The Influence of Average Pressure on the Eigenfrequencies of Oscillations of a Carbon Nanotube
- Autores: Khakimov A.G.1
-
Afiliações:
- Mavlyutov Institute of Mechanics, Ufa Federal Research Center, RAS
- Edição: Nº 6 (2023)
- Páginas: 155-164
- Seção: Articles
- URL: https://ogarev-online.ru/1026-3519/article/view/231741
- DOI: https://doi.org/10.31857/S0572329923600214
- EDN: https://elibrary.ru/IZGYHW
- ID: 231741
Citar
Texto integral
Resumo
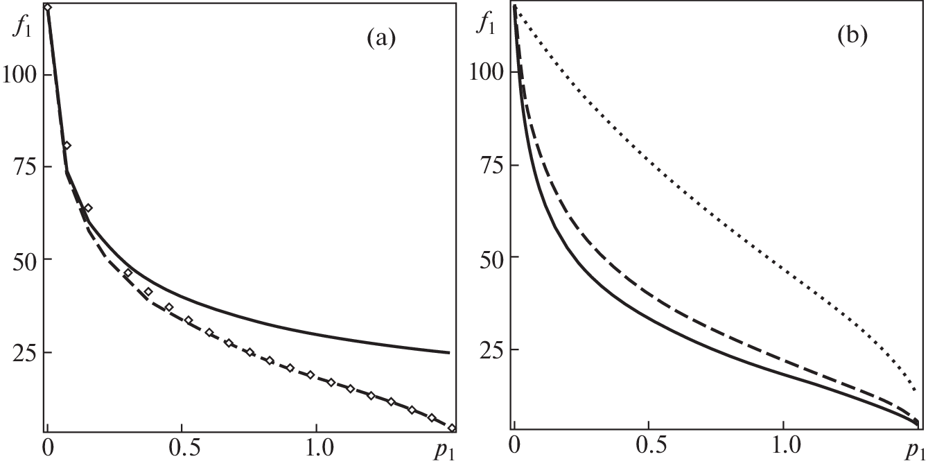
The bending oscillation frequencies of a carbon nanotube (CNT) are determined using the semi-momentless theory. An expression for the distributed lateral load on CNT is derived under the assumption of its cylindrical bending. CNT surfaces come into contact with media of varying densities and pressures. The medium can be compressible during surface deformation and incompressible. The influence of average pressure and changes in the curvature of the middle surface, as well as the added mass of the gaseous medium, on the bending is determined.
Palavras-chave
Sobre autores
A. Khakimov
Mavlyutov Institute of Mechanics, Ufa Federal Research Center, RAS
Autor responsável pela correspondência
Email: hakimov@anrb.ru
450054, Ufa, Russia
Bibliografia
- Гонткевич В.С. Собственные колебания оболочек в жидкости. Киев: Наукова думка, 1964. 103 с.
- Ильгамов М.А. Колебания упругих оболочек, содержащих жидкость и газ. М.: Наука, 1969. 182 с.
- Попов A.Л., Чернышев Г.Н. Механика звукоизлучения пластин и оболочек. М.: Физматлит, 1994. 208 с.
- Дяченко И.А., Миронов А.А. Аналитические и численные исследования свободных колебаний цилиндрических оболочек с акустической средой // Проблемы прочности и пластичности. 2021. Т. 83. № 1. С. 35–48. https://doi.org/10.32326/1814-9146-2021-83-1-35-48
- Leizerovich G.S., Taranukha N.A. Nonobvious features of dynamics of circular cylindrical shells // Mech. Solids. 2008. V. 43. № 2. P. 246–253. https://doi.org/10.3103/S0025654408020106
- Rawat A., Matsagar V., Nagpal A. Finite element analysis of thin circular cylindrical shells // Proc. Indian National Sci. Acad. 2016. V. 82. № 2. P. 349–355. https://doi.org/10.16943/ptinsa/2016/48426
- Farshidianfar A., Oliazadeh P. Free vibration analysis of circular cylindrical shells: comparison of different shell theories // Int. J. Mech. Appl. 2012. V. 2 (5). P. 74–80. https://doi.org/10.5923/j.mechanics.20120205.04
- O’Connell A.D., Hofheinz M., Ansmann M. et al. Quantum ground state and single-phonon control of a mechanical resonator // Nature. 2010. № 464. P. 697–703. https://doi.org/10.1038/nature08967
- Burg T.P., Godin M., Knudsen S.M. et al. Weighing of biomolecules, single cells and single nanoparticles in fluid // Nature. 2007. № 446. P. 1066–1069. https://doi.org/10.1038/nature05741
- Husale S., Persson H.H.J., Sahin O. DNA nanomechanics allows direct digital detection of complementary DNA and microRNA targets // Nature. 2009. № 462. P. 1075–1078. https://doi.org/10.1038/nature08626
- Bleich H.H., Baron M.L. Free and Forced vibration of an infinitely long cylindrical shell in an infinite acoustic medium // J. Appl. Mech. Trans. ASME. 1954. V. 21. № 2. P. 167–177.
- Sirenko Y.M., Stroscio M.A., Kim K.W. Elastic vibrations of microtubules in a fluid // Phys. Rev. 1996. V. 53. № 1. P. 1003–1010.
- Дмитриев С.В., Ильгамов М.А. Радиальная реакция углеродной нанотрубки на динамическое давление // ДАН. Физика. Технические науки. 2021. Т. 501. № 1. С. 8–13. https://doi.org/10.31857/S2686740021060080
- Ильгамов М.А. Влияние давления окружающей среды на изгиб тонкой пластины и пленки // ДАН. 2017. Т. 476. № 4. С. 402–405. https://doi.org/10.7868/S086956521728009X
- Ильгамов М.А. Влияние поверхностных эффектов на изгиб и колебания нанопленок // ФТТ. 2019. Т. 61. № 10. С. 1825–1830.
- Ilgamov M.A., Khakimov A.G. Influence of pressure on the frequency spectrum of micro and nanoresonators on hinged supports // J. Appl. Comput. Mech. 2021. V. 7. № 2. P. 977–983. https://doi.org/10.22055/jacm.2021.36470.2848
- Дмитриев С.В., Сунагатова И.Р., Ильгамов М.А., Павлов И.С. Собственные частоты радиальных колебаний углеродных нанотрубок // ЖТФ. 2021. Т. 91. Вып. 11. С. 1732–1737. https://doi.org/10.21883/JTF.2021.11.51536.127-21
- Dmitriev S.V., Semenov A.S., Savin A.V., Ilgamov M.A., Bachurin D.V. Rotobreather in a carbon nanotube bundle // J. Micromech. Mol. Phys. 2020. V. 5. № 3. 2050010. https://doi.org/10.1142/S2424913020500101
- Harik V.M. Ranges of applicability for the continuum beam model in the mechanics of carbon nanotubes and nanorods// Solid State Commun. 2001. V. 120. № 7–8. P. 331–335. https://doi.org/10.1016/S0038-1098(01)00383-0
- Qian D., Wagner G.J., Lin W.K., Ju M.F., Ruoff R.S. Mechanics of carbon nanotubes // Appl. Mech. Rev. 2002. V. 55. № 6. P. 495–532. https://doi.org/10.1115/1.1490129
- Елецкий А.В. Механические свойства углеродных нанотрубок и материалов на их основе // Успехи физических наук. 2007. Т. 177. № 3. С. 233–274. https://doi.org/10.3367/UFNr.0177.200703a.0233
- Ильгамов М.А. Перестройка гармоник при изгибе цилиндрической оболочки вследствие динамического сжатия // ПМТФ. 2011. Т. 52. № 3. С. 167–174.
- Timoshenko S.P., Young D.H., Weaver W. Vibration problems in engineering. New York: John Wiley & Sons, 1974.
- Wu J., Zang J., Larade B. et al. Computational design of carbon nanotube electromechanical pressure sensors // Phys. Rev. B. 2004. V. 69. P. 153406. https://doi.org/10.1103/PhysRevB.69.153406
- Хакимов А.Г. К статической устойчивости формы поперечного сечения трубопровода, цилиндрической оболочки, углеродной нанотрубки // Изв. РАН. МТТ. 2023. № 1. С. 95–101. https://doi.org/10.31857/S0572329922060101
Arquivos suplementares




