinov V.V. // Physica B. 2019. V. 552. P. 58.
- Павлов К.А., Коник П.И., Коваленко Н.А., Кулевой Т.В., Серебренников Д.А., Субботина В.В., Павлова А.Е., Григорьев С.В. // Кристаллография. 2022. V. 67. № 1. Р. 5.
- Lekner J. // Exact results. In: Theory of Reflection of Electromagnetic and Particle Waves. Developments in Electromagnetic Theory and Applications, V. 3. Springer Science Business Media Dordrecht, 1987. C. 12.
- de Haan V.O., van Well A.A., Sacks P.E., Adenwalla S., Felcher G.P. // Phys. Rev. B. 1996. V. 221. P. 524.
- Majkrzak C.F., Berk N.F., Perez-Salas U.A. // Langmuir. 2003. V. 19. P. 7796.
- Zimmerman K.M. Advanced Analysis Techniques for X‑ray Reflectivities: Theory and Application. Karlsruhe, 2005. 190 p.
- Никова Е.С, Саламатов Ю.А., Кравцов Е.А., Макарова М.В., Проглядо В.В., Устинов В.В., Боднарчук В.И., Нагорный А.В. // Физика металлов и металловедение. 2019. V. 120. P. 913.
- Nikova E.S., Salamatov Yu.A., Kravtsov E.A., Ustinov V.V., Bodnarchuk V.I., Nagorny A.V. // J. Surf. Invest.: X-Ray, Synchrotron Neutron Tech. 2020. V. 14. P. 161.
- Nikova E.S., Salamatov Yu.A., Kravtsov E.A., Ustinov V.V. // J. Surf. Invest.: X-Ray, Synchrotron Neutron Tech. 2021. V. 15. P. 899.
- Никова Е.С., Саламатов Ю.А., Кравцов Е.А., Проглядо В.В, Жакетов В.Д., Миляев М.А. // Поверхность. Рентгеновские, синхротронные и нейтронные исследования. 2022. № 11. C. 1. https://www.doi.org/10.31857/S1028096022110176 (в печати).
- Book A., Kienzle P.A. // Physica B: Condensed Matter. 2020. V. 588. P. 412181.
Supplementary files







