Воздействие потоков кислородной плазмы на полимерные нанокомпозиты с углеродными наполнителями
- Авторы: Парфимович И.Д.1, Комаров Ф.Ф.1, Власукова Л.А.2, Пархоменко И.Н.2, Новиков Л.С.3, Черник В.Н.3, Жигулин Д.В.4
-
Учреждения:
- НИУ “Институт прикладных физических проблем им. А.Н. Севченко Белорусского государственного университета”
- Белорусский государственный университет
- Московский государственный университет им. М.В. Ломоносова, НИИЯФ им. Д.В. Скобельцына
- ОАО “Интеграл”
- Выпуск: № 1 (2023)
- Страницы: 31-36
- Раздел: Статьи
- URL: https://ogarev-online.ru/1028-0960/article/view/137656
- DOI: https://doi.org/10.31857/S102809602301020X
- EDN: https://elibrary.ru/GOLOIX
- ID: 137656
Цитировать
Полный текст
Аннотация
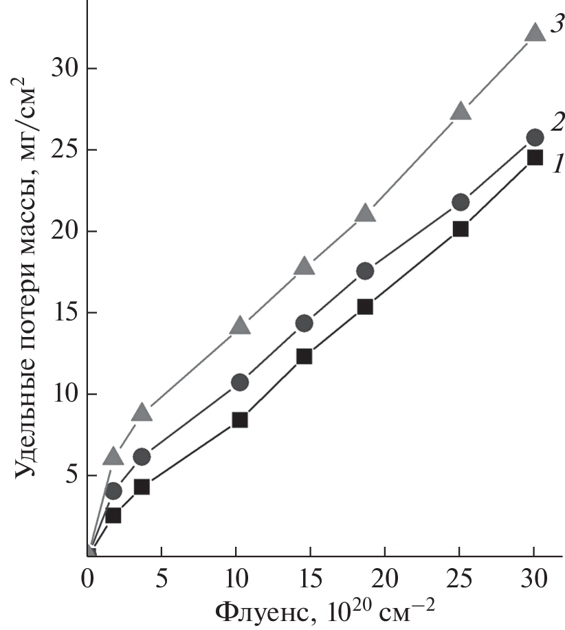
Для оценки стойкости полимерных нанокомпозитов к воздействию атомарного кислорода на низких околоземных орбитах изучено воздействие кислородной плазмы на структурные и оптические свойства эпоксидной смолы с добавлением графена и углеродных нанотрубок серии “Таунит-М”. Показано, что добавление углеродных наполнителей в эпоксидную смолу приводит к увеличению потери массы и глубины эрозии при воздействии кислородной плазмы. Массовый коэффициент эрозии при флуенсе атомарного кислорода 30 × 1020 см–2 составляет 0.82 × 10–23 г/ат. для чистой эпоксидной смолы и 0.86 × 10–23 и 1.06 × 10–23 г/ат. для образцов с графеном и “Таунитом-М” соответственно. В образце с наполнителем “Таунит-М” наблюдается бо́льшая потеря массы и глубина эрозии в результате облучения в кислородной плазме в сравнении с образцом с наполнителем “графен”. Обработка углеродных нанокомпозитов в кислородной плазме приводит к значительному снижению коэффициентов отражения в спектральной области 0.2–2.5 мкм. Наиболее низкие коэффициенты диффузного (менее 1%) и зеркального (менее 0.02%) отражения характерны для облученного полимера с наполнителем “Таунит-М”.
Об авторах
И. Д. Парфимович
НИУ “Институт прикладных физических проблемим. А.Н. Севченко Белорусского государственного университета”
Автор, ответственный за переписку.
Email: parfimovich@bsu.by
Беларусь, 220045, Минск
Ф. Ф. Комаров
НИУ “Институт прикладных физических проблемим. А.Н. Севченко Белорусского государственного университета”
Email: parfimovich@bsu.by
Беларусь, 220045, Минск
Л. А. Власукова
Белорусский государственный университет
Email: parfimovich@bsu.by
Беларусь, 220045, Минск
И. Н. Пархоменко
Белорусский государственный университет
Email: parfimovich@bsu.by
Беларусь, 220045, Минск
Л. С. Новиков
Московский государственный университет им. М.В. Ломоносова,НИИЯФ им. Д.В. Скобельцына
Email: parfimovich@bsu.by
Россия, 119991, Москва
В. Н. Черник
Московский государственный университет им. М.В. Ломоносова,НИИЯФ им. Д.В. Скобельцына
Email: parfimovich@bsu.by
Россия, 119991, Москва
Д. В. Жигулин
ОАО “Интеграл”
Email: parfimovich@bsu.by
Беларусь, 220108, Минск
Список литературы
- Amorim A.A.P.O., Oliveira M.G., Mancini M.C., Sirqueira A.S. // SN. Appl. Sci. 2021. V. 3. P. 236. https://doi.org/10.1007/s42452-021-04247-7
- Ghasemi-Kahrizsangi A., Shariatpanahi H., Neshati J., Akbarinezhad E. // Appl. Surf. Sci. 2015. V. 331. P. 115.https://doi.org/10.1016/j.apsusc.2015.01.038
- Gojny F., Wichmann M., Fiedler B., Schulte K. // Compos. Sci. Technol. 2005. V. 65. P. 2300.https://doi.org/10.1016/j.compscitech.2005.04.021
- Pan G., Guo Q., Ding J., Zhang W., Wang X. // Tribol. Int. 2010. V. 43. P. 1318.https://doi.org/10.1016/j.triboint.2009.12.068
- El-Tantawy F., Kamada K., Ohnabe H. // Mater. Lett. 2002. V. 56. P. 112.https://doi.org/10.1016/S0167-577X(02)00401-9
- Ghasemi-Kahrizsangi A., Neshati J., Shariatpanahi H., Akbarinezhad E. // Prog. Org. Coat. 2015. V. 85. P. 199.https://doi.org/10.1016/j.porgcoat.2015.04.011
- Ghasemi-Kahrizsangi A., Shariatpanahi H., Neshati J., Akbarinezhad E. // Appl. Surf. Sci. 2015. V. 353. P. 530.https://doi.org/10.1016/j.apsusc.2015.06.029
- Rohini R., Verma K., Bose S. // ACS Omega. 2018. V. 3. P. 3974.https://doi.org/10.1021/acsomega.8b00218
- Chakradhary V.K., Juneja S., Jaleel Akhtar M. // Mater. Today Commun. 2020. V. 25. P. 101386.https://doi.org/10.1016/j.mtcomm.2020.101386
- Mohan L., Kumar T.N., Karakkad S., Krishnan S.T. // IEEE Trans. Nanotechnol. 2021. V. 20. P. 627.https://doi.org/10.1109/TNANO.2021.3103955
- Bellucci S., Coderoni L., Micciulla F., Rinaldi G., Sacco I. // J. Nanosci. Nanotechnol. 2011. V. 11. P. 9110.https://doi.org/10.1166/jnn.2011.4281
- Piddubnyi V.K., Zin’ I.M., Lavryshyn B.M., Bilyi L.M., Kolodii Y.I., Ratushna M.B. // Mater. Sci. 2005. V. 41. P. 265.https://doi.org/10.1007/s11003-005-0160-4
- Soltani S., Razinobakht S.A., Asmatulu R.// J. Appl. Polym. Sci. 2020. V. 137. P. 49106.https://doi.org/10.1002/app.49106
- Krieg A.S., King J.A., Jaszczak D.C., Miskoglu I., Mills O.P., Odegard G.M. // J. Compos. Mater. 2018. V. 52. P. 3909.https://doi.org/10.1177/0021998318771460
- Baskey H.B., Jaleel Akhtar M. // 2013 IEEE Appl. Electromagn. Conf. 2013. P. 1. https://doi.org/10.1109/AEMC.2013.7045065
- Панасюк М.И., Новиков Л.С. Модель космоса: научно-информационное издание. Т. 2. Воздействие космической среды на материалы и оборудование космических аппаратов. M.: КДУ, 2007. 1144 с.
- Banks B.A., de Groh K.K., Miller S.K. // MRS Proc. 2004. V. 851. P. 426. https://doi.org/10.1557/PROC-851-NN8.1
- Акишин А.И., Новиков Л.С., Черник В.Н. // Новые наукоемкие технологии в технике. Энциклопедия. Ред. Новиков Л.С., Панасюк М.И. М.: Энцитех, 2000. С. 100.
- Jiang H., Li T., Chai L., Liu X., Zhai R., Zhao X. // Protection Mater. Struct. Space Environ. 2017. P. 303.https://doi.org/10.1007/978-3-319-19309-0_31
- Voronina E.N., Novikov L.S. // Protection Mater. Struct. Space Environ. 2017. V. 47. P. 283. https://doi.org/10.1007/978-3-319-19309-0_29
- Новиков Л.С., Воронина Е.Н., Черник В.Н., Чеченин Н.Г., Макунин А.В., Воробьева Е.А. // Поверхность. Рентген., синхротр. и нейтрон. исслед. 2016. Т. 6. С. 49.https://doi.org/10.7868/S0207352816060147
- Серенко О.А., Андропова У.С., Сапожников Д.А., Бузин М.И., Тебенева Н.А., Черник В.Н., Новиков Л.С., Воронина Е.Н., Кононенко А.В. // Поверхность. Рентген., синхротр. и нейтрон. исслед. 2020. Т. 3. С. 71.https://doi.org/10.31857/S1028096020030164
- А.с. 1 797 448 (СССР). Газоразрядный источник плазмы дугоплазматронного типа / МГУ. Черник В.Н. // Бюл. 1995. № 19. 3 с.
- Chernik V.N. // Proc. 7th Int. Symp. Mater. Sp. Environ. 1997. P. 237.
- Новиков Л.С. Черник В.Н. Применение плазменных ускорителей в космическом материаловедении. М.: Университетская книга, 2008. 89 с.
- Standard Practices for Ground Laboratory Atomic Oxygen Interaction Evaluation of Materials for Space Applications (2020) World Trade Organization Technical Barriers to Trade. https://www.astm.org/e2089-15r20.html Cited 19 May 2022.
- Chernik V., Novikov L., Akishin A. // Proc. 10th ISMSE, 8th ICPMSE, Collioure, France: Noordwijk, The Netherlands: ESA. 2006. P. 4.
- Черник В.Н. // Поверхность. Рентген., синхротр. и нейтрон. исслед. 2014. Т. 3. С. 44.https://doi.org/10.7868/S0207352814030093
- Kosynkin D.V., Higginbotham A.L., Sinitskii A., Lomeda J.R., Dimiev A., Price B.K., Tour J.M. // Nature. 2009. V. 458. P. 872.https://doi.org/10.1038/nature07872
- Rafiee M.A., Rafiee J., Wang Z., Song H., Yu Z.-Z., Koratkar N. // ACS Nano. 2009. V. 3. P. 3884.https://doi.org/10.1021/nn9010472
Дополнительные файлы







