Двухмодовый нейтронный рефлектометр для компактного источника нейтронов DARIA
- Авторы: Сыромятников В.Г.1,2, Григорьева Н.А.2, Григорьев С.В.1,2
-
Учреждения:
- Петербургский институт ядерной физики, Национальный исследовательский центр “Курчатовский институт”
- Санкт-Петербургский государственный университет
- Выпуск: № 7 (2023)
- Страницы: 93-101
- Раздел: Статьи
- URL: https://ogarev-online.ru/1028-0960/article/view/137787
- DOI: https://doi.org/10.31857/S102809602307018X
- EDN: https://elibrary.ru/TEMOSE
- ID: 137787
Цитировать
Полный текст
Аннотация
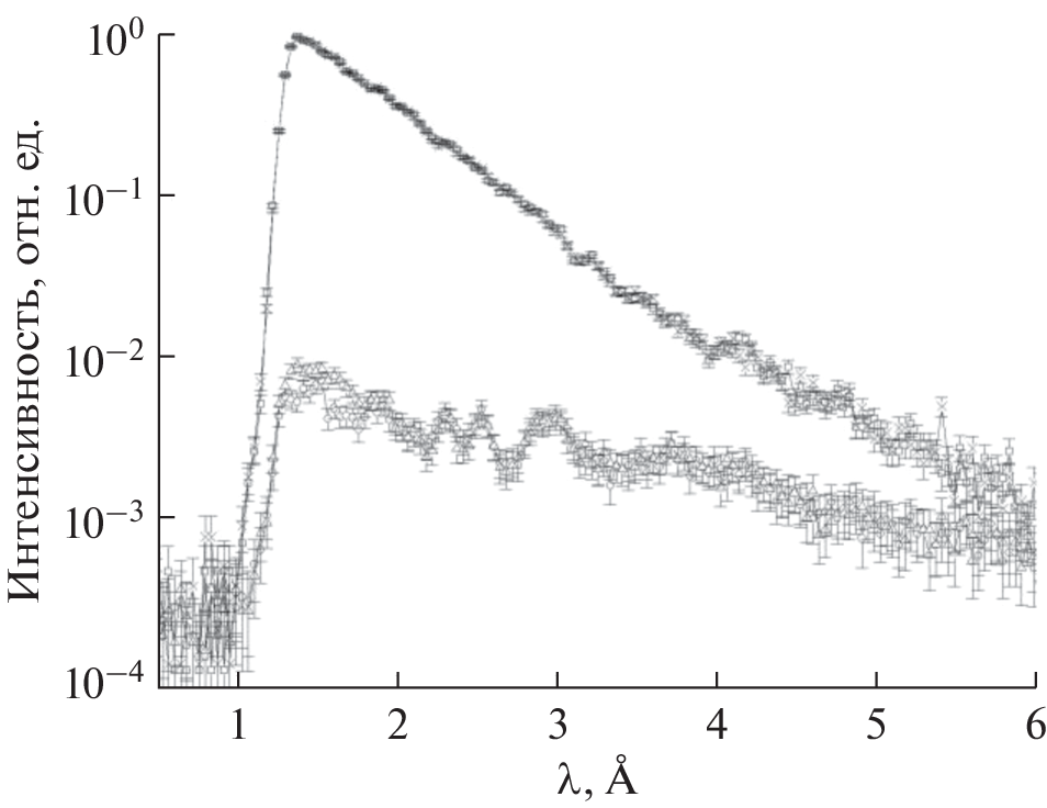
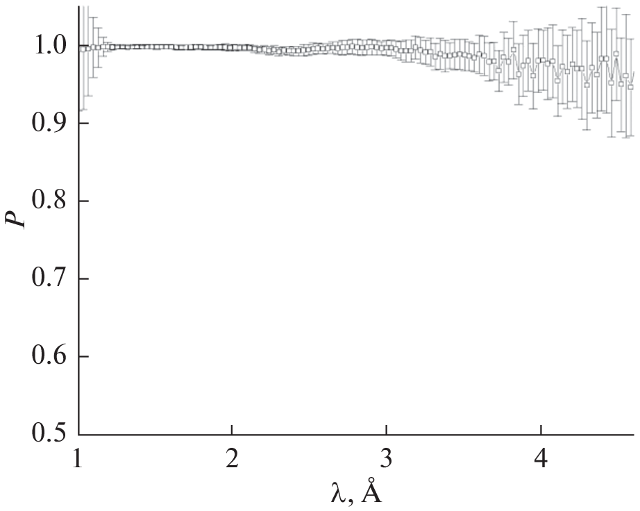
Представлена концепция двухмодового нейтронного рефлектометра с поляризатором, двумя спин-флипперами и анализатором поляризации после прохождения образца. На рефлектометре, предназначенном для компактного источника нейтронов DARIA, планируется измерять спектр отраженного “белого” пучка нейтронов времяпролетным методом при фиксированном угле скольжения с возможностью использования как поляризованных, так и неполяризованных нейтронов. Представлены основные геометрические и физические параметры нейтронного рефлектометра. При продолжительности нейтронного импульса τ = 100 мкс и общей длине установки времяпролетной базы L = 8 м частота повторения импульсов может достигать величины f = 165 Гц для диапазона длин волн Δλ = 3 Å и разрешения Δλ ≅ 0.05 Å. Использование элементов поляризационного анализа рефлектометра при поляризация пучка, превышающей 96%, и эффективности работы спин-флипперов, близкой к единице, дают возможность детально исследовать магнитные тонкопленочные наноструктуры.
Об авторах
В. Г. Сыромятников
Петербургский институт ядерной физики, Национальный исследовательский центр“Курчатовский институт”; Санкт-Петербургский государственный университет
Автор, ответственный за переписку.
Email: syromyatnikov_vg@pnpi.nrcki.ru
Россия, 188300, Гатчина; Россия, 198504, Петродворец,
Санкт-Петербург
Н. А. Григорьева
Санкт-Петербургский государственный университет
Email: syromyatnikov_vg@pnpi.nrcki.ru
Россия, 198504, Петродворец,
Санкт-Петербург
С. В. Григорьев
Петербургский институт ядерной физики, Национальный исследовательский центр“Курчатовский институт”; Санкт-Петербургский государственный университет
Email: syromyatnikov_vg@pnpi.nrcki.ru
Россия, 188300, Гатчина; Россия, 198504, Петродворец,
Санкт-Петербург
Список литературы
- Боднарчук В.И., Булкин А.П., Кравцов Е.А., Плешанов Н.К., Сыромятников В.Г., Ульянов В.А. // Кристаллография. 2022. Т. 67. № 1. С. 57. https://doi.org/10.31857/S0023476122010040
- Lauter H.-J., Lauter V., Toperverg B.P. // Polymer Sci. A. 2012. V. 2. P. 411. https://doi.org/10.1016/B978-0-444-53349-4.00033-9
- Fitzsimmons M.R., Schuller Ivan K. // J. Magn. Magn. Mater. 2014. V. 350. P. 199. https://doi.org/10.1016/j.jmmm.2013.09.028
- Никитенко Ю.В., Сыромятников В.Г. Рефлектометрия поляризованных нейтронов. М.: Физматлит, 2013. С. 224.
- Zabel H., Theis-Bröhl K., Toperverg B.P. // The Handbook of Magnetism and Advanced Magnetic Materials, V. 3: Novel Techniques / Ed. Kronmüller H., Parkin S.P.S. New York: Wiley, 2007. P. 1237.
- Щебетов А.Ф., Кудряшов В.А., Харченков В.П., Агамалян М.М. // Журн. эксперим. и теор. физики. 1978. Т. 74. № 3. С. 862. http://www.jetp.ras.ru/cgi-bin/dn/e_047_03_0450.pdf
- Гукасов А.Г., Дериглазов В.В., Кезерашвили В.Я., Кудряшов В.А., Крутов Г.А., Песков Б.Г., Сыромятников В.Г., Трунов В.А., Харченков В.П., Щебетов А.Ф. // Журн. эксперим. и теор. физики. 1979. Т. 77. № 5. С. 1720.
- Syromyatnikov V.G., Pleshanov N.K., Pusenkov V.M., Schebetov A.F., Ul’yanov V.A., Kasman Ya.A., Khakhalin S.I., Kolkhidashvili M.R., Slyusar V.N., Sumbatyan A.A. Four-Modes Neutron Reflectometer NR-4M. Preprint № 2619. Gatchina: PNPI, 2005. P. 47.
- Pavlov K.A., Konik P.I., Kovalenko N.A., Kulevoy T.V., Serebrennikov D.A., Subbotina V.V., Pavlova A.E., Grigorev S.V. // Crystallogr. Rep. 2022. V. 67. № 1. P. 3. https://doi.org/10.1134/S1063774522010096
- Syromyatnikov V.G. // J. Phys. Soc. Jpn.: Conf. Ser. 2018. V. 22. P. 011005. https://doi.org/10.7566/JPSCP.22.011005
- Патент № 2 680 713 (РФ). Прерыватель нейтронного пучка / Сыромятников В.Г. // Приоритет изобретения 30.03.2018. Зарегистрирован в Государственном реестре изобретений РФ 26.02.2019.
- Grigoriev S.V., Runov V.V., Okorokov A.I. // Nucl. Instrum. Methods Phys. Res. A. 1997. V. 384. Iss. 2–3. P. 451. https://doi.org/10.1016/S0168-9002(96)00919-9
- Syromyatnikov V.G., Ulyanov V.A., Lauter V., Pusenkov V.M., Ambaye H., Goyette R., Hoffmann M., Bulkin A.P., Kuznetsov I.N., Medvedev E.N. // J. Phys.: Conf. Ser. 2014. V. 528. P. 012021. https://doi.org/10.1088/1742-6596/528/1/012021
- Schebetov A.F., Pleshanov N.K., Syromyatnikov V.G., Pusenkov V.M., Peskov B.G., Shmelev G.E., Soroko Z.N., Ul’yanov V.A. // J. Phys. Soc. Jpn. 1996. V. 65. (Suppl. A). P. 195. http://inis.iaea.org/search/search.aspx?orig_ q= RN:29007485.
- Кащук А.П., Левицкая О.В. // Журн. тех. физики. 2020. Т. 90. № 4. С. 519. https://doi.org/10.21883/JTF.2020.04.49074.84-19
Дополнительные файлы










