Activation of the Sympathoadrenal System under the Influence of Glucagon-Like Peptide-1 Mimetic in Rats
- Authors: Balbotkina E.V.1, Marina A.S.1, Kutina A.V.1
-
Affiliations:
- Sechenov Institute of Evolutionary Physiology and Biochemistry of the Russian Academy of Sciences
- Issue: Vol 41, No 4 (2024)
- Pages: 352-361
- Section: Articles
- URL: https://ogarev-online.ru/1027-8133/article/view/273863
- DOI: https://doi.org/10.31857/S1027813324040066
- EDN: https://elibrary.ru/EHATPO
- ID: 273863
Cite item
Full Text
Abstract
Glucagon-like peptide-1 (GLP-1) is the main incretin that ensures insulin secretion and normalization of postprandial glycemia. GLP-1 mimetics are used for treatment of type 2 diabetes mellitus and obesity. Besides the insulinotropic effect, GLP-1 and its mimetics have been shown to affect on the functions of the cardiovascular and endocrine systems, the central mechanisms of appetite and metabolism regulation, the ion-regulatory and osmoregulatory renal functions, and a paradoxical hyperglycemic effect of incretin mimetics was also discovered. In current work the mechanisms by which the sympathoadrenal system is involved in the development of hyperglycemic and natriuretic effects of the GLP-1 mimetic exenatide in rats were studied. Experiments with healthy rats revealed that GLP-1 and its mimetic exenatide augmented the renal sodium excretion. Exenatide at doses of 0.15-5 nmol/kg, but not GLP-1 (1.5 nmol/kg), showed a hyperglycemic effect (blood glucose increased to 7.2–9.1 mM during the first hour). It has been shown that the rise of blood glucose level in rats administrated with incretin mimetic was associated with increase in renal excretion of catecholamine metabolites, was delayed by preliminary injection of a ganglionic blocker (pentamine 30 mg/kg) and was considerably leveled by non-selective β- and selective β2-adrenergic blockers (propranolol 5 mg/kg, ICI-118551 1 mg/kg). A significant modulation of natriuresis was revealed in response to the administration of exenatide during blockade of various adrenergic receptors subtypes. α1- and α2-blockers appreciably reduced (by 80%), and β1- and β2-blockers increased (by 150%) exenatide-stimulated renal sodium excretion. Thus, the data obtained indicate on the exenatide-induced activation of the sympathoadrenal system, which modulates the direction and severity of the incretin mimetic effects on blood glucose level and renal sodium excretion in healthy animals. The potential action on the sympathoadrenal system is important to consider when assessing the risk of adverse side effects during incretin mimetic therapy.
Full Text
Список использованных сокращений:
ГПП-1 – глюкагоноподобный пептид-1
ДПП-4 – дипептидилпептидаза-4
ВВЕДЕНИЕ
Глюкагоноподобный пептид-1 (ГПП-1) является основным инкретином, гормоном, секретируемым L-клетками подвздошной кишки и вызывающим глюкозозависимую секрецию инсулина и нормализацию постпрандиального уровня гликемии [1]. Миметики или агонисты рецепторов ГПП-1 (инкретиномиметики) и ингибиторы фермента, расщепляющего ГПП-1 (ингибиторы дипептидилпептидазы-4 (ДПП-4)), все шире внедряются в клиническую практику для лечения пациентов с сахарным диабетом 2 типа и ожирением [2]. Наряду с основным действием на углеводный обмен, аппетит и потребление пищи ГПП-1 и его миметики оказывают кардио- и нейропротективное действие, влияют на водно-солевой обмен и функции почек, на метаболизм костей и развитие остеопороза и т.д. [3]. В нашей лаборатории, а также в ряде работ других авторов была выявлена парадоксальная способность миметиков ГПП-1 (эксенатид [4–5], лираглутид [6]) повышать уровень глюкозы в крови у здоровых крыс, что может быть обусловлено активацией симпатической нервной системы и надпочечников. Показано, что гипергликемический эффект эксенатида ингибируется антагонистом рецептора ГПП-1 [4–5], устраняется введением гексометония (ганглиоблокатор) и гуанетидина (истощает запас норадреналина в адренэргических окончаниях) [6] и отсутствует у крыс после адреналэктомии [4]. Известно, что катехоламины, высвобождающиеся из симпатических нервных окончаний в тканях и секретируемые мозговым веществом надпочечников в кровь, вовлечены в регуляцию секреции инсулина и глюкагона поджелудочной железой, потребления глюкозы скелетными мышцами и жировой тканью, гликогенолиза и глюконеогенеза в печени. Эти многочисленные эффекты катехоламинов опосредуются различными подтипами адренорецепторов. При высоких уровнях циркулирующих катехоламинов развивается нарушение толерантности к глюкозе и гипергликемия [7]. Исследований, посвященных вкладу отдельных подтипов адренорецепторов в реализацию гипергликемического эффекта миметиков ГПП-1, не проводилось. Определение механизмов парадоксального гипергликемического ответа на инкретиномиметики является важным для понимания вовлечения ГПП-1 в регуляцию симпатоадреналовой системы, а также для оценки рисков развития неблагоприятных побочных эффектов при терапии инкретиномиметиками и ингибиторами деградации ГПП-1.
Ранее в нашей лаборатории было показано и детально исследовано натрийуретическое действие ГПП-1 и его миметиков [8–9]. Показано, что основным механизмом натрийуреза при действии ГПП-1 и его миметиков является угнетение реабсорбции натрия в проксимальном отделе нефрона [10–11]. Остается открытым вопрос о модуляции натрийуретического эффекта миметиков ГПП-1 при сопутствующей активации симпатоадреналовой системы.
Цель работы – исследование механизмов участия симпатоадреналовой системы в развитии гипергликемического и натрийуретического эффектов миметика ГПП-1 эксенатида у крыс. В задачи работы входили оценка эффектов эксенатида и ГПП-1 на уровень глюкозы капиллярной крови и на экскрецию ионов натрия почками, анализ экскреции с мочой метаболитов адреналина и норадреналина при действии эксенатида у крыс, исследование эффектов различных адреноблокаторов и ганглиоблокатора на уровень глюкозы в крови и экскрецию ионов натрия почками у крыс после введения эксенатида.
МЕТОДЫ ИССЛЕДОВАНИЯ
Исследования проведены на 60 самках крыс Вистар в возрасте 2–3 мес. Животные были получены из экспериментально-биологической клиники ИЭФБ РАН. В виварии животные содержались при стандартном световом (12/12 часов) и температурном режимах в клетках по 5 особей и получали гранулированный корм для грызунов (ООО “Аллер Петфуд”, Россия) и воду ad libitum. Во всех экспериментах животные участвовали натощак, для чего их за 10 часов до опыта лишали корма при сохранении свободного доступа к воде. До проведения основных серий экспериментов крыс адаптировали к экспериментальным условиям и клеткам для сбора мочи.
Основные серии экспериментов:
- Исследование эффектов эксенатида (Баета®, Eli Lilly, США), вводимого внутримышечно в дозах 0.05, 0.15, 0.5, 1.5 и 5 нмоль/кг, на уровень глюкозы капиллярной крови (через 30 мин) и экскрецию ионов натрия почками за 2 часа.
- Оценка экскреции с мочой метаболитов адреналина и норадреналина в контрольной группе и при действии эксенатида в дозах 0.5 и 1.5 нмоль/кг. В пробирку для сбора мочи добавляли 6Н HCl из расчета 10 мкл на 1 мл пробы в качестве консерванта.
- Исследование эффектов адреноблокаторов и ганглиоблокатора на уровень глюкозы в крови и экскрецию ионов натрия почками у крыс после введения эксенатида.
Ганглиоблокатор пентамин (ОАО “Дальхимфарм”, Россия) в дозе 30 мг/кг и адреноблокаторы (табл. 1) вводили внутрибрюшинно в объеме 1 мл/кг за 30 мин до инъекции эксенатида в дозах 0.5 или 5 нмоль/кг внутримышечно. Дозы адреноблокаторов были подобраны на основании данных литературы [12–13] и предварительных пилотных исследований в нашей лаборатории.
Таблица 1. Селективность и дозы адреноблокаторов, использованных в работе
Название | Селективность | Доза, мг/кг | Растворитель |
Фентоламин* | α | 1 | вода для инъекций |
Доксазозин$ | α1 | 1 | 5% ДМСО |
Раувольфсцин$ | α2 | 1 | вода для инъекций |
Пропранолол$ | β | 5 | вода для инъекций |
Атенолол$ | β1 | 2 | вода для инъекций |
ICI-118551$ | β2 | 1 | вода для инъекций |
L-748337# | β3 | 1 | 5% ДМСО |
Производитель: * – TRC (Канада), $ – Sigma-Aldrich (США), # – Tocris (Великобритания).
- Исследование эффектов ГПП-1 на уровень глюкозы капиллярной крови (через 30 мин) и экскрецию ионов натрия почками за 2 часа.
ГПП-1 (Bachem, США) вводили внутрибрюшинно в дозе 1.5 нмоль/кг с или без предварительного введения ингибитора ДПП-4 вилдаглиптина (Matrix Scientific, США) в дозе 1 мг/кг внутрибрюшинно за 30 мин до ГПП-1 [14].
Эксперименты на животных проводили 1 раз в неделю в течение 1.5 мес. Рандомизация на группы проводилась в начале каждой недели. Общая схема экспериментальных групп представлена на рис. 1. Утром крыс забирали из вивария и после введения им препаратов в соответствии со схемой экспериментов помещали на 2 или 4 часа в индивидуальные клетки-пеналы с проволочным дном и мерной пробиркой для сбора мочи. Уровень глюкозы определяли глюкометром AccuChek Performa Nano (Roche Diagnostics, Германия) через 30 мин после инъекции ГПП-1 или эксенатида в капле капиллярной крови, полученной из кончика хвоста. Во время эксперимента крысы не имели доступа к воде и корму. После каждого опыта крыс возвращали в клетки вивария.
Рис. 1. Схема экспериментальных групп
Р – рандомизация на группы (3, 4 или 6 групп по 10 животных в каждой), О – отдых, М 2 и М 4 – сбор мочи 2 и 4 часа, Г 30 и Г дин – определение глюкозы капиллярной крови из кончика хвоста на 30 мин или в динамике на 0, 30, 60, 90 и 120 мин эксперимента. Э 0.05, Э 0.15, Э 0.5, Э 1.5 и Э 5 – эксенатид в дозах 0.05, 0.15, 0.5, 1.5 и 5 нмоль/кг, ГПП-1 – глюкагоноподобный пептид-1 (1.5 нмоль/кг), В – вилдаглиптин (1 мг/кг), П – пентамин (30 мг/кг), α – фентоламин (1 мг/кг), α1 – доксазозин (1 мг/кг), α2 – раувольсцин (1 мг/кг), β – пропранолол (5 мг/кг), β1 – атенолол (2 мг/кг), β2 – ICI-118551 (1 мг/кг), β3 – L-748337 (1 мг/кг), К – контроль ($ – 0.9% раствор NaCl внутримышечно 1 мл/кг, # – 5% ДМСО внутрибрюшинно 1 мл/кг + 0.9% раствор NaCl внутримышечно 1 мл/кг, & – 0.9% NaCl внутрибрюшинно 1 мл/кг, § – вода для инъекций внутрибрюшинно 1 мл/кг + 0.9% раствор NaCl внутримышечно 1 мл/кг). В некоторых сериях дополнительно к эксенатиду в качестве контроля к антагонистам адренорецепторов вводили: @ – вода для инъекций внутрибрюшинно 1 мл/кг, * – 5% водный раствор ДМСО внутрибрюшинно 1 мл/кг
В пробах мочи определяли концентрацию креатинина кинетическим методом по реакции Яффе на автоматическом биохимическом анализаторе Erba XL-200 (Чехия) и концентрацию ионов натрия на пламенном фотометре Sherwood-420 (Великобритания). Измерение концентрации метанефрина и норметанефрина в моче было выполнено методом ВЭЖХ на хромато-масс-спектрометре LCMS-8060 (Shimadzu, Япония) специалистами КЛД АО “Северо-западного центра доказательной медицины”.
Параметры функции почек рассчитывали по стандартным формулам и нормализовали на кг массы тела. Показатели гликемии и функциональные показатели работы почек были обработаны методами непараметрической статистики в программе GraphPad Prism 8. Для описания данных использовалась медиана и межквартильный размах, для сравнения групп – критерии Крускала-Уоллиса и Манна-Уитни, при множественных сравнениях групп применялась поправка Бонферрони. Различия рассматривались как статистически значимые при p < 0.05. В каждую экспериментальную группу было включено по 10 животных, что потенциально достаточно для выявления 30% различий в исследуемых параметрах (величина эффекта d = 1.4) при мощности критериев 0.80 и уровне значимости 0.05.
РЕЗУЛЬТАТЫ ИССЛЕДОВАНИЯ
Подтвержден парадоксальный гипергликемический эффект инкретиномиметика и выявлен диапазон доз, в котором он проявляется. Эксенатид в дозах от 0.15 нмоль/кг и выше вызывал статистически значимый рост уровня глюкозы крови (рис. 2). Через 30 мин после инъекции эксенатида в дозах 0.5-5 нмоль/кг концентрация глюкозы в крови достигала 8.4 (7.4; 8.9) мМ. Экскреция ионов натрия с мочой возросла после введения миметика ГПП-1 в дозах от 0.15 нмоль до 5 нмоль/кг. Эксенатид в дозе 0.5 нмоль/кг вызывал максимальный натрийурез, далее кривая дозозависимости выходила на плато (рис. 2).
Рис. 2. Концентрация глюкозы в крови и экскреция ионов натрия с мочой у крыс после введения эксенатида в различных дозах
Здесь и на рис. 3–9 данные представлены в виде медианы и межквартильных размахов, здесь и на рис. 3–6 и 8–9 точками показаны отдельные наблюдения.
* – статистически значимые различия по сравнению с контролем (0 нмоль/кг), критерий Манна-Уитни с поправкой Бонферрони на 5 сравнений
В отличие от эксенатида сам инкретин ГПП-1 в дозе 1.5 нмоль/кг не оказывал влияния на уровень глюкозы в крови животных (рис. 3). Концентрация глюкозы крови не отличалась от таковой в контрольной группе как при инъекции ГПП-1, так и при совместном введении ГПП-1 с ингибитором ДПП-4. Наблюдался рост экскреции ионов натрия почками при действии ГПП-1 совместно с вилдаглиптином. Натрийурез был сопоставим по величине с эффектом высоких доз эксенатида (рис. 3).
Рис. 3. Концентрация глюкозы в крови и экскреция ионов натрия с мочой у крыс после введения ГПП-1, вилдаглиптина, ГПП-1 + вилдаглиптина
К – контроль (0.9% раствор NaCl внутрибрюшинно 1 мл/кг), В – вилдаглиптин (1 мг/кг), ГПП-1 – глюкагоноподобный пептид-1 (1.5 нмоль/кг)
* – статистически значимые различия по сравнению с контролем, критерий Манна-Уитни с поправкой Бонферрони на 3 сравнения
Для проверки гипотезы об активации симпатоадреналовой системы в ответ на введение миметика ГПП-1 была оценена экскреция метаболитов адреналина и норадреналина с мочой. Введение эксенатида в дозах 0.5 и 1.5 нмоль/кг дозозависимо увеличивало экскрецию почками метанефрина в 9 и 17 раз, а норметанефрина в 2 и 2.5 раза (рис. 4), что свидетельствует о повышении уровня катехоламинов в крови у животных.
Рис. 4. Экскреция метаболитов адреналина и норадреналина с мочой у крыс после введения эксенатида
* – статистически значимые различия по сравнению с контролем (0 нмоль/кг), критерий Манна-Уитни с поправкой Бонферрони на 2 сравнения
Было предположено, что основным источником катехоламинов при действии эксенатида является мозговое вещество надпочечников, и проведена серия экспериментов с предварительным введением животным ганглиоблокатора пентамина. Пентамин является антагонистом Н-холинорецепторов в вегетативных ганглиях и должен блокировать передачу сигнала с преганлионарных на постганглионарные волокна, а также на хромафинные клетки мозгового вещества надпочечников. Предварительное введение пентамина задержало рост гликемии в ответ на инкретиномиметик: через 30 мин после введения эксенатида в дозах 0.5 и 5 нмоль/кг концентрация глюкозы в крови была значимо ниже, чем у животных, которым вводили только эксенатид (рис. 5). Введение ганглиоблокатора без эксенатида не влияло на уровень глюкозы в крови (рис. 5).
Рис. 5. Влияние ганглиблокатора пентамина на развитие гипергликемии у крыс после введения эксенатида
К – контроль (вода для инъекций внутрибрюшинно 1 мл/кг + 0.9% раствор NaCl внутримышечно 1 мл/кг), П – пентамин (30 мг/кг), Э 0.5 и Э 5 – эксенатид (0.5 и 5 нмоль/кг)
* – статистически значимые различия по сравнению с соответствующей группой без введения пентамина, критерий Манна-Уитни
Для анализа механизма гипергликемии при действии эксенатида был использован ряд неселективных и селективных адреноблокаторов. Неселективный α-адреноблокатор фентоламин не препятствовал повышению концентрации глюкозы в крови, в то время как неселективный β-блокатор пропранолол снижал прирост уровня гликемии в ответ на инъекцию миметика ГПП-1 (рис. 6). Пропранолол уменьшал гипергликемию вызванную как низкой (0.5 нмоль/кг), так и высокой (5 нмоль/кг) дозой эксенатида (рис. 6). Введение пропранолола без эксенатида не влияло на уровень глюкозы в крови (рис. 6).
Рис. 6. Влияние неселективных α- и β-адреноблокаторов на концентрацию глюкозы в крови у крыс
К – контроль (вода для инъекций внутрибрюшинно 1 мл/кг + 0.9% раствор NaCl внутримышечно 1 мл/кг), Э 0.5 и Э 5 – эксенатид (0.5 и 5 нмоль/кг), β – неселективный β-адреноблокатор пропранолол в дозе 5 мг/кг, α – неселективный α-адреноблокатор фентоламин в дозе 1 мг/кг
* – статистически значимые различия по сравнению с соответствующей группой без введения адреноблокаторов, критерий Манна-Уитни без или с поправкой Бонферрони на 2 сравнения
Характер действия пентамина и пропранолола на уровень гликемии после инъекции эксенатида был проанализирован в динамике на протяжении 2 часов. После введения эксенатида в дозе 5 нмоль/кг гипергликемия достигала максимума 7.7 (7.2; 9.1) мМ к 30 мин эксперимента и сохранялась на протяжении 2 часов, постепенно снижаясь до значений в контроле (рис. 7). Предварительное (за 30 мин до инкретиномиметика) внутрибрюшинное введение животным ганглиоблокатора пентамина в дозе 30 мг/кг на 30 минут задерживало развитие эксенатид-стимулированной гипергликемии (рис. 7), рост концентрации глюкозы в крови у крыс в этом случае наблюдался с 60 минуты и достигал максимума 8.8 (7.5; 8.9) мМ на 90 минуте наблюдения (рис. 7). Неселективный β-блокатор пропранолол вызывал статистически значимое снижение эксенатид-стимулированной гипергликемии на протяжении всего периода наблюдения, т.е. в течение 2 часов (рис. 7).
Рис. 7. Динамика концентрации глюкозы в крови в течение 2 часов после введения эксенатида в дозе 5 нмоль/кг
1 – контроль (вода для инъекций внутрибрюшинно 1 мл/кг + 0.9% раствор NaCl внутримышечно 1 мл/кг), 2 – эксенатид, 3 – пентамин + эксенатид, 4 – пропранолол + эксенатид
Статистически значимые различия (p<0.05): * – по сравнению с контролем, # – по сравнению с эксенатидом 5 нмоль/кг, критерий Манна-Уитни с поправкой на 6 сравнений
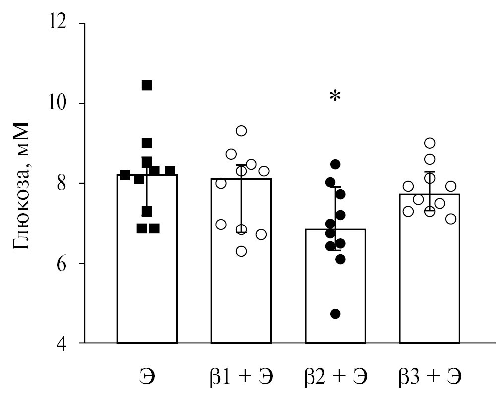
Использование селективных β-блокаторов показало, что наиболее значимое снижение эксенатид-индуцированной гипергликемии наблюдалось при введении β2-адреноблокатора (ICI-11855). β1-адреноблокатор (атенолол) и β3-адреноблокатор (L-748337) не препятствовали повышению концентрации глюкозы в крови в ответ на введение эксенатида в дозе 0.5 нмоль/кг (рис. 8).
Рис. 8. Концентрация глюкозы в крови у крыс в ответ на эксенатид после предварительного введения блокаторов отдельных подтипов β-адренорецепторов
Э – эксенатид (0.5 нмоль/кг), β1 – атенолол (2 мг/кг), β2 – ICI-11855 (1 мг/кг), β3 – L-748337 (1 мг/кг). В группе без антагонистов для контроля вводили воду для инъекций внутрибрюшинно 1 мл/кг (n = 5) или 5% водный раствор ДМСО внутрибрюшинно 1 мл/кг (n = 5).
* – статистически значимые различия по сравнению с группой без введения адреноблокаторов, критерий Манна-Уитни с поправкой Бонферрони на 3 сравнения
Выявлена существенная модуляция натрийуретического ответа почки на эксенатид при блокаде различных подтипов адренорецепторов. При предварительной блокаде α-адренорецепторов экскреция ионов натрия почками была значительно меньше, а при блокаде β-адренорецепторов выше, чем при действии эксенатида без введения адреноблокаторов (рис. 9). Наиболее выраженный натрийурез отмечался при введении эксенатида на фоне селективного антагониста β2-адренонорептора.
Рис. 9. Экскреция ионов натрия у крыс после введения эксенатида на фоне предварительной блокады адренорецепторов
Э – эксенатид (0.5 нмоль/кг), α – фентоламин (1 мг/кг), α1 – доксазозин (1 мг/кг), α2 – раувольсцин (1 мг/кг), β – пропранолол (5 мг/кг), β1 – атенолол (2 мг/кг), β2 – ICI-11855 (1 мг/кг), β3 – L-748337 (1 мг/кг). В группе без антагонистов для контроля вводили воду для инъекций внутрибрюшинно 1 мл/кг (n = 5) или 5% водный раствор ДМСО внутрибрюшинно 1 мл/кг (n = 5).
* – статистически значимые различия по сравнению с группой без введения адреноблокаторов, критерий Манна-Уитни с поправкой Бонферрони на 7 сравнений
ОБСУЖДЕНИЕ РЕЗУЛЬТАТОВ
В нашей работе было выявлено гипергликемическое действие инкретиномиметика эксенатида в диапазоне доз 0.15-5 нмоль/кг у здоровых крыс. Показано, что рост концентрации глюкозы в крови ассоциирован с ростом экскреции почками метаболитов катехоламинов. Предварительное введение ганглиоблокатора задерживает рост концентрации глюкозы в крови в ответ на эксенатид, а инъекция неселективного β- или селективного β2-адреноблокатора значительно нивелирует гипергликемический эффект инкретиномиметика.
Гипергликемия у крыс наблюдалась нами только в ответ на инъекцию инкретиномиметика эксенатида, но не на сам ГПП-1. Аналогичные данные были получены в работе Pérez-Tilve et al. [4]. Различия в эффектах эксенатида и ГПП-1 могут быть обусловлены существенными различиями в химической структуре [15] и сродстве к рецепторам, в продолжительности циркуляции в системном кровотоке [5] и длительности физиологического действия этих пептидов. Проведенные эксперименты с введением ГПП-1 совместно с ингибитором ДПП-4 показывают, что при создании условий для пролонгированной циркуляции ГПП-1 в крови выявляется натрийуретическое действие гормона, но уровень глюкозы крови остается на контрольном уровне, т.е., по-видимому, различия в длительности действия не являются определяющими для активации симпатоадреналовой системы. В ряде работ было показано, что при центральном введении ГПП-1 вызывает активацию системы гипоталамус-гипофиз-надпочечник, вегетативных центров гипоталамуса и ствола головного мозга, активирует экспрессию тирозингидроксилазы в катехоламинэргических нейронах ствола головного мозга [16–17], вызывает повышение в крови уровня АКТГ, кортикостерона, альдостерона, адреналина и норадреналина [18]. Перечисленные выше эффекты центрального (внутрижелудочкового) введения ГПП-1 воспроизводятся при периферическом введении (подкожно, внутрибрюшинно, внутримышечно) миметиков ГПП-1 в терапевтическом диапазоне доз [5, 17, 19–22]. Кроме того, выявлена экспрессия рецепторов ГПП-1 в хромаффинных клетках мозгового вещества надпочечников и описаны прямые влияния ГПП-1 и эксенатида на экзоцитоз нейромедиаторов [23].
Описано, что в отличие от самого ГПП-1 его миметики могут вызывать рост артериального давления и частоты сердечных сокращений [16, 24]. Эти эффекты на сердечнососудистую систему ассоциированы с активацией нейронов в мозговом веществе надпочечников и нейронов в вегетативных ядрах головного мозга у крыс, включая катехоламинэргические нейроны продолговатого мозга, блокируются антагонистом ГПП-1 рецепторов, не проявляются у животных после адреналэктомии [16, 24].
Принципиально важным является ответ на вопрос, оказывают ли инкретиномиметики аналогичное влияние на симпатоадреналовую систему у человека, как это показано для крыс. Основная часть работ, посвященная изучению инкретиномиметиков, выполнена на пациентах с сахарным диабетом и ожирением. У здоровых добровольцев было выявлено развитие парадоксальной гипергликемии при физической нагрузке на фоне предварительного введения эксенатида, в состоянии покоя такого эффекта у человека не наблюдали [25]. Учитывая широкое внедрение инкретиномиметиков в клиническую практику для лечения сахарного диабета, ожирения и других эндокринных и не эндокринных патологий, важно изучение потенциальных контринсулярных эффектов препаратов у человека.
Физиологические последствия повышенного выброса катехоламинов наиболее подробно изучены при феохромоцитоме. Показано, что катехоламины часто приводят к нарушению толерантности к глюкозе. Механизм включает как нарушение секреции инсулина, так и повышение инсулинорезистентности (стимуляция выброса глюкагона, активация гликогенолиза и глюконеогенеза) [7]. Вероятно, последний механизм в нашем случае является ведущим, так как предотвращение выброса катехоламинов при использовании ганглиоблокатора и блокада β2-адренорецепторов в наибольшей степени препятствовали росту концентрации глюкозы в крови при введении высоких доз эксенатида. Таким образом, развитие гипергликемии после введения эксенатида опосредованно выбросом катехоламинов и их влиянием на β2-адренорецепторы, что согласуется с данными о β2-адренергической стимуляции процессов гликогенолиза и глюконеогенеза в печени [7].
Ранее было показано, что у крыс с ожирением диуретическое и натрийуретическое действие эксенатида снижено и восстанавливается при абляции почечных симпатических нервов [26]. Важным представляется вопрос о роли активации симпатоадреналовой системы в механизме натрийуретического действия инкретиномиметиков. Нами показано, что ГПП-1 в отличие от эксенатида оказывает натрийуретическое, но не гипергликемическое действие. Поэтому более вероятно, что механизм натрийуреза, вызванного ГПП-1 и его миметиками, связан с их прямым действием в почке (опосредованное рецепторами ГПП-1 снижение канальцевой реабсорбции натрия), а не с активацией симпатоадреналовой системы. В то же время нами выявлена значимая модуляция натрийуреза в ответ на введение эксенатида при блокаде различных подтипов адренорецепторов. α1- и α2-адреноблокаторы существенно уменьшали (на 80%), а β1- и β2-адреноблокаторы повышали (на 150%) экскрецию натрия почками при действии эксенатида. β1-адренорецепторы расположены преимущественно в толстом восходящем отделе петли Генле, а β2-адренорецепторы обнаружены в проксимальных канальцах нефрона [27] и собирательных трубках [28]. Известно, что возможно усиление реабсорбции натрия при активации синаптических β1-адренорецепторов и внесинаптических β2-адренорецепторов в почке. Повышенный уровень катехоламинов, вероятно, частично ограничивает потерю натрия почками при действии эксенатида. Блокада β-адренорецепторов в условиях стимуляции секреции катехоламинов эксенатидом вызывает увеличение экскреции ионов натрия в связи с уменьшением реабсорбции в указанных отделах; противоположный эффект оказывает блокада α-адренорецепторов. Модулирующее влияние α-адренорецепторов ранее отмечалось при действии диуретиков, а у пациентов с артериальной гипертензией показано, что α1-адреноблокаторы могут способствовать задержке натрия в организме [29].
ЗАКЛЮЧЕНИЕ
Получены данные об активации инкретиномиметиком симпатоадреналовой системы, которая модулирует направленность и выраженность эффектов эксенатида на уровень глюкозы в крови и экскрецию натрия почками у здоровых животных. Потенциальное влияние на симпатоадреналовую систему важно учитывать для оценки рисков развития неблагоприятных побочных эффектов при терапии инкретиномиметиками.
ИСТОЧНИК ФИНАНСИРОВАНИЯ
Работа выполнена в рамках государственного задания ИЭФБ РАН № 075-00264-24-00.
СОБЛЮДЕНИЕ ЭТИЧЕСКИХ НОРМ
Конфликт интересов. Авторы заявляют об отсутствии явных и потенциальных конфликтов интересов в связи с публикацией данной статьи.
Этическое одобрение. Исследования с животными проводились в соответствии с законодательством Российской Федерации, положениями Директивы 2010/63/EU Европейского парламента и совета Европейского Союза от 22.09.2010 г. по охране животных, используемых в научных целях, требованиями и рекомендациями Руководства по содержанию и использованию лабораторных животных и были одобрены на заседании комиссии по биоэтике ИЭФБ РАН (протокол № 2-1/2024 заседания № 2 от 29.02.2024 г.).
About the authors
E. V. Balbotkina
Sechenov Institute of Evolutionary Physiology and Biochemistry of the Russian Academy of Sciences
Email: kutina_anna@mail.ru
Russian Federation, Saint Petersburg
A. S. Marina
Sechenov Institute of Evolutionary Physiology and Biochemistry of the Russian Academy of Sciences
Email: kutina_anna@mail.ru
Russian Federation, Saint Petersburg
A. V. Kutina
Sechenov Institute of Evolutionary Physiology and Biochemistry of the Russian Academy of Sciences
Author for correspondence.
Email: kutina_anna@mail.ru
Russian Federation, Saint Petersburg
References
- Huber H., Schieren A., Holst J.J., Simon M.C. // Am. J. Clin. Nutr. 2024. V. 119. N 3. P. 599–627. doi: 10.1016/j.ajcnut.2024.01.007.
- Liakos A., Karagiannis T., Avgerinos I., Malandris K., Tsapas A., Bekiari E. // Hormones (Athens). 2023. V. 22. № 4. P. 677–684. doi: 10.1007/s42000-023-00488-w.
- Brown E., Heerspink H.J.L., Cuthbertson D.J., Wilding J.P.H. // Lancet. 2021. V. 398. № 10296. P. 262–276. doi: 10.1016/S0140-6736(21)00536-5.
- Pérez-Tilve D., González-Matías L., Aulinger B.A., Alvarez-Crespo M., Gil-Lozano M., Alvarez E., Andrade-Olivie A.M., Tschöp M.H., D’Alessio D.A., Mallo F. // Am. J. Physiol. Endocrinol. Metab. 2010. V. 298. № 5. P. E1088–E1096. doi: 10.1152/ajpendo.00464.2009.
- Wen S., Nguyen T., Gong M., Yuan X., Wang C., Jin J., Zhou L. // Diabetes. Metab. Syndr. Obes. 2021. V. 14. P. 2955–2972. doi: 10.2147/DMSO.S312527.
- Hsu C.C., Cheng J.T., Hsu P.H., Li Y., Cheng K.C. // Pharmaceuticals (Basel). 2022. V. 15. № 7. P. 904. doi: 10.3390/ph15070904.
- Abe I., Islam F., Lam A.K. // Front. Endocrinol. (Lausanne). 2020. V. 11. P. 593780. doi: 10.3389/fendo.2020.593780.
- Kutina A.V., Marina A.S., Shakhmatova E.I., Natochin Yu.V. // Clin. Exp. Pharmacol. Physiol. 2013. V. 40. № 8. P. 510–517.
- Kutina A.V., Golosova D.V., Marina A.S., Shakhmatova E.I., Natochin Y.V. // J. Neuroendocrinol. 2016. V. 28. № 4. P. 1–8. doi: 10.1111/jne.12367.
- Marina A.S., Kutina A.V., Shakhmatova E.I., Natochin Y.V. // Bull. Exp. Biol. Med. 2017. V. 162. № 4. P. 436–440. doi: 10.1007/s10517-017-3634-0.
- Каравашкина Т.А., Балботкина Е.В., Савина Ю.А., Кутина А.В. // Эксп. Клинич. Фармакол. 2020. Т. 83. № 2. С. 17–22. doi: 10.30906/0869-2092-2020-83-2-17-22.
- Hallberg H., Almgren O., Svensson T.H. // Psychopharmacology (Berl). 1982. V. 76. № 2. P. 114–117. doi: 10.1007/BF00435263.
- Zarrindast M.R., Fazli-Tabaei S., Semnanian S., Fathollah Y., Yahyavi S.H. // Pharmacol. Biochem. Behav. 2000. V. 65. № 2. P. 275–279. doi: 10.1016/s0091-3057(99)00198-7.
- Балботкина Е.В., Спириденко Е.А., Каравашкина Т.А., Кутина А.В. // Патологическая физиология и экспериментальная терапия. 2019. Т. 63. № 3. С. 73–80.
- Clark L. // JAAPA. 2024. V. 37. № 4. P. 1–4. doi: 10.1097/01.JAA.0001007388.97793.41.
- Yamamoto H., Lee C.E., Marcus J.N., Williams T.D., Overton J.M., Lopez M.E., Hollenberg A.N., Baggio L., Saper C.B., Drucker D.J., Elmquist J.K. // J. Clin. Invest. 2002. V. 110. № 1. P. 43–52. doi: 10.1172/JCI15595.
- Yamamoto H., Kishi T., Lee C.E., Choi B.J., Fang H., Hollenberg A.N., Drucker D.J., Elmquist J.K. // J. Neurosci. 2003. V. 23. № 7. P. 2939–2946. doi: 10.1523/JNEUROSCI.23-07-02939.2003.
- Arai J., Okada S., Yamaguchi-Shima N., Shimizu T., Sasaki T., Yorimitsu M., Wakiguchi H., Yokotani K. // Clin Exp Pharmacol. Physiol. 2008. V. 35. № 8. P. 965–970. doi: 10.1111/j.1440-1681.2008.04957.x.
- Malendowicz L.K., Nussdorfer G.G., Nowak K.W., Ziolkowska A., Tortorella C., Trejter M. // Int. J. Mol. Med. 2003. V. 12. № 2. P. 237–241.
- Baraboi E.D., St-Pierre D.H., Shooner J., Timofeeva E., Richard D. // Am. J. Physiol. Regul. Integr. Comp. Physiol. 2011. V. 301. № 4. P. R1011–R1024. doi: 10.1152/ajpregu.00424.2010.
- Gil-Lozano M., Romaní-Pérez M., Outeiriño-Iglesias V., Vigo E., Brubaker P.L., González-Matías L.C., Mallo F. // Am. J. Physiol. Endocrinol. Metab. 2013. V. 304. № 10. P. 1105–1117. doi: 10.1152/ajpendo.00529.2012.
- Diz-Chaves Y., Gil-Lozano M., Toba L., Fandiño J., Ogando H., González-Matías L.C., Mallo F. // J. Endocrinol. 2016. V. 230. № 2. P. R77–R94. doi: 10.1530/JOE-16-0118.
- González-Santana A., Estévez-Herrera J., Seward E.P., Borges R., Machado J.D. // Cell Rep. 2021. V. 36. № 8. P. 09609. doi: 10.1016/j.celrep.2021.109609.
- Barragán J.M., Rodríguez R.E., Eng J., Blázquez E. // Regul. Pept. 1996. V. 67. № 1. P. 63–68. doi: 10.1016/s0167-0115(96)00113-9.
- Khoo E.Y., Wallis J., Tsintzas K., Macdonald I.A., Mansell P. // Diabetologia. 2010. V. 53. № 1. P. 139–143. doi: 10.1007/s00125-009-1579-1.
- Liu X., Patel K.P., Zheng H. // J. Am. Heart Assoc. 2021. V. 10. № 21. P. e022542. doi: 10.1161/JAHA.121.022542.
- Arif E., Nihalani D. // Nephrology (Carlton). 2019. V. 24. № 5. P. 497–503. doi: 10.1111/nep.13584. PMID: 30848004.
- Morla L., Edwards A., Crambert G. // World J. Biol. Chem. 2016. V. 7. № 1. P. 44–63. doi: 10.4331/wjbc.v7.i1.44.
- Bryson C.L., Psaty B.M. // Curr. Control Trials Cardiovasc. Med. 2002. V. 3. № 1. P. 7. doi: 10.1186/1468-6708-3-7.
Supplementary files











