Магнитная структура сверхрешеток Dy–Co вблизи температуры компенсации
- Авторы: Макарова М.В.1,2, Кравцов Е.А.1,2, Проглядо В.В.1, Субботин И.А.3, Пашаев Э.М.3, Холин Д.4, Хайдуков Ю.Н.5,6
-
Учреждения:
- Институт физики металлов УрО РАН
- Уральский федеральный университет
- Национальный исследовательский центр “Курчатовский институт”
- Институт физических проблем им. П.Л. Капицы Российской академии наук
- Институт физики твердого тела общества Макса Планка
- Научно-исследовательский институт ядерной физики им. Скобельцина Московского государственного университета
- Выпуск: № 4 (2023)
- Страницы: 50-54
- Раздел: Статьи
- URL: https://ogarev-online.ru/1028-0960/article/view/137737
- DOI: https://doi.org/10.31857/S102809602304012X
- EDN: https://elibrary.ru/JOJKQF
- ID: 137737
Цитировать
Полный текст
Аннотация
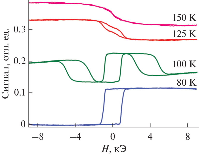
Взаимодополняющими методами рефлектометрии поляризованных нейтронов и керровской магнитометрии проведено исследование магнитного упорядочения многослойной структуры Dy–Co. Установлено, что при напылении слоев происходит частичное перемешивание слоев Dy и Co с образованием интерметаллида DyCo2. Полученные данные позволили определить профили намагниченности отдельных слоев на атомном уровне. Вблизи точки компенсации данные нейтронной рефлектометрии удалось описать в предположении, что магнитной структуры слоев неколлинеарна. Тройные петли гистерезиса, наблюдаемые в той же области температур, вероятнее всего, свидетельствуют о не идентичности внешних и внутренних слоев сверхрешетки. Неоднородность распределения намагниченности по толщине слоя DyCo2 можно объяснить сильным обменным взаимодействием на границах раздела сред. В небольшом внешнем магнитном поле, обменное взаимодействие между слоями образца доминирует над взаимодействием магнитных моментов слоев с внешним магнитным полем, которое характеризуется энергией Зеемана. Антипараллельное упорядочение магнитных моментов слоев Co и DyCo2 искажено приложенным полем, в результате угол между векторами намагниченности максимален только на границах раздела слоев.
Об авторах
М. В. Макарова
Институт физики металлов УрО РАН; Уральский федеральный университет
Автор, ответственный за переписку.
Email: makarova@imp.uran.ru
Россия, 620137, Екатеринбург; Россия, 620002, Екатеринбург
Е. А. Кравцов
Институт физики металлов УрО РАН; Уральский федеральный университет
Email: makarova@imp.uran.ru
Россия, 620137, Екатеринбург; Россия, 620002, Екатеринбург
В. В. Проглядо
Институт физики металлов УрО РАН
Email: makarova@imp.uran.ru
Россия, 620137, Екатеринбург
И. А. Субботин
Национальный исследовательский центр “Курчатовский институт”
Email: makarova@imp.uran.ru
Россия, 123182, Москва
Э. М. Пашаев
Национальный исследовательский центр “Курчатовский институт”
Email: makarova@imp.uran.ru
Россия, 123182, Москва
Д. Холин
Институт физических проблем им. П.Л. Капицы Российской академии наук
Email: makarova@imp.uran.ru
Россия, 119334, Москва
Ю. Н. Хайдуков
Институт физики твердого тела общества Макса Планка; Научно-исследовательский институт ядерной физикиим. Скобельцина Московского государственного университета
Email: makarova@imp.uran.ru
Германия, 70569, Штутгарт; Россия, 119234, Москва
Список литературы
- Mangin S., Gottwald M., Lambert C.-H., Steil D. // Nature Materials. 2014. V. 13. P. 286. https://doi.org/10.1038/NMAT3864
- Kravtsov E., Haskel D., te Velthuis S.G.E., Jiang J.S., Kirby B.J. // Phys. Rev. B. 2009. V. 79. P. 134438. https://doi.org/10.1103/PhysRevB.79.134438
- Drovosekov A.B., Kreines N.M., Savitsky A.O., Kravtsov E.A., Ryabukhina M.V., Proglyado V.V., Ustinov V.V. // J. Phys.: Condens. Matter. 2017. V. 29. P. 115802. https://doi.org/10.1088/1361-648X/aa54f1
- Mangin S., Hauet T., Fischer P., Kim D.H., Kortright J.B., Chesnel K., Arenholz E., Fullerton E.E. // Phys. Rev. B. 2008. V. 78. P. 024424. https://doi.org/10.1103/Phys.RevB.78.024424
- Kirilyuk A., Kimel A.V., Rasing T. // Rev. Mod. Phys. 2010. V. 82. P. 2731. https://doi.org/10.1103/RevModPhys.82.2731
- Lambert C.-H., Mangin S., Varaprasad B.S.D.Ch.S., Takahashi Y.K., Hehn M., Cinchetti M., Malinowski G, Hono K, Fainman Y, Aeschlimann M, Fullerton E.E. // Science. 2014. V. 345. P. 1337. https://doi.org/10.1126/science.1253493
- Romer S., Marioni M.A., Thorwarth K., Joshi N.R., Corticelli C.E., Hug H.J., Oezer S., Parlinska–Wojtan M., Rohrmann H. // Appl. Phys. Lett. 2012. V. 101. P. 222404. https://doi.org/10.1063/1.4767142
- Becker J., Tsukamoto A., Kirilyuk A. // Phys. Rev. Lett. 2017. V. 118. P. 117203. https://doi.org/10.1103/PhysRevLett.118.117203
- Arora A., Mawass M.-A., Sandig O., Luo Ch., Ünal Ah.A., Radu F., Valencia S., Kronast F. // Sci. Rep. 2017. V. 7. P. 9456. https://doi.org/10.1038/s41598-017-09615-1
- Shan Z.S., Sellmyer D.J. // Phys. Rev. B. 1990. V. 42. № 16. P. 10433. https://doi.org/10.1103/PhysRevB.42.10433
- Shan Z.S., Sellmyer D.J., Jaswal S.S., Wang Y.J., Shen J.X. // Phys. Rev. Lett. 1989. V. 63. № 4. P.443. https://doi.org/10.1103/physrevlett.6.449
- Subbotin I.A., Pashaev E.M., Vasiliev A.L., Chesnokov Yu.M., Prutskov G.V., Kravtsov E.A., Makarova M.V., Proglyado V.V., Ustinov V.V. // Physica B. 2019. V. 573. P. 28. https://doi.org/10.1016/j.physb.2019.06.044
- Макарова М.В., Кравцов Е.А., Проглядо В.В., Хайдуков Ю.Н., Устинов В.В. // ФТТ. 2020. Т. 62. № 9. С. 1499.
- Yakunin S.N., Makhotkin I.A., Nikolaev K.V., van de Kruijs R.W.E., Chuev M.A., Bijkerk F. // Optics Express. 2014. V.22. № 17. P. 20076. https://doi.org/10.1364/OE.22.020076
- Zameshin A.A., Makhotkin I.A., Yakunin S.N., van de Kruijs R.W., Yakshin A.E., Bijkerk F. // J. Appl. Crystallography. 2016. V. 49. № 4. P. 1300. https://doi.org/10.1364/OE.22.020076
- Chesnokov Y.M., Vasiliev A.L., Prutskov G.V., Pashaev E.M., Subbotin I.A., Kravtsov E.A., Ustinov V.V. // Thin Solid Films. 2017. V. 632. P. 79. https://doi.org/10.1016/j.tsf.2017.04.033
- Björck M., Andersson G. // J. Appl. Cryst. 2007. V. 40. P. 1174. https://doi.org/10.1107/S0021889807045086
- Chen K., Lott D., Radu F. // Sci. Rep. 2015. P. 18377. https://doi.org/10.1038/srep18377
- Higgs T.D.C., Bonetti S., Ohldag H., Banerjee N., Wang X.L., Rosenberg A.J., Cai Z., Zhao J.H., Moler K.A., Robinson J.W.A. // Sci. Rep. 2016. V. 6. P. 30092. https://doi.org/10.1038/srep30092
- Liao J., He H., Zhang Z., Ma B., Jin Q.Y. // J. Appl. Phys. 2011. V. 109. P. 023907. https://doi.org/10.1063/1.3536476





