Stress intensity factors at the top of the central semi-infinite crack in an arbitraly loaded isotropic strip
- 作者: Ustinov K.B.1
-
隶属关系:
- A.Yu. Ishlinsky Institute for problem in Mechanics RAS
- 期: 编号 6 (2024)
- 页面: 46-73
- 栏目: Articles
- URL: https://ogarev-online.ru/1026-3519/article/view/281243
- DOI: https://doi.org/10.31857/S1026351924060042
- EDN: https://elibrary.ru/TZHCUW
- ID: 281243
如何引用文章
详细
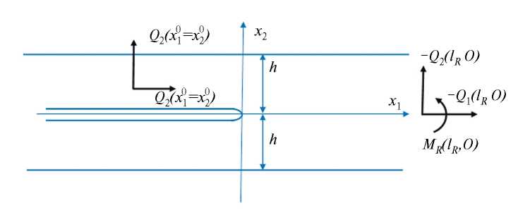
A two-dimensional problem of elasticity theory on an isotropic strip with a central semi-infinite crack is considered. The load in the form of a concentrated force is assumed to be applied at an arbitrary point of the strip. Using invariant mutual integrals and solutions for a strip loaded with bending moments and longitudinal forces applied at infinity, expressions for stress intensity factors (SIF) for the problem under consideration are obtained. The cases of forces applied at the crack faces, at the strip boundaries and at the internal points of the strip are considered. Asymptotic expressions are obtained for the cases of application of forces far from the crack tip and forces applied at the crack faces near its tip. The obtained solutions are shown to coincide with known solutions for special cases: loads in the form of a pair of normal forces applied to the crack faces and forces applied far from the crack tip.
全文:
作者简介
K. Ustinov
A.Yu. Ishlinsky Institute for problem in Mechanics RAS
编辑信件的主要联系方式.
Email: ustinov@ipmnet.ru
俄罗斯联邦, Moscow
参考
- Zweben C., Smith W.S., Wardle M.W. Test methods for fiber tensile strength, composite flexural modulus, and properties of fabric-reinforced laminates // Composite Materials: Testing and Design (Fifth Conference), ASTM International 1979. https://doi.org/10.1520/STP36912S
- Hofinger I., Oechsner M., Bahr H.-A., Swain M.V. Modified four-point bend specimen for determining the interface fracture energy for thin, brittle layers // Int. J. Fracture. 1998. V. 92. P. 213–220.
- Thery P.-Y., Poulain M., Dupeux M., Braccini M. Spallation of two thermal barrier coating systems: experimental study of adhesion and energetic approach to lifetime during cyclic oxidation // J. Mater. Sci. 2009. V. 44. P. 1726–1733. https://doi.org/10.1007/s10853-008-3108-x
- Hutchinson R.G., Hutchinson J.W. Lifetime assessment for thermal barrier coatings: tests for measuring mixed mode delamination toughness // J. Am. Ceram. Soc. 2011. V. 94. P. S85–S95. https://doi.org/10.1111/j.1551-2916.2011.04499.x
- Vaunois J.-R., Poulain M., Kanouté P., Chaboche J.-L. Development of bending tests for near shear mode interfacial toughness measurement of EB-PVD thermal barrier coatings // Eng. Frac. Mech. 2017. V. 171. P. 110–134. https://doi.org/10.1016/j.engfracmech.2016.11.009
- Monetto I., Massabò R. An analytical solution for the inverted four-point bending test in orthotropic specimens // Eng. Fract. Mech. 2020. https://doi.org/10.1016/j.engfracmech
- Altenbach H., Altenbach J., Kissing W. Mechanics of composite structural members. Berlin Heidelberg, New York: Springer-Verlag, 2004. https://doi.org/10.1007/978-3-662-08589-9
- Banks-Sills L. Interface fracture and delaminations in composite materials, springer briefs in applied sciences and technology. Springer, International Publishing, Cham., 2018. https://doi.org/10.1007/978-3-319-60327-8
- Goldstein R.V., Perelmuter M.N. An interface crack with bonds between the surfaces // Mech. Solids. 2001. V. 36. № 1. P. 77–92.
- Glagolev V.V., Markin A.A. Influence of the model of the behavior of a thin adhesion layer on the value of the j-integral // Mech. Solids. 2022. V. 57. № 2. P. 278–285. https://doi.org/10.3103/S0025654422020169
- Glagolev V.V., Markin A.A. Limit states of adhesive layers under combined loading // Mech. Solids. 2023. V. 58. № 6. P. 1960–1966. https://doi.org/10.3103/S0025654423600204
- Aleksandrov V.M., Mkhitaryan S.M. Contact problems for bodies with thin coatings and interlayers. M.: Nauka, 1983. 487 p.
- Suo Z., Hutchinson J.W. Interface crack between two elastic layers // Int. J. Fract. 1990. V. 43. P. 1–18. https://doi.org/10.1007/BF00018123
- Hutchinson J.W., Suo Z. Mixed mode cracking in layered materials // Adv. Appl. Mech. Ed. J.W. Hutchinson, T.Y. Wu. 1992. V. 29. P. 63–191. https://doi.org/10.1016/S0065-2156(08)70164-9
- Massabò R., Brandinelli L., Cox B.N. Mode i weight functions for an orthotropic double cantilever beam // Int. J. Eng. Sci. 2003. V. 41. № 13–14. P. 1497–1518. https://doi.org/10.1016/S0020-7225(03)00029-6
- Li S., Wang J., Thouless M.D. The effects of shear on delamination in layered materials // J. Mech. Phys. Solids. 2004. V. 52. № 1. P. 193–214. https://doi.org/10.1016/S0022-5096(03)00070-X
- Andrews M.G., Massabò R. The effects of shear and near tip deformations on energy release rate and mode mixity of edge-cracked orthotropic layers // Eng. Fract. Mech. 2007. V. 74. № 17. P. 2700–2720. https://doi.org/10.1016/j.engfracmech.2007.01.013
- Kurguzov V.D. Modeling of delamination of thin films under compression // Computational continuum mechanics. 2014. V. 7. № 1. P. 91–99 (In Russian).
- Ustinov K.B. On influence of substrate compliance on delamination and buckling of coatings // Eng. Failure Anal. 2015. V. 47. № 14. P. 338–344. https://doi.org/10.1016/j.engfailanal.2013.09.022
- Begley M.R., Hutchinson J.W. The mechanics and reliability of films, multilayers and coatings. Cambridge University Press, 2017. https://doi.org/10.1017/9781316443606
- Vatulyan A.O., Morozov K.L. Investigation of delamination from an elastic base using a model with two coefficients of subgrade reaction // Mech. Solids. 2020. № 2. P. 207–217. https://doi.org/10.3103/S002565442002017X
- Vatulyan A.O., Morozov K.L. Study of the process of delamination of a non-uniform coating // Appl. Mech. Tech. Phys. 2021. V. 62. № 6 (370). P. 138–145 (In Russian).
- Obreimoff J.W. The splitting strength of mica // Proc. R. Soc. A Math. Phys. Eng. Sci. 1930. V. 127. P. 290–297.
- Gilman J.J. Fracture / Ed. B.L. Averbach et al. NY: John Wiley and Sons, Inc., 1959. P. 193–221.
- Suo Z. Delamination specimens for orthotropic materials // J. Appl. Mech. 1990. V. 57. № 3. P. 627–634. https://doi.org/10.1115/1.2897068
- Grekov M.A., Morozov N.F. Some modern methods in mechanics of cracks. In V. Adamyan et al. (Eds.), Operator theory: advances and applications. Modern analysis and applications. P. 127–142. Basel: Birkhäuser, 2009. https://doi.org/10.1007/978-3-7643-9921-4_8
- Kipling E.J., Mostovoy S., Patrick R.L. Materials research standards 4. 1964. № 3. P. 129–134.
- Kanninen M.F. An augmented double cantilever beam model for studying crack propagation and arrest // Int. J. Fract. 1973. V. 9. P. 83–92. https://doi.org/10.1007/BF00035958
- Gross B., Srawley J.E. Stress intensity factors by boundary collocation for single-edge notch specimens subjected to splitting forces, NASA TN D-3295. 1966.
- Popov G.Ya. Bending of a semi-infinite slab lying on a linearly deformable base // PMM. 1961. V. 2. P. 342–355 (In Russsian).
- Entov V., Salganik R., On beam approximation in crack theory // Izv. AN SSSR. Mehanika. 1965. V. 5. P. 95–102 (In Russian).
- Fichter W.B. The stress intensity factor for the double cantilever beam // Int. J. Fract. 1983. V. 22. № 2. P.133–143. https://doi.org/10.1007/BF00942719
- Foote R.M.L., Buchwald T. An exact solution for the stress intensity factor for a double cantilever beam // Int. J. Fract. 1985. V. 29. № 3. P. 125–134. https://doi.org/10.1007/BF00034313
- Zlatin A.N., Khrapkov A.A. A Semi-infinite crack parallel to the boundary of the elastic half-plane // Sov. Phys. Dokl. 1986. V. 31. P. 1009–1010.
- Khrapkov A. Winer-Hopf method in mixed elasticity theory problems. B.E. Vedeneev VNIIG Publishing House, 2001.
- Salganik R.L, Ustinov K.B Deformation problem for an elastically fixed plate modeling a coating partially delaminated from the substrate (plane strain) // Mech. Solids. 2012. V. 47. № 4. P. 415–425. https://doi.org/10.3103/S0025654412040061
- Georgiadis H.G., Papadopoulos G.A. Elastostatics of the orthotropic double-cantilever-beam fracture specimen // Z. Angew. Math. Phys. 1990. V. 41. № 6. P. 889–899. https://doi.org/10.1007/BF00945841
- Ustinov K.B., Lisovenko D.S., Chentsov A.V. Orthotropic strip with a central semi-infinite crack under arbitrary normal loads applied far from the crack tip // Bull. Samara State Tech. University. Ser.: Phys. Math. Sci. 2019. V. 23. № 4. P. 657–670 (In Russian). https://doi.org/10.14498/vsgtu1736
- Ustinov K.B., Massabò R., Lisovenko D. Orthotropic strip with central semi-infinite crack under arbitrary loads applied far apart from the crack tip. Analytical solution // Eng. Failure Analysis 2020. V. 110. P. 104410 (In Russian). https://doi.org/10.1016/j.engfailanal.2020.104410
- Ustinov K.B. T-stress in an orthotropic strip with a central semi-infinite crack loaded far from the crack tip // Mech. Solids, accepted for publication.
- Ustinov K.B., Borisova N.L. Splitting of a strip consisting of two identical orthotropic half-strips with isotropy axes symmetrically inclined to the interface // Mech. Solids, accepted for publication.
- Ustinov K.B., Idrisov, D.M. On delamination of bi-layers composed by orthotropic materials: exact analytical solutions for some particular cases // ZAMM.Z. Angew. Math. Mech. 2021. V. 101. № 4. P. e202000239. https://doi.org/10.1002/zamm.202000239
- Ustinov K. On semi-infinite interface crack in bi-material elastic layer // Eur. J. Mech. A Solids. 2019. V. 75. P. 56–69. https://doi.org/10.1016/j.euromechsol.2019.01.013
- Chen F.H.K., Shield R.T. Conservation laws in elasticity of the J-integral type // J. appl. Math. Phys. (ZAMP). 1977. V. 28. № 1–22. https://doi.org/10.1007/BF01590704
- Cho Y.J., Beom H.G., Earmme, Y.Y. Application of a conservation integral to an interface crack interacting with singularities // Int. J. Fracture. 1994. V. 65. P. 63–73. https://doi.org/10.1007/BF00017143
- Sladek J., Sladek V. Evaluations of the t-stress for interface cracks by the boundary element method // Eng. Fract. Mech. 1997. V. 56. № 6. P. 813–825. https://doi.org/10.1016/S0013-7944(96)00131-2
- Eshelby J.D. The force on an elastic singularity // Proc. R. Soc. Lond. Ser. A. 1951. V. 244. P. 87–112. https://doi.org/10.1098/rsta.1951.0016
- Cherepanov G.P. The propagation of cracks in a continuous medium // J. Appl. Math. Mech. 1967. V. 31. № 3. P. 503–512.
- Rice J.R. A path independent integral and the approximate analysis of strain concentration by notches and cracks // J. Appl. Mech. 1968. V. 35. P. 379–386. https://doi.org/10.1115/1.3601206
- Irwin G.R. Analysis of stresses and strains near the end of a crack traversing a plate // J. Appl. Mech. 1957. V. 24. № 3. P. 361–364. https://doi.org/10.1115/1.4011547
- Cherepanov G.P. Mechanics of brittle fracture. McGraw Hill Higher Education. 935 p.
- Ustinov K.B., Monetto I., Massabò R. Analytical solutions for an isotropic strip with a central semi-infinite crack: T-stresses, displacements of boundaries, stress intensity factor due to a force acting at the crack. To be published 2024.
- Ustinov K., Massabò R. On elastic clamping boundary conditions in plate models describing detaching bilayers // Int. J. Sol. Struct. 2022. V. 248. 111600. https://doi.org/10.1016/j.ijsolstr.2022.111600
- Leonov M.Ya., Panasyuk V.V. Development of finest cracks in a solid // Prikl. Mekhanika. 1959. V. 5. № 4. P. 391–401.
- Barenblatt G.I. On the equilibrium cracks formed during the brittle fracture // PMM [Appl. Math. Mech.]. 1959. V. 23. № 3. P. 434–444; № 4. P. 706–721; № 5. P. 893–900.
- Dugdale D.S. Yielding of steel sheets containing slits // J. Mech. Phys. Solids, 1960. V. 8. № 2. P. 100–104. https://doi.org/10.1016/0022-5096(60)90013-2
- Muskhelishvili, N.I. Some basic problems of the mathematical theory of elasticity. P. Noordhoff Limited, Groningen-Holland, third ed., 1953. P. 471.
- Gakhov F.D. Boundary value problems. Pergamon Press, 1966.
补充文件







