Моделирование потенциальной энергии взаимодействия двух атомов с помощью решения системы нелинейных уравнений
- Авторы: Кощеев В.П.1, Штанов Ю.Н.2
-
Учреждения:
- Московский авиационный институт (национальный исследовательский университет, филиал “Стрела”
- Тюменский индустриальный университет, филиал ТИУ в г. Сургуте
- Выпуск: № 3 (2023)
- Страницы: 69-73
- Раздел: Статьи
- URL: https://ogarev-online.ru/1028-0960/article/view/137725
- DOI: https://doi.org/10.31857/S1028096023020048
- EDN: https://elibrary.ru/GKSDEG
- ID: 137725
Цитировать
Полный текст
Аннотация
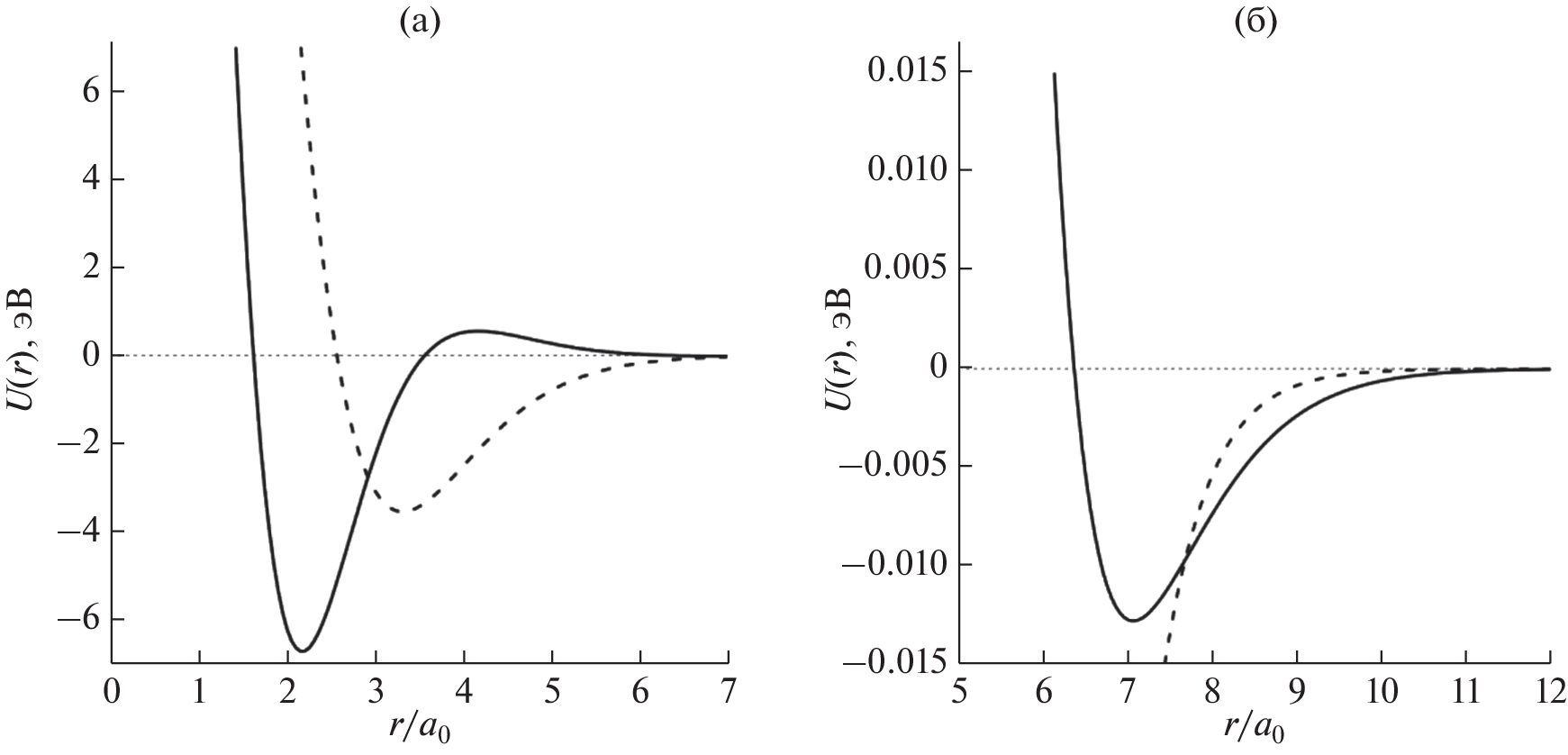
В первом порядке теории возмущений показано, что потенциальная энергия взаимодействия двух атомов может быть вычислена с помощью решения системы нелинейных уравнений. Систему уравнений строили как с учетом, так и без учета принципа Паули, а атомный формфактор вычисляли с использованием волновых функций, которые аппроксимируют решение уравнения Хартри–Фока для изолированных атомов азота. График потенциальной энергии взаимодействия двух атомов азота удовлетворительно согласуется с известными результатами при учете принципа Паули. Показано, что без учета принципа Паули и коллективных колебаний электронов атомов получить согласие с экспериментом не представляется возможным. Показано, что полная энергия двухатомной молекулы является функционалом, который зависит от электронной плотности изолированных атомов.
Об авторах
В. П. Кощеев
Московский авиационный институт (национальный исследовательский университет,филиал “Стрела”
Автор, ответственный за переписку.
Email: koshcheev1@yandex.ru
Россия, 140180, Московская область, Жуковский
Ю. Н. Штанов
Тюменский индустриальный университет, филиал ТИУ в г. Сургуте
Автор, ответственный за переписку.
Email: yuran1987@mail.ru
Россия, 628404,
Сургут
Список литературы
- Кощеев В.П., Штанов Ю.Н. // Письма в ЖТФ. 2018. Т. 44. Вып. 13. С. 28. https://doi.org/10.21883/PJTF.2018.13.46324.17133
- Кощеев В.П., Штанов Ю.Н. // Поверхность. Рентген., синхротр. и нейтрон. исслед. 2019. № 8. С. 53. https://doi.org/10.1134/S0207352819080079
- Кощеев В.П., Штанов Ю.Н. // Поверхность. Рентген., синхротр. и нейтрон. исслед. 2020. № 8. С. 97. https://doi.org/10.31857/S1028096020080105
- Кощеев В.П., Штанов Ю.Н. // Поверхность. Рентген., синхротр. и нейтрон. исслед. 2022. № 2. С. 109. https://doi.org/10.31857/S1028096022020066
- Кощеев В.П., Штанов Ю.Н. // Письма в ЖТФ. 2022. Т. 48. Вып. 10. С. 28. https://doi.org/10.21883/PJTF.2022.10.52553.19148
- Дирак П.А.М. Принципы квантовой механики. М.: Наука, 1979. 479 с.
- Ландау Л.Д., Лифшиц Е.М. Квантовая механика (нерелятивистская теория). М.: Наука, 1974. 752 с.
- Бете Г. Квантовая механика. М.: Мир, 1965. 333 с.
- Лифшиц Е.М., Питаевский Л.П. Физическая кинетика. М.: Физматлит, 2007. 536 с.
- Сарры А.М., Сарры М.Ф. // ФТТ. 2012. Т. 54. Вып. 6. С. 1237. https://www.elibrary.ru/rcsqrj
- Clementi E., Roetti C. // Atomic Data and Nuclear Data Tables. 1974. V. 14. № 3. P. 177. https://doi.org/10.1016/S0092-640X(74)80016-1
- А.с. 2 020 617 054 (РФ). Программа для моделирования потенциальной энергии взаимодействия атомов с водородоподобными волновыми функциями / Роспатент. Штанов Ю.Н., Кощеев В.П. // Б.И. 2020. С. 1.
- Штанов Ю.Н., Кощеев В.П., Моргун Д.А. Библиотека программ “JINRLIB”. URL: http://wwwinfo.jinr.ru/programs/jinrlib/tropics/index.html [Электронный ресурс] (дата обращения: 20.05.2022).
- Seunghoon L., Huanchen Z., Sandeep S., Umrigar C. J., Kin-Lic Chan G. // J. Chem. Theory Comput. 2021. V. 17. № 6. P. 3414. https://doi.org/10.1021/acs.jctc.1c00205
- Bhattacharya D., Shamasundar K.R., Emmanouilidou A. // J. Phys. Chem. A. 2021. V. 125. № 36. P. 7778. https://doi.org/10.1021/acs.jpca.1c04613
- Xiangzhu Li, Paldus J. // J. Chem. Phys. 2008. V. 129. P. 054104. https://doi.org/10.1063/1.2961033





