Nanoscale Structure of Positive Electrodes for Lithium-Ion Batteries with Graphene-Based Additives according to Small-Angle Neutron Scattering
- Authors: Yerdauletov M.1,2,3, Avdeev M.V.1,4, Tomchuk A.A.1, Napolskiy F.S.4, Djanseitov D.M.2,3, Krivchenko V.A.4
-
Affiliations:
- Frank Laboratory of Neutron Physics, Joint Institute for Nuclear Research
- Institute of Nuclear Physics, Ministry of Energy of the Republic of Kazakhstan
- L.N. Gumilyov Eurasian National University
- Dubna State University
- Issue: No 4 (2023)
- Pages: 61-66
- Section: Articles
- URL: https://ogarev-online.ru/1028-0960/article/view/137739
- DOI: https://doi.org/10.31857/S1028096023040052
- EDN: https://elibrary.ru/JYHLTO
- ID: 137739
Cite item
Full Text
Abstract
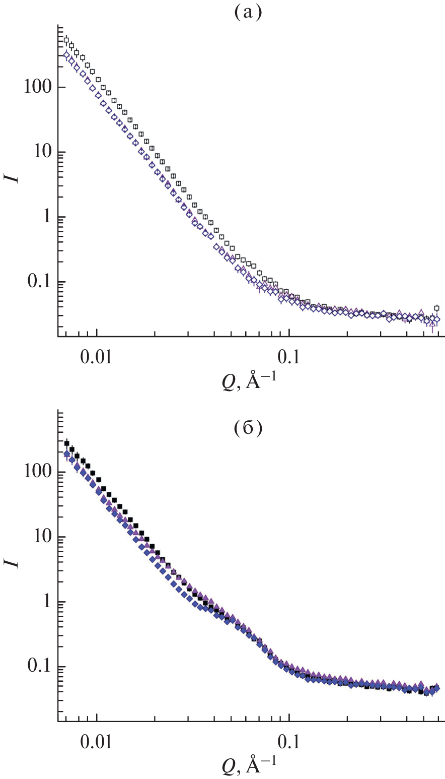
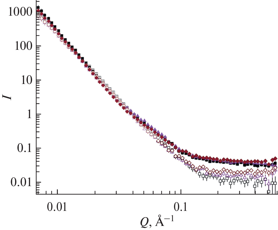
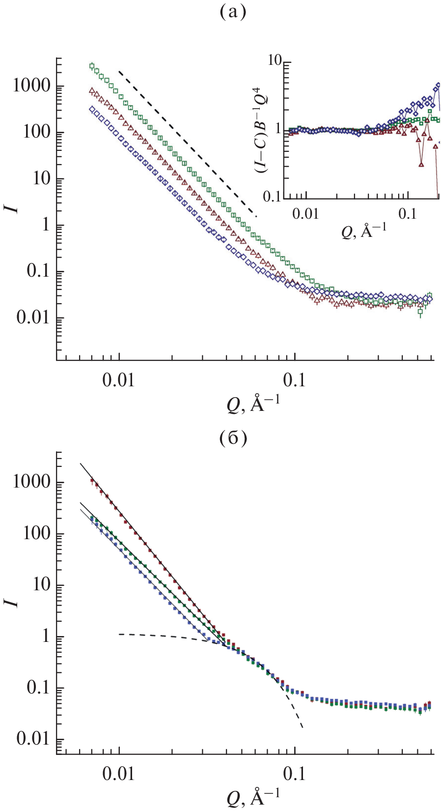
The adaptation of neutron scattering methods for studying the microstructure of electrode materials of lithium-ion batteries was continued in order to improve their characteristics with respect to specific energy. Using small-angle scattering of thermal neutrons, the effect of conductive carbon additives (graphene and graphene oxide) on the porous structure of electrodes made from LiFePO4, Li4Ti5O12 and LiNiMnCoO2 was studied. To separate the scattering by closed and open pores, the electrodes were wetted with a typical liquid electrolyte with a deuterated liquid carrier (dimethyl carbonate), which led to the matching of scattering by open pores. It was established that the electrically conductive carbon additives changed the electrode porosity to varying degrees and affected the wettability of materials both due to different degrees of penetration into the pores of the source material and due to the effect on the initial matrix. A universal effect on the scattering of polymer binder (polyvinylidene fluoride) was also found.
About the authors
M. Yerdauletov
Frank Laboratory of Neutron Physics, Joint Institute for Nuclear Research; Institute of Nuclear Physics, Ministry of Energy of the Republic of Kazakhstan; L.N. Gumilyov Eurasian National University
Email: avd@nf.jinr.ru
Russia, 141980, Moscow Region, Dubna; Kazakhstan, 050032, Almaty; Kazakhstan, 010000, Astana
M. V. Avdeev
Frank Laboratory of Neutron Physics, Joint Institute for Nuclear Research; Dubna State University
Author for correspondence.
Email: avd@nf.jinr.ru
Russia, 141980, Moscow Region, Dubna; Russia, 141980, Moscow region, Dubna
A. A. Tomchuk
Frank Laboratory of Neutron Physics, Joint Institute for Nuclear Research
Email: avd@nf.jinr.ru
Russia, 141980, Moscow Region, Dubna
F. S. Napolskiy
Dubna State University
Email: avd@nf.jinr.ru
Russia, 141980, Moscow region, Dubna
D. M. Djanseitov
Institute of Nuclear Physics, Ministry of Energy of the Republic of Kazakhstan; L.N. Gumilyov Eurasian National University
Email: avd@nf.jinr.ru
Kazakhstan, 050032, Almaty; Kazakhstan, 010000, Astana
V. A. Krivchenko
Dubna State University
Email: avd@nf.jinr.ru
Russia, 141980, Moscow region, Dubna
References
- Napolskiy F., Avdeev M., Yerdauletov M. et al. // Energy Technol. 2020. V. 8. P. 2000146.
- Mei W., Chen H., Suna J., Wang Q. // Sustain. Energy Fuels. 2019. V. 3. P. 148.
- Nitta N., Wu F., Lee J.T., Yushin G. // Mater. Today. 2015. V. 18. P. 252.
- Liu X.-M., Huang Z.D., Oh S. et al. // Composites Sci. Tech. 2012. V. 72. P. 121.
- Claye A., Fischer J., Huffman C. et al. // J. Electrochem. Soc. 2000. V. 147. P. 2845.
- Авдеев M.В., Ердаулетов М.С., Иваньков О.И. и др. // Поверхность. Рентген., синхротр, и нейтрон. исслед. 2019. № 7. С. 57.
- Jiao X., Kirianova A.V., Xu X., et.al. // ACS Appl. Energy Mater. 2023., in press.
- Kuklin A.I., Ivankov A.I., Soloviov D.V. et al. // J. Phys. Conf. Ser. 2018. V. 994. P. 1.
- Soloviev A.G., Solovjeva T.M., Ivankov O.I. et al. // J. Phys. Conf. Ser. 2017. V. 848. P. 012020.
- Tomchuk O.V., Volkov D.S., Bulavin L.A. et al. // J. Phys. Chem. C. 2015. V. 119. P. 794.
- Tomchuk O.V., Avdeev M.V., Aksenov V.L. et al. // Fuller. Nanotubes Carbon Nanostr. 2022. V. 30. № 1. P. 171.
- Vizgalov V.A., Nestler T., Trusov L.A. et al. // CrystEngComm. 2018. V. 20. P. 1375.
- Vizgalov V.A., Nestler T., Vyalikh A. et al. // CrystEngComm. 2019. V. 21. P. 3106.
Supplementary files







