Effects of prolonged exposure to manganese chloride on the brain serotonin metabolism and serotonin-regulated behavior in zebrafish
- Authors: Izyurov А.E.1, Sorokin I.E.1, Evsiukova V.S.1, Zolotova D.А.1, Kulikov P.A.1, Kulikov A.V.1
-
Affiliations:
- Institute of Cytology and Genetics SD RAS
- Issue: Vol 41, No 3 (2024)
- Pages: 276-284
- Section: Experimental Articles
- URL: https://ogarev-online.ru/1027-8133/article/view/271696
- DOI: https://doi.org/10.31857/S1027813324030071
- EDN: https://elibrary.ru/EQEFLP
- ID: 271696
Cite item
Full Text
Abstract
Manganese ions are toxic for the central nervous system and cause motor impairment. Zebrafish (Danio rerio) are widely used in neuroscience, psychopharmacology and toxicology. The study was aimed to investigate the effect of prolonged exposure to Mn ions on the serotonin (5-HT) system of the brain and the 5-HT controlled behavior in zebrafish. The studies were carried out on males and females of zebrafish line AB, which were divided into four groups: control and which were exposed to 0.1, 0.2 and 0.5 mM MnCl2 for 10 days (the drug was added to the aquarium water). Throughout the exposure, the locomotion of fish were continuously recorded and analyzed using DanioStudio software. On the 11th day of exposure, the behavior of the fish was studied in the novel tank diving test, then the levels of 5-HT, 5-hydroxyindoleacetic acid (5-HIAA), the activity of key enzymes in the synthesis and destruction of 5-HT, tryptophan hydroxylase (TPH) and monoamine oxidase (MAO), respectively, were determined in their brain by HPLC. Prolonged exposure to MnCl2 did not affect body mass, locomotor activity, time in the lower and upper thirds of the home aquarium, as well as locomotor and exploration activities, time in the lower and upper thirds in the novel tank diving test. Moreover, the prolonged exposure to MnCl2 did not affect 5-HT, 5-HIAA levels and MAO activity in fish brain. However, TPH activity was significantly increased in fish kept at 0.2 and 0.5 mM MnCl2. In an additional experiment, Mn ions were shown to increase the thermal stability of the TPH molecule in vitro. This stabilizing (chaperone) activity of Mn ions was demonstrated for the first time. The discovery of the chaperone activity of Mn ions will help to reveal the fundamental molecular principles and mechanisms of action of pharmacological chaperones.
Keywords
Full Text
Введение
Марганец (Mn) считается токсическим металлом и отходы его производства представляют значительную опасность для здоровья людей и экологии. Токсическое воздействие Mn характеризуется двигательными и сенсорными нарушениями, а также нейропсихиатрическими и когнитивными расстройствами [1‒3]. Длительное воздействие Mn (>1 мг/м3) представляет собой фактор риска развития болезни Паркинсона у людей [4]. Ионы Mn могут проходить гемато-энцефалический барьер или через обонятельный тракт [5], проникать внутрь нейронов через кальциевые каналы [6‒9], индуцировать их апоптоз [10].
Одной из мишеней для ионов Mn может быть серотониновая (5-HT) система мозга – совокупность нейронов синтезирующих 5-HT в качестве основного медиатора. В норме 5-HT система мозга участвует в регуляции большого числа физиологических функций и форм поведения [11, 12], тогда как нарушения ее функции наблюдаются при многих нейродегенеративных и психических заболеваниях [13‒17].
Рыбы вида Danio rerio являются удобным модельным объектом для изучения общих закономерностей влияния ионов Mn на 5-HT систему мозга. Во-первых, 5-HT система D. rerio имеет высокую анатомическую, цитологическую, биохимическую и фармакологическую гомологию с таковой млекопитающих [18, 19]. Во-вторых, у рыб этого вида 5-HT контролирует двигательную активность и тревожность [20‒23]. В-третьих, с помощью МРТ было показано накопление ионов Mn в мозге D. rerio при их содержании в растворе MnCl2 [24]. Данные о влиянии ионов Mn на рыб D. rerio довольно противоречивы [25, 26]. Влияние ионов Mn на 5-HT систему мозга рыб D. rerio не изучено.
Целью исследования является влияние хронического воздействия ионов Mn на метаболизм 5-HT и регулируемое 5-HT поведение рыб D. rerio. Для этого изучали влияния длительного содержания рыб в аквариумах с различными концентрациями MnCl2 на их поведение в домашнем аквариуме, тесте “новый аквариум”, содержание 5-HT, его основного метаболита, 5-гидроксииндолуксусной кислоты (5-HIAA), активности ключевых ферментов синтеза (триптофангидроксилаз, ТПГ) и окисления (моноаминоксидазы, МАО) 5-HT в их мозге.
Методы исследования
Рыбы. Содержание рыб и все экспериментальные процедуры соответствовали положению Национального института здоровья (NIH) США от 12 апреля 2013 г. по использованию D. rerio в исследованиях и были одобрены комитетом по биоэтике ИЦиГ СО РАН (Протокол № 34 от 15.06.2016 г.). Разведение и содержание рыб поддержано бюджетным проектом FWNR-2022-0023.
Эксперименты проводили на взрослых (18 мес., n = 100) самцах и самках D. rerio линии AB – потомков рыб, завезенных из European Research Institute of Biology of Ageing (ERIBA, Гронинген, Нидерланды). С возраста 6 недель и до начала экспериментов рыб содержали в аквариуме объемом 125 л, снабженном устройством биологической фильтрации и аэрации воды (CX-300, Chosen) с температурой воды 27 ± 1°С и искусственном освещении свет:темнота 12:12 ч (интенсивность освещения 1700 люкс, включение света производилось в 09:00 ч). Чистка и подмена воды (20%) производилась раз в неделю. Рыб кормили 6 раз в неделю сухим кормом Tetramin Tropical Flakes (Tetra) и один раз в неделю замороженными личинками Chironomus plumosus.
Были сформированы четыре смешанные по полу группы 20 рыб в каждой. Пять рыб из каждой экспериментальной группы помещали в аквариум (20 × 20 × 20 см, объем воды 6.3 л, 4 аквариума в каждой группе): контроль (без MnCl2), 0.1, 0.2 и 0.5 мМ MnCl2 в воде. Аквариумы были снабжены фильтрами. На протяжении всего эксперимента температура воды поддерживалась 27 ± 1°С, а световой режим свет:темнота 12:12 ч. Рыб кормили дважды в день сухим кормом Tetramin Tropical Flakes (Tetra). Подмену воды (30%) осуществляли раз в 3 дня. В данном эксперименте было показано, что концентрация ионов Mn в воде снижалась вдвое через 24 ч, поэтому концентрация MnCl2 в воде аквариума корректировалась каждые 24 ч добавлением твердого MnCl2 × 4H2O (AppliChem, Дармштадт, Германия) до требуемой концентрации. Ранее с помощью МРТ было показано, что ионы Mn способны проникать из воды в мозг D. rerio и накапливаться там [24]. Непрерывное воздействие MnCl2 продолжалось 10 дней, и в течение всего этого периода передвижения групп рыб в аквариумах регистрировалось и анализировалось программой DanioStudio [27]. На одиннадцатый день поведение рыб исследовали в тесте “новый аквариум”, усыпляли в холодной воде (+2°С), выделяли целый мозг, замораживали его жидким азотом и хранили при ‒80°С до проведения нейрохимических измерений.
Измерение поведения группы рыб в домашнем аквариуме. Движения группы в домашнем аквариуме рыб фиксировались web-камерой и анализировались с помощью программного обеспечения DanioStudio [27]. Это программное обеспечение в течение 12-часового светового периода в течение 10 дней с частотой 1 с захватывает полутоновое изображение (640 × 480 пикселей) аквариума вместе с рыбами внутри и отделяет пиксели, связанные с рыбами, от пикселей, связанных с фоном, с помощью вычитания фона и порогового алгоритма. Постоянные элементы интерьера удаляли с помощью специальных масок. Для каждого кадра программа составляет карту пространственного положения и вычисляет сумму пикселей, связанных с рыбами. На основе этой карты определяются суммы связанных с рыбами пикселей в верхней и нижней трети резервуара. Отношения этих значений к общей сумме пикселей, связанных с рыбами, соответствуют времени (%), проведенному группой рыб в верхней и нижней трети. С помощью логической операции XOR для двух последовательных карт плотности определяется сумма пикселей, изменивших свое значение. Отношение этой величины к общей сумме пикселей соответствует двигательной активности группы рыб [27].
Измерение поведения рыбы в тесте “новый аквариум”. Рыбу осторожно вынимали из домашнего аквариума сачком (чтобы не стрессировать остальных) и помещали в стеклянную кювету длиной 24 см, глубиной 15 см и шириной 7 см, наполненную водой до 10 см. Кювету помещали в специальный шкаф. Движения рыбы фиксируются web-камерой в течение 5 минут и анализируются с помощью программного обеспечения EthoStudio [22, 23, 28]. Программное обеспечение с частотой 30 кадров/с автоматически покадрово анализирует видеопоток в реальном времени, отделяет пиксели, связанные с рыбой, от пикселей фона с помощью порогового алгоритма, вычисляет координаты центра рыбы и автоматически рассчитывает карту плотности, соответствующую распределению пикселей, связанных с рыбой, в кювете. На основе последовательности координат и карты плотности: (1) расстояние, пройденное рыбой (м), (2) доля исследованного пространства кюветы (%), (3) среднее расстояние от дна кюветы (см) и время пребывания (%) в (4) нижней и (4) верхней третях кюветы [22, 23, 28]. Кювету промывают чистой водой после каждого испытания и наполняют смесью чистой воды и воды из домашнего резервуара в соотношении 1:1.
Определение концентрации ионов Mn в воде спектрофотометрическим методом. К 1 мл пробы воды или стандарта последовательно приливали 100 мкл смеси, содержащей 4% гидроксиламин и 0.8% формалин, 100 мкл раствора аммиака (1:3), перемешивали, инкубировали 5 мин и последовательно добавляли 100 мкл раствора трилона Б и 100 мкл 10% гидроксиламина. Перемешивали и измеряли оптическую плотность на спектрофотометре при длине волны 490 мкм. Стандарты содержали 15.6, 31.3, 62.5, 125, 250 мкМ MnCl2.
Определение уровня 5-HT и 5-HIAA в мозге. Целый мозг рыбы гомогенизировали в 150 мкл холодного 50 мМ трис HCl, pH 7.6, с 1 мМ дитиотреитола. Аликвоту 50 мкл гомогената смешивали с 50 мкл 1.2 M HClO4 для осаждения белка и экстракции 5-HT и 5-HIAA. Остальной гомогенат (100 мкл) использовали для определения активности ТПГ и МАО.
Смесь гомогената и HClO4 центрифугировали 15 мин при 12700 об/мин (4°С). Супернатант, содержащий 5-HT и 5-HIAA, разбавляли вдвое водой и концентрацию 5-HT и 5-HIAA определяли с помощью ВЭЖХ на колонке Luna С18 (2) (размер частиц 5 мкм, L×ID 75×4.6 мм, Penomenex, США) с электрохимическим детектированием (750 мВ, электрохимическим детектором DECADE II™, Antec, Нидерланды) и ячейкой из стеклографита (VT-03 3 мм GC sb, Antec, Нидерланды). Система ВЭЖХ включала контроллер CBM-20A, насос LC-20AD, автоматический дозатор SIL-20A и дегазатор DGU-20A5R (Shimadzu Corporation, США). Подвижная фаза содержала 13.06 г KH2PO4, 200 мкл 0.5 М Na2EDTA, 300 мг натриевой соли 1-октансульфоновой кислоты (Sigma, Германия), 940 мкл концентрированной H3PO4 и 130 мл метанола (13% объема, Vektor Ltd., Россия) в 1 л, pH = 3.2. Площади пиков были оценены с использованием программного обеспечения Lab Solution LG / GC версии 5.54 (Shimadzu Corporation, США) и откалиброваны с помощью стандартов, содержащих 0.5, 1 и 2 нг 5-НТ и 5-HIAA [23, 28].
Осадок после центрифугирования растворяли в 1 мл 0.1 М NaOH и количество белка в нем определяли по Бредфорду согласно инструкции производителя. Уровень 5-HT и 5-HIAA выражали в нг/мг белка.
Определение активности ТПГ. Остаток гомогената мозга в 50 мМ трис HCl, pH 7.6 и 1 мМ дитиотреитола, центрифугировали 15 мин при 12700 об/мин (4°С). Активность ТПГ определяли в чистом супернатанте. Осадок использовали для определения активности МАО.
Аликвоту 15 мкл супернатанта инкубировали 15 мин при 27°С в конечном объеме 25 мкл, содержавшем 0.4 мМ L-триптофана, 0.3 мМ кофактора 6-метил-5,6,7,8-тетрагидробиоптеридина, 0.3 мМ ингибитора декарбоксилазы, м-гидроксибензилгидразина, 5 ед каталазы и 1 мМ дитиотреитола. Реакцию останавливали 75 мкл 0.6 М HClO4 с последующим центрифугированием 15 мин при 12700 об/мин. Чистый супернатант разбавляли вдвое водой и количество синтезированного 5-гидрокситриптофана определяли с помощью ВЭЖХ как выше. Площади пиков 5-гидрокситриптофана калибровали по кривой, построенной по концентрациям 25, 50 и 100 пикомоль 5-гидрокситриптофана. Для определения белка аликвоту 10 мкл супернатанта смешивали с 90 мкл 0.1 М NaOH. Белок определяли по Брэдфорду, следуя инструкциям производителя. Активность ТПГ выражали в пикомолях 5-гидрокситриптофана синтезированного за мин в пересчете на мг белка [23, 28].
Определение активности МАО. Осадок после центрифугирования гомогената (см. выше) вновь гомогенизировали в 150 мкл 50 мМ Tris HCl, pH 7.6 и центрифугировали 15 мин (4°С) при 500 об/мин. Активность МАО определяли в мутном супернатанте. Аликвоту 10 мкл мутного супернатанта инкубировали 10 мин при 27°С с 0.1 мМ 5-HT в конечном объеме 25 мкл. Реакцию останавливали добавлением 75 мкл 0.6 М HClO4 с последующим центрифугированием 15 мин при 12700 об/мин. Чистый супернатант разбавляли вдвое водой и количество синтезированного 5-гидроксииндолуксусного альдегида определяли с помощью ВЭЖХ. Площади пиков 5-гидроксииндолуксусного альдегида калибровали по кривой, построенной по концентрациям 500, 1000 и 2000 пмоль 5-гидроксииндолуксусного альдегида [28].
Для определения белка аликвоту 10 мкл мутного супернатанта смешивали с 90 мкл 0.1 М NaOH. Белок определяли по Брэдфорду, следуя инструкциям производителя. Активность МАО выражали в пикомолях 5-гидроксииндолуксусного альдегида, синтезированного за мин, в пересчете на мг белка [28].
Определение влияния ионов Mn на термостабильность ТПГ головного мозга D. Rerio. Сначала аликвоты 10 мкл супернатанта, содержащего ТПГ, смешивали с 5 мкл 50 мМ трис-HCl-буфером (рН 7.6), содержащего 1 мМ дитиотреитола, или с 0.15 мМ раствором MnCl2 в этом буфере (конечная концентрация MnCl2 составляла 0.05 мМ) и нагревали в течение 2 мин при 52, 54, 56, 58, 60, 62 и 64°С и затем быстро охлаждали во льду. Контрольные пробирки не нагревались. Затем добавляли 10 мкл смеси L-триптофана (1 мМ), 6-метил-5,6,7,8-тетрагидроптеридина (0.75 мМ), ингибитора декарбоксилазы (0.75 мМ) и каталазы (5 ед.) и инкубировали при 27°С 15 мин. Реакцию останавливали, добавляя 75 мкл 0.6 мМ HClO4. Пробы центрифугировали при 13000 об/мин, для хроматографа отбиралось по 80 мкл супернатанта с добавлением 80 мкл воды. Количество синтезированного 5-HTP определяли с помощью ВЭЖХ. Стандарты для расчётов: 25, 50, 100 пмоль. Были сформированы две группы по 6 термических кривых в каждой: (1) контрольная группа без MnCl2, (2) группа с добавлением MnCl2. Линейные части этих кривых использовались для расчета значений Т50 с использованием метода линейной регрессии.
Статистика. Поскольку ранее было показано, что самцы и самки D. rerio не различаются по поведению, уровню 5-HT, 5-HIAA, активностям ТПГ и МАО [28], и количество самок в экспериментальных группах было значительно меньше, чем самцов, данные по самцам и самкам объединяли. Распределение всех показателей в экспериментальных группах соответствовало нормальному по критерию Колмогорова. Все данные представляли как средние ± ошибка среднего и анализировали с помощью однофакторного ANOVA (Statistic 9.0, StatSoft, США). По необходимости различия между экспериментальными группами анализировали по Фишеру. Значимыми считали различия при p < 0.05.
Результаты исследования
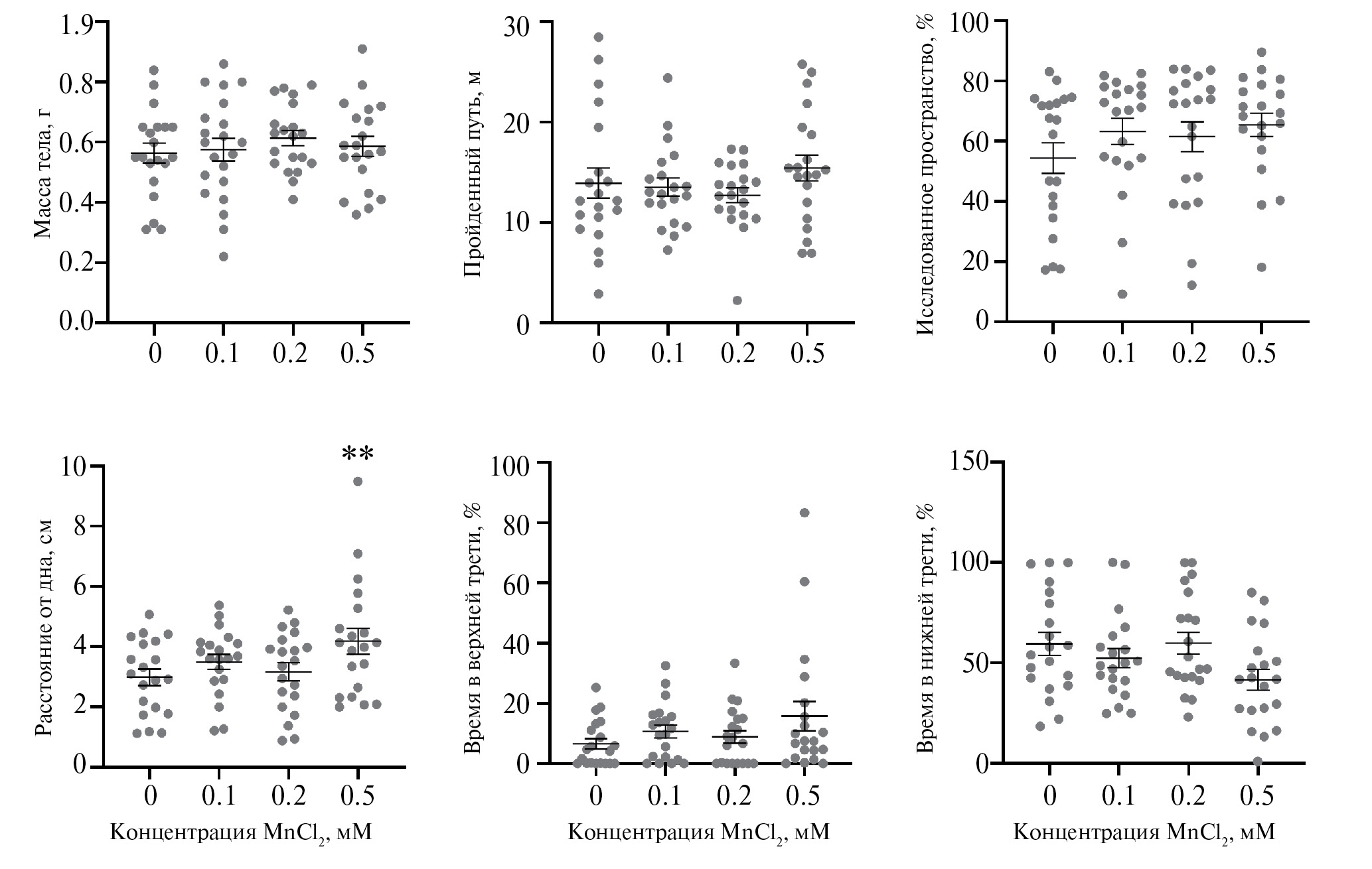
Не выявлено статистически значимых различий по активности (F(3,12) = 2.89, p = 0.079), времени в верхней (F(3,12) = 2.93, p = 0.077) и нижней (F(3,12) = 1.14, p = 0.37) третях домашнего аквариума у рыб контрольной и подвергшихся действию различных концентраций MnCl2 групп (рис. 1). У рыб, находящихся под воздействием различных концентраций MnCl2, не выявляются ожидаемого снижения двигательной активности. Рыбы всех групп предпочитали находиться в верхней трети домашнего аквариума.
Рис. 1. Двигательная активность, время нахождения (%) в верхней и нижней третях домашнего аквариума у рыб, содержащихся в течение 10 дней в воде с 0 (контроль), 0.1, 0.2, 0.5 мМ MnCl2. Точки представляют средние значения наблюдений 12 ч в день в течение 10 дней по каждому аквариуму. Черты представляют средние значения ± ошибки средних по каждому аквариуму. Число аквариумов в каждой группе n = 4.
Содержание рыб в течение 10 дней при различных концентрациях MnCl2 в воде не привело к межгрупповым различиям в массе их тела (F(3,76) < 1, рис. 2).
Рис. 2. Масса тела (г), пройденный путь (м), доля обследованного пространства (%), расстояние от дна (см), время нахождения (%) в верхней и нижней третях кюветы у рыб, содержащихся в течение 10 дней в воде с 0 (контроль), 0.1, 0.2, 0.5 мМ MnCl2. Точки представляют индивидуальные значения показателей. Черты представляют средние значения ± ошибки средних по каждому аквариуму. Каждая из 4 групп включала по 20 рыб.
**p < 0.01 vs контроль.
В тесте “новый аквариум” не выявлено статистически значимых различий между группами рыб по пройденному пути (F(3,76) < 1), доле исследованного пространства (F(3,76) = 1.08, p = 0.36), времени нахождения в верхней (F(3,76) = 1.72, p = 0.17) и нижней (F(3,76) = 2.64, p = 0.06) третях аквариума (рис. 2). В то же время, межгрупповые различия были выявлены только по одному показателю – расстоянию центра рыбы от дна аквариума (F(3,76) = 2.73, p = 0.049): у рыб, содержащихся при 0.5 мМ MnCl2 этот показатель был достоверно выше, чем у контрольной группы (p = 0.009) (рис. 2).
Не выявлено статистически значимой разницы в уровнях 5-HT (F(3,36) < 1), 5-HIAA (F(3,36) < 1) и их соотношению (5-HIAA/5-HT, F(3,36) < 1) мозге рыб, содержащихся 10 дней при концентрациях 0, 0.1, 0.2 и 0.5 мМ MnCl2 в воде (рис. 3).
Рис. 3. Уровень 5-HT (нг/мг), уровень 5-HIAA (нг/мг) и отношение 5-HIAA/5-HT в мозге рыб, содержащихся в течение 10 дней в воде с 0 (контроль) (n = 11), 0.1 (n = 9), 0.2 (n = 10), 0.5 (n = 10) мМ MnCl2. Точки представляют индивидуальные значения показателей. Черты представляют средние значения ± ошибки средних по каждому аквариуму.
Не было также выявлено статистически значимой разницы между группами рыб по активности МАО в мозге (F(3,36) < 1, рис. 4).
Рис. 4. Активности МАО (пмоль/мг/мин) и ТПГ (пмоль/мг/мин) в мозге рыб, содержащихся в течение 10 дней в воде с 0 (контроль) (n = 11), 0.1 (n = 9), 0.2 (n = 10), 0.5 (n = 10) мМ MnCl2. Точки представляют индивидуальные значения показателей. Черты представляют средние значения ± ошибки средних по каждому аквариуму.
*p < 0.05, ***p < 0.001 vs контроль.
В то же время, группы рыб существенно различались по активности ТПГ в мозге (F(3,35) = 8.3, p < 0.001, рис. 4). Было показано значительное увеличение активности фермента в мозге рыб, содержащихся при 0.2 (p = 0.0005) и 0.5 (p = 0.02) мМ MnCl2 в воде (рис. 4).
Для проверки предположения, что ионы Mn повышают стабильность, время жизни и, как следствие – число активных молекул ТПГ и общую активность фермента, мы исследовали влияние 0.05 мМ MnCl2 на температурную стабильность и величину Т50 ТПГ in vitro. Было показано, что 0.05 мМ MnCl2 увеличивало Т50 ТПГ на 2.5°С (с 58.24°С до 60.74°С, F(1,10) = 5.53, p = 0.04, рис. 5).
Рис. 5. Значения Т50 для ТПГ из мозга D. rerio в отсутствии (контроль) и присутствии 0.05 мМ MnCl2.Точки представляют индивидуальные значения Т50. Каждая группа включала 6 значений. Черты представляют средние значения ± ошибки средних по каждому аквариуму.
*p < 0.05 vs контроль.
Обсуждение результатов
Целью работы было изучение влияния длительного воздействия ионов Mn на 5-HT систему головного мозга и контролируемые ею формы поведения у рыб D. rerio. Исходя из наблюдений на людях предполагалось, что непрерывное длительное (10 дней) воздействие высоких концентраций MnCl2 вызовет расстройства двигательной активности паркинсоно-подобного типа. Результаты оказались неожиданными: длительного воздействия относительно высоких концентраций оказалось недостаточно, чтобы вызвать снижение массы тела и нарушение двигательной активности. Возможно, для выявления негативного эффекта нужно взять более молодых рыб, увеличить концентрацию MnCl2 и/или время воздействия. Следует отметить, что имеющиеся в литературе данные о влиянии ионов Mn на рыб D. rerio довольно противоречивы. Одни исследователи отмечали, что экспозиция рыб в течении 96 ч при концентрации Mn около 0.075 мМ снижала их двигательную активность [25]. Другие исследователи не обнаружили изменений в двигательной активности при содержании рыб в течении 96 ч при 0.08 мМ MnCl2 [26]. Только при крайне высоких дозах (2 мМ) взрослые рыбы к 21-му дню воздействия показывают значимое сокращение пройденной дистанции [29]. Эти концентрации используют для моделирования марганизма на D. rerio и его лечения [30]. Представленные данные подтверждают общий тезис о высокой устойчивости рыб вида D. rerio к воздействию высоких доз MnCl2, которая наблюдается также и у личинок D. rerio [31].
Более того, длительное содержание рыб в воде с высокой концентрацией ионов Mn (0.5 мМ) даже статистически значимо увеличило расстояние от дна в тесте “новый аквариум”, и наблюдалась тенденция к уменьшению времени нахождения в нижней трети кюветы (p = 0.06). Известно, что D. rerio в незнакомой и потенциально опасной обстановке стремятся находиться у дна. Это рассматривается как защитная реакция [32, 33]. Некоторые авторы отмечают, что длительное воздействие ионов марганца усиливает выраженность данной защитной реакции у рыб [25, 26, 34]. Лишь в одном исследовании показано снижение выраженности защитной реакции у личинок D. rerio на 4 день их содержания в 1 мМ MnCl2 [35].
Известно, что при марганизме ранняя фаза течения болезни характеризуется в большей степени психическими симптомами [36], поэтому, возможно, при более длительной экспозиции или большей концентрации могли бы проявиться локомоторные нарушения. По всей видимости, для взрослых D. rerio требуются крайне высокие концентрации (выше 1 мМ) для индукции похожих симптомов, наблюдающихся при марганизме, или воздействие на более ранних стадиях развития (выше 0.6 мМ), при которых воспроизводятся разнообразные нарушения движений (круговое плавание) и осанки, напоминающие таковые у людей [3].
С другой стороны, показано, что увеличение 5-HT в синаптической щели при блокаде транспортера 5-HT или МАО также снижает время нахождения в нижней трети [23]. Можно предположить, что длительное воздействие ионами Mn стимулирует метаболизм 5-HT.
Однако не было обнаружено изменений в уровне 5-HT и его метаболита, не изменилась активность фермента МАО. В то же время, активность ТПГ была повышена при длительном воздействии MnCl2 в концентрациях 0.2 и 0.5 мМ. Несмотря на то, что увеличение активности ключевого фермента синтеза 5-HT оказалось недостаточным, чтобы вызвать видимое увеличение уровня медиатора в мозге рыб, оно, по-видимому, способно объяснить наблюдаемое время у дна.
Было предположено, что ионы Mn способны стабилизировать молекулу ТПГ и тем самым увеличить срок ее жизни в организме. Для проверки этого предположения мы исследовали влияние ионов Mn на термическую стабильность ТПГ in vitro. Оказалось, что ионы Mn даже в небольшой концентрации (0.05 мМ) действительно повышают термическую стабильность ТПГ, что выражается в увеличении величины Т50 – температуры, при которой денатурируется половина молекул. В среднем, молекулы ТПГ характеризуются периодом полужизни в 2–3 дня [37], Mn мог увеличить этот период, что привело к увеличению числа активных молекул ТПГ за период эксперимента и, в финале, к увеличению общей активности ТПГ в мозге.
Известно, что активность ТПГ зависит от ионов Fe, которые связываются с активным центром молекулы фермента и участвуют в переносе электронов [38]. Маловероятно, что ионы Mn способны замещать ионы Fe в активном центре, поскольку окислительно-восстановительные потенциалы ионов железа и марганца резко различаются и такая замена могла бы снизить каталитическую активность фермента. Вероятнее всего стабилизирующая способность ионов Mn обусловлена их способностью взаимодействовать с некоторыми аминокислотными остатками (например, с остатками гистидина) молекулы ТПГ и укреплять ее 3D структуру, повышать ее устойчивость к температурным воздействиям. Такой стабилизирующий эффект называется шаперонным, а молекулы, стабилизирующие 3D структуру молекул белков – фармакологическими шапперонами [39‒43]. В настоящее время показана способность тетрагидробиоптерина [44‒47] повышать термическую стабильность ТПГ2 мыши in vitro. Выяснение молекулярного механизма взаимодействия фармакологических шаперонов с целевыми белковыми молекулами необходимо для лечения тяжелых наследственных заболеваний [43]. Поскольку взаимодействие ионов переходных металлов, в том числе ионов Mn, с молекулами белков может быть полностью смоделировано в ближайшем будущем, открытие шаперонной активности ионов Mn позволит вскрыть фундаментальные молекулярные принципы и механизмы действия фармакологических шаперонов.
Заключение
Первоначально целью данного исследования было моделирование на рыбах D. rerio молекулярных механизмов повреждающего воздействия ионов Mn на 5-HT систему мозга и контролируемое 5-HT поведение. Неожиданно, в ходе работы было выяснено, что 5-HT система мозга и поведение рыб данного вида и данного возраста чрезвычайно устойчивы к ионам Mn. Длительное воздействие большими концентрациями ионов этого металла не повлияли на массу тела, поведение, уровень и метаболизм 5-HT и активность МАО в мозге рыб. В то же время, впервые было показано, что длительное воздействие больших концентраций ионов Mn in vivo увеличивает активность ТПГ в мозге рыб in vitro. С помощью анализа кривых термической денатурации молекул ТПГ в присутствии и отсутствии ионов Mn in vitro впервые был выявлен молекулярный механизм этого явления, а именно стабилизация молекулы ТПГ ионами Mn.
Источник финансирования
Работа выполнена при поддержке РНФ, грант № 24-15-00078.
Соблюдение этических норм
Конфликт интересов. Авторы заявляют, что у них отсутствует конфликт интересов.
Этическое одобрение. Содержание рыб и все экспериментальные процедуры соответствовали положению Национального института здоровья (NIH) США от 12 апреля 2013 г. по использованию D. rerio в исследованиях и были одобрены комитетом по биоэтике ИЦиГ СО РАН (Протокол № 34 от 15.06.2016 г.).
About the authors
А. E. Izyurov
Institute of Cytology and Genetics SD RAS
Email: avkulikov52@gmail.com
Russian Federation, Novosibirsk
I. E. Sorokin
Institute of Cytology and Genetics SD RAS
Email: avkulikov52@gmail.com
Russian Federation, Novosibirsk
V. S. Evsiukova
Institute of Cytology and Genetics SD RAS
Email: avkulikov52@gmail.com
Russian Federation, Novosibirsk
D. А. Zolotova
Institute of Cytology and Genetics SD RAS
Email: avkulikov52@gmail.com
Russian Federation, Novosibirsk
P. A. Kulikov
Institute of Cytology and Genetics SD RAS
Email: avkulikov52@gmail.com
Russian Federation, Novosibirsk
A. V. Kulikov
Institute of Cytology and Genetics SD RAS
Author for correspondence.
Email: avkulikov52@gmail.com
Russian Federation, Novosibirsk
References
- Mattison D.R., Momoli F., Alyanak C., Aschner M., Baker M., Cashman N., Dydak U., Farhat N., Guilarte T.R., Karyakina N., Ramoju S., Shilnikova N., Taba P., Krewski D. // Med. Int. (Lond). 2024. V. 4. P. 11.
- Pajarillo E., Nyarko-Danquah I., Adinew G., Rizor A., Aschner M., Lee E. // Adv. Neurotoxicol. 2021. V. 5. P. 215‒238.
- Bakthavatsalam S., Das Sharma S., Sonawane M., Thirumalai V., Datta A. // Dis. Model. Mech. 2014. V. 7. P. 1239–1251.
- Gorell J.M., Johnson C.C., Rybicki B.A., Peterson E.L., Kortsha G.X., Brown G.G., Richardson R.J. // Neurotoxicology. 1999. V. 20. P. 239–247.
- Dorman D.C., Brenneman K.A., McElveen A.M., Lynch S.E. // J. Toxicol. Environm. Health. 2002. V. 65. P. 1493‒1511.
- Chen P., Chakraborty S., Mukhopadhyay S., Lee E., Paoliello M.M., Bowman A.B., Aschner M. // J. Neurochem. 2015. V. 134. P. 601‒610.
- Osanai M., Hikishima K., Onoe H. // Front. Neural. Circuits. 2022. V. 16. P. 918500.
- Inoue T., Majid T., Pautler R.G. // Rev. Neurosci. 2011. V. 22. P. 675‒694.
- Tanihira H., Fujiwara T., Kikuta S., Homma N., Osanai M. // Front. Neural. Circuits. 2021. V. 15. P. 787692.
- Dribben W.H., Eisenman L.N., Mennerick S. // Cell Death Disease. 2010. V. 1. P. 63.
- Lucki I. // Biol. Psychiatry. 1998. V. 44. P. 151–162.
- Popova N.K. // Bioessays. 2006. V. 28. P. 495–503.
- Blanchard D.C., Meyza K. // Behav. Brain. Res. 2019. V. 357-358. P. 9‒17.
- Conio B., Martino M., Magioncalda P., Escelsior A., Inglese M., Amore M., Northoff G. // Mol. Psychiatry. 2020. V. 25. P. 82‒93.
- Gosmann N.P., Costa M.A., Jaeger M.B., Motta L.S., Frozi J., Spanemberg L., Manfro G.G., Cuijpers P., Pine D.S., Salum G.A. // PLoS Med. 2021. V. 18. P. e1003664.
- Tiwari P., Fanibunda S.E., Kapri D., Vasaya S., Pati S., Vaidya V.A. // FEBS J. 2021. V. 288. P. 2602‒2621.
- Miller B.R., Hen R. // Curr. Opin. Neurobiol. 2015. V. 30. P. 51–58.
- Panula P., Chen Y.C., Priyadarshini M., Kudo H., Semenova S., Sundvik M., Sallinen V. // Neurobiology of disease. 2010. V. 40. P. 46‒57.
- Gaspar P., Lillesaar C. // Philosophical Transactions of the Royal Society B: Biological Sciences. 2012. V. 367. P. 2382‒2394.
- Maximino C., Puty B., Benzecry R., Araújo J., Lima M.G., Batista E.D.J.O., Herculano A.M. // Neuropharmacology. 2013. V. 71. P. 83‒97.
- Herculano A.M., Maximino C. // Progress in Neuro-Psychopharmacology and Biological Psychiatry. 2014. V. 55. P. 50‒66.
- Kulikov A.V., Sinyakova N.A., Kulikova E.A., Khomenko T.M., Salakhutdinov N.F., Kulikov V.A., Volcho K.P. // Lett. Drug. Des. Discov. 2019. V. 16. P. 1321–1328.
- Evsiukova V.S., Bazovkina D., Bazhenova E., Kulikova E.A., Kulikov A.V. // Int. J. Mol. Sciences. 2021. V. 22. P. 12851.
- Kulikov A.V., Sinyakova N., Kulikova E., Evglevsky N., Kolotygin I., Volcho K., Salakhutdinov N., Kulikov V., Romaschenko A., Moshkin M. // Eur. Neuropsychopharmacol. 2019, V. 29. P. 198‒199.
- Ferreira S.A., Loreto J.S., Dos Santos M.M., Barbosa N.V. // Environ. Toxicol. Pharmacol. 2022. V. 93. P. 103870.
- Rodrigues G.Z.P., Staudt L.B.M., Moreira M.G., Dos Santos T.G., de Souza M.S., Lúcio C.J., Panizzon J., Kayser J.M., Simões L.A.R., Ziulkoski A.L., Bonan C.D. // Chemosphere. 2020. V. 244. P. 125550.
- Kulikov P.A., Sorokin I.E., Evsiukova V.S., Kulikov A.V. // Bull. Exp. Biol. Med. 2023. V. 175. P. 106‒111.
- Evsiukova V.S., Sorokin I.E., Kulikov P.A., Kulikov A.V. // Behav. Brain Res. 2024. V. 466. P. 115000.
- Nadig A.P.R., Huwaimel B., Alobaida A., Khafagy E.S., Alotaibi H.F., Moin A., Lila A.S.A., Suma M.S., Krishna K.L. // Biomed. Pharmacother. 2022. V. 155. P. 113697.
- Haridevamuthu B., Sudhakaran G., Pachaiappan R., Kathiravan M.K., Manikandan K., Almutairi M.H., Almutairi B.O., Arokiyaraj S., Arockiaraj J. // Br. J. Pharmacol. 2024.
- Hernández R.B., Nishita M.I., Espósito B.P., Scholz S., Michalke B. // J. Trace Elem. Med. Biol. 2015. V. 32. P. 209‒217.
- Kalueff A.V., Stewart A.M., Gerlai R. // Trends Pharmacol. Sci. 2014. V. 35. P. 63‒75.
- Stewart A.M., Braubach O., Spitsbergen J., Gerlai R., Kalueff A.V. // Trends Neurosci. 2014. V. 37. P. 264‒278.
- Marins K., Lazzarotto L.M.V., Boschetti G., Bertoncello K.T., Sachett A., Schindler M.S.Z., Chitolina R., Regginato A., Zanatta A.P., Siebel A.M., Magro J.D., Zanatta L. // Environ Sci. Pollut. Res. Int. 2019. V. 26. N. 23. P. 23555‒23570.
- Altenhofen S., Wiprich M.T., Nery L.R., Leite C.E., Vianna M.R.M.R., Bonan C.D. // Aquat. Toxicol. 2017. V. 182. P. 172‒183.
- Bowman A.B., Kwakye G.F., Herrero Hernández E., Aschner M. // J. Trace Elem. Med. Biol. 2011. V. 25. P. 191‒203.
- Meek J.L., Neff N.H. // J. Neurochem. 1972. V. 19. P. 1519‒1525.
- Fitzpatrick P.F. // Arch. Biochem. Biophys. 2023. V. 735. P. 109518.
- Gregersen N., Bross P., Vang S., Christensen J.H. // Annu. Rev. Genomics Hum. Genet. 2006. V. 7. P. 103‒124.
- Muntau A.C., Leandro J., Staudigl M., Mayer F., Gersting S.W. // J. Inherit. Metab. Dis. 2014. V. 37. P. 505‒523.
- Leandro P., Gomes C.M. // Mini Rev. Med. Chem. 2008. V. 8. P. 901‒911.
- Papp E., Csermely P. // In Molecular Chaperones in Health and Disease. Handbook of Experimental Pharmacology (Starke, K., Gaestel, M., eds). Springer. Berlin. Heidelberg. 2006. V. 172. P. 405‒413.
- Voronin M.V., Abramova E.V., Verbovaya E.R., Vakhitova Y.V., Seredenin S.B. // Int. J. Mol. Sci. 2023. V. 24. P. 823.
- Pey A.L., Ying M., Cremades N., Velazquez-Campoy A., Scherer T., Thöny B., Sancho J., Martinez A. // J. Clin. Invest. 2008. V. 118. P. 2858‒2867.
- Calvo A.C., Scherer T., Pey A.L., Ying M., Winge I., McKinney J., Haavik J., Thöny B., Martinez A. // J. Neurochem. 2010. V. 114. P. 853‒863.
- Waløen K., Kleppe R., Martinez A., Haavik J. // Expert Opin. Ther. Targets. 2017. V. 21. P. 167‒180.
- Arefieva A.B., Komleva P.D., Naumenko V.S., Khotskin N.V., Kulikov A.V. // Biomolecules. 2023. V. 13. P. 1458.
Supplementary files







