Central Effects of Peripherically Introduced Immune Cells Modulated by an Original Anticonvulsant in Experimental Alcoholism
- Authors: Markova E.V.1, Savkin I.V.1, Serenko E.V.1, Knyazheva M.A.1, Shevchenko Y.A.1
-
Affiliations:
- Federal State Budgetary Scientific Institution “Research Institute of Fundamental and Clinical Immunology”
- Issue: Vol 40, No 4 (2023)
- Pages: 338-347
- Section: Experimental Articles
- URL: https://ogarev-online.ru/1027-8133/article/view/231933
- DOI: https://doi.org/10.31857/S1027813323030123
- EDN: https://elibrary.ru/YVAMDK
- ID: 231933
Cite item
Full Text
Abstract
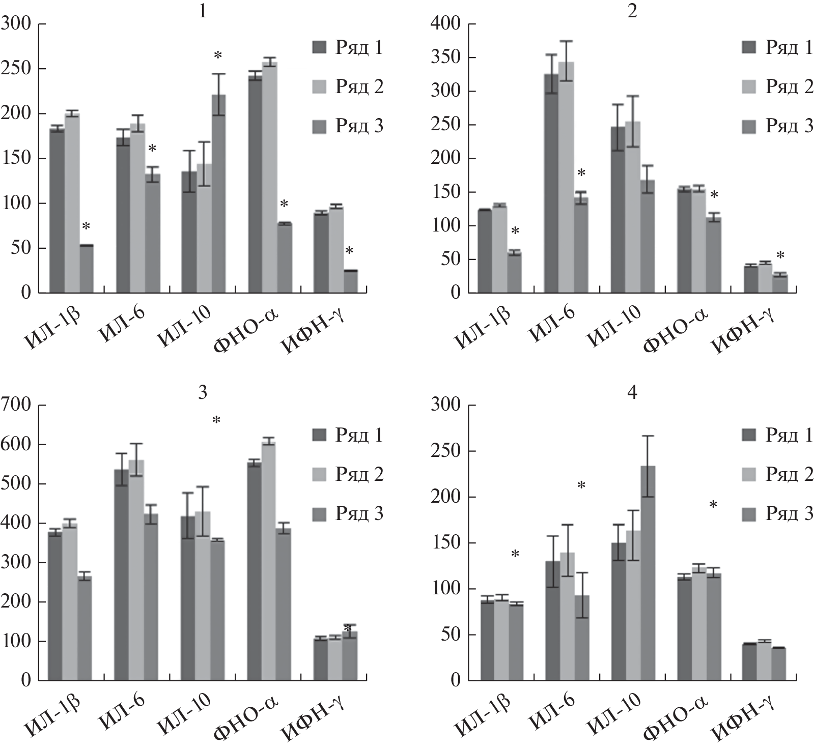
Violation of neuroimmune regulatory interrelation, caused, in particular, by a change in the immune cell’s functional phenotype due to chronic ethanol intoxication, is an essential link in the pathogenesis of alcoholism. The unidirectional influence of most psychoactive drugs on the cells of the nervous and immune systems allows to consider immune cells as model objects for influencing intersystem functional interrelation. Based upon our own priority data on the presence of immunomodulatory properties in chronic alcohol intoxication at the original anticonvulsant acting on the molecular targets of ethanol influence in the central nervous system and the immune system, the aim of the present study was to evaluate the central effects of peripherally injected lymphocytes with in vitro modulated functional activity by a synthetic ligand of the GABAA-receptor complex meta-chlorobenzhydrylurea in long-term alcoholized animals. It was shown that transplantation of lymphocytes pre-cultivated with the anticonvulsant in syngeneic long-term alcoholic recipients achieves a decrease in alcohol motivation and stimulation of behavioral activity in the “open field” test. Editing of behavioral patterns characteristic for chronic alcohol intoxication was recorded against the background of a decrease in pathogenetically significant brain structures of pro-inflammatory cytokines IL-1β, IL-6, TNF-α, IFN-γ and an increase in the anti-inflammatory cytokine IL-10, as well as an increase in the level of BDNF in the hippocampus, which allows us to consider a decrease in neuroinflammation and stimulation neuroplasticity as possible mechanisms for editing the behavior of recipients. Visualization of functionally active lymphocytes pre-cultured with meta-chlorobenzydrylurea in the brain’s parenchyma of long-term alcoholized recipients also suggests a direct effect of injected lymphocytes on CNS cells. Thus, immune cells modulated in vitro with meta-chlorobenzydrylurea by relatively independent mechanisms have positive psychoneuromodulating effects in chronic ethanol intoxication, which makes it possible to consider adoptive immunotherapy as a promising method in the treatment of alcoholism.
About the authors
E. V. Markova
Federal State Budgetary Scientific Institution “Research Instituteof Fundamental and Clinical Immunology”
Email: nchjournal@gmail.com
Russia, Novosibirsk
I. V. Savkin
Federal State Budgetary Scientific Institution “Research Instituteof Fundamental and Clinical Immunology”
Email: nchjournal@gmail.com
Russia, Novosibirsk
E. V. Serenko
Federal State Budgetary Scientific Institution “Research Instituteof Fundamental and Clinical Immunology”
Email: nchjournal@gmail.com
Russia, Novosibirsk
M. A. Knyazheva
Federal State Budgetary Scientific Institution “Research Instituteof Fundamental and Clinical Immunology”
Email: nchjournal@gmail.com
Russia, Novosibirsk
Yu. A. Shevchenko
Federal State Budgetary Scientific Institution “Research Instituteof Fundamental and Clinical Immunology”
Email: nchjournal@gmail.com
Russia, Novosibirsk
References
- Анохина И.П. //Вопросы наркологии. 2018. № 2. С. 22–34.
- Ward R.J., Lallemand F., De Witte P. //Alcohol & Alcoholism. 2009. V. 44 (2). P. 128–135.
- Kelleya K.W., Dantzer R. // Brain. Behav. Immun. 2011. V. 25 (S1). P. S13–S20.
- Crews F.T., Lawrimore C.J., Walter T.J., Coleman L.G. // Neuropharmacol. 2017. V. 122. P. 56–73.
- Meredith L.R., Burnette E.M., Grodin E.N., Irwin M.R., Ray L.A. // Brain. Behav. Immun. 2021. V. 97. P. 349–364.
- Blaine S.K., Sinha R. // Neuropharmacol. 2017. V. 122. P. 136–147.
- Pérez-Reytor D., Karahanian E. // The American Journal of Drug and Alcohol Abuse. 2022. https://doi.org/10.1080/00952990.2022.2114005
- Follesa P., Floris G., Asuni G.P., Ibba A., Tocco M.G., Zicca L., Gorini G. // Front. in Cell. Neurosci. 2015. V. 9. P. 445.
- Centanni S.W., Teppen T., Risher M.-., Fleming, R.L., Moss J.L., Acheson S.K. et al. // Alcohol. Clin. Exp. Res. 2014. V. 38. P. 2800–2808.
- Alam S., Walding A // Mol. Immunol. 2006. V. 43. № 9. P. 1432–1442.
- Mendu S.K., Akesson L., Jin Z., Edlund A., Cilio C., Lernmark A., Birnir B. // Mol. Immunol. 2011. V. 48. № 4. P. 399–407.
- Zhang H., Meadows G.G. // J. Leukocyte Biol. 2005. V. 78. № 5. P. 1070–1080.
- Zuluaga P., Sanvisens A., Caceres E.M., Muga R. // Drug and Alcohol Dependence. 2017. V. 180. P. 7–13.
- Sureshchandra S., Raus A., Jankeel A., Ligh B.J.K., Walter N.A., Newman N., Messaoudi I. // Scientific Reports. 2019. V. 9. № 1. P. 1–13.
- Pang M., Bala S., Kodys K., Catalano D., Szabo G. // BMC Immunology. 2011. V. 12. № 1. P. 1–11.
- Crews F.T., Sarkar D.K., Qin L., Zou J., Boyadjieva N., Vetreno R.P. // Alcohol Res. 2015. V. 37. P. 331–351.
- Boyd K.N., Kumar S., O’Buckley T.K. // J. Neurochem. 2010. V. 112. № 3. P. 784–796.
- Evseev V.A., Davydova T.V., Mikovskaya O.I. // Bull. Exp. Biol. Med. 2001. V. 131. № 4. P. 364–368.
- Shushpanova T.V., Solonsky A.V., Bokhan N.A., Novozheeva T.P., Udut V.V., Arbit G.A., Filimonov V.D. // J. Alcohol Drug Depend. 2016. V. 4. № 234. P. 2.
- Novozheeva T., Markova E., Shushpanova O., Knyazeva E., Shushpanova T. // European Psychiatry. 2019. V. 56. P. S15.
- Маркова Е.В., Савкин И.В., Шушпанова Т.В., Княжева М.А., Аникеева О.С. // Изобретения и полезные модели. Официальный бюллетень федеральной службы по интеллектуальной собственности. 2019. № 17. RU 2691143 C1.
- Markova E., Savkin I., Anikeeva O., Shushpanova T. // European Psychiatry. 2019. V. 56(S). P. 662–663.
- Markova E., Knyazheva M., Savkin I., Shushpanova T. // European Psychiatry. 2017. V. 41(S1). P. 742–743.
- Markova E.V., Savkin I.V., Knyazheva M.A., Shushpanova T.V. //Siberian Herald of Psychiatry and Addiction Psychiatry. 2020. V. 1 (106). P. 14–22 (in Rus).
- Markova E., Starostina M., Abramov V., Kozlov V. / Proceedings of the 2nd European Congress of Immunology. Free Papers. Editors Reinhold E. Schmidt. MEDIMOND S.r.l., Bolonga, Italy. 2009. P. 423–429.
- Markova E.V., Knyazheva M.A. // Medical Immunology (Russia). 2021. V. 23 (4). P. 699–704.
- Markova E.V., Knyazheva M.A., Tikhonova M.A., Amstislavskaya T.G. // Neurosci. Lett. 2022. V. 786. P. 136790.
- Markova E.V., Serenko E.V. // Siberian Herald of Psychiatry and Addiction Psychiatry. 2022. V. 3 (116). P. 5–13 (in Rus).
- Rattazzi L. Piras G., Ono M., Deacon R., Pariante C.M., Acquisto F.D. // Transl. Psychiat. 2013. V. 3. P. 280.
- Radjavi A., Smirnov I., Kipnis J. // Brain Behav. Immun. 2014. V. 35. P. 58–63.
- Song C. Nicholson J.D., Clark S.M., Li X., Keegan A.D., Tonelli L.H. // Brain Behav. Immun. 2016. V. 57. P. 161–172.
- Clark S.M., Vaughn C.N., Soroka J.A., Li Xi. Tonelli L.H. // Eur. J. Neurosci. 2018. V. 47. P. 968–978.
- Буреш Я., Бурешова О., Хьюстон Д.П. / Методики и основные эксперименты по изучению мозга и поведения. М., 1991. 399 с.
- Prasad S., Hu S., Sheng W.S., Singh A., Lokensgard J.R. // PLoS One. 2015. V. 10. № 12. P. e0145457.
- Crews, F.T., Collins M.A., Dlugos C., Littleton J., Wilkins L., Neafsey E.J., Noronha A. // Alcoholism: Clinical and Experimental Research. 2004. V. 28. № 2. P. 350–364.
- Topiwala, A., Allan, C.L., Valkanova, V., Zsoldos, E., Filippini, N., Sexton, C., Mahmood, A., Fooks, P., Singh-Manoux, A., Mackay, C.E., Kivimäki, M., Ebmeier, K.P. // BMJ. 2017. V. 357. P. j2353.
- Lowe P.P., Morel C., Ambade A., Iracheta-Vellve A., Kwiatkowski E., Satishchandran A., Szabo G. // J. Neuroinflammation. 2020. V. 17. P. 1–18.
- Flores-Bastías O., Karahanian E. // Neuropharmacol. 2018. V. 128. P. 401–407.
- Airapetov M., Eresko S., Lebedev A., Bychkov E., Shabanov P. // Biosci. Trends. 2021. V. 15. № 2. P. 74–82.
- Aurelian L., Balan I. // Psychopharmacol. 2019. V. 236. P. 3023–3043.
- Logrip M.L., Barak S., Warnault V., Ron D. // Brain Res. 2015. V. 1628. P. 60–67.
- Ceballos N., Sharma S. // AIMS Neurosci. 2016. V. 3. № 4. P. 398–432.
- Peregud D.I., Panchenko L.F., Gulyaeva N.V. // J. Addict. Problems. 2016. № 9–10. P. 29–41 (in Rus).
- Feltenstein M.W., See R.E. // Cold Spring Harbor Perspectives in Medicine. 2013. V. 3. № 5. P. a011916.
- Popova N.K., Ilchibaeva T.V., Antonov E.V., Pershina A.V., Bazovkina D.V., Naumenko V.S. // Alcohol. 2020. V. 87. P. 1–15.
Supplementary files





