МЕХАНИЧЕСКАЯ СИСТЕМА, ДЕМОНСТРИРУЮЩАЯ “КАТАСТРОФИЧЕСКОЕ ПОВЕДЕНИЕ”
- Авторы: Мошинский А.И.1
-
Учреждения:
- ФГБОУ ВО Санкт-Петербургский государственный химико-фармацевтический университет
- Выпуск: № 4 (2023)
- Страницы: 83-96
- Раздел: Статьи
- URL: https://ogarev-online.ru/1026-3519/article/view/137535
- DOI: https://doi.org/10.31857/S0572329923700034
- EDN: https://elibrary.ru/JMWCCY
- ID: 137535
Цитировать
Полный текст
Аннотация
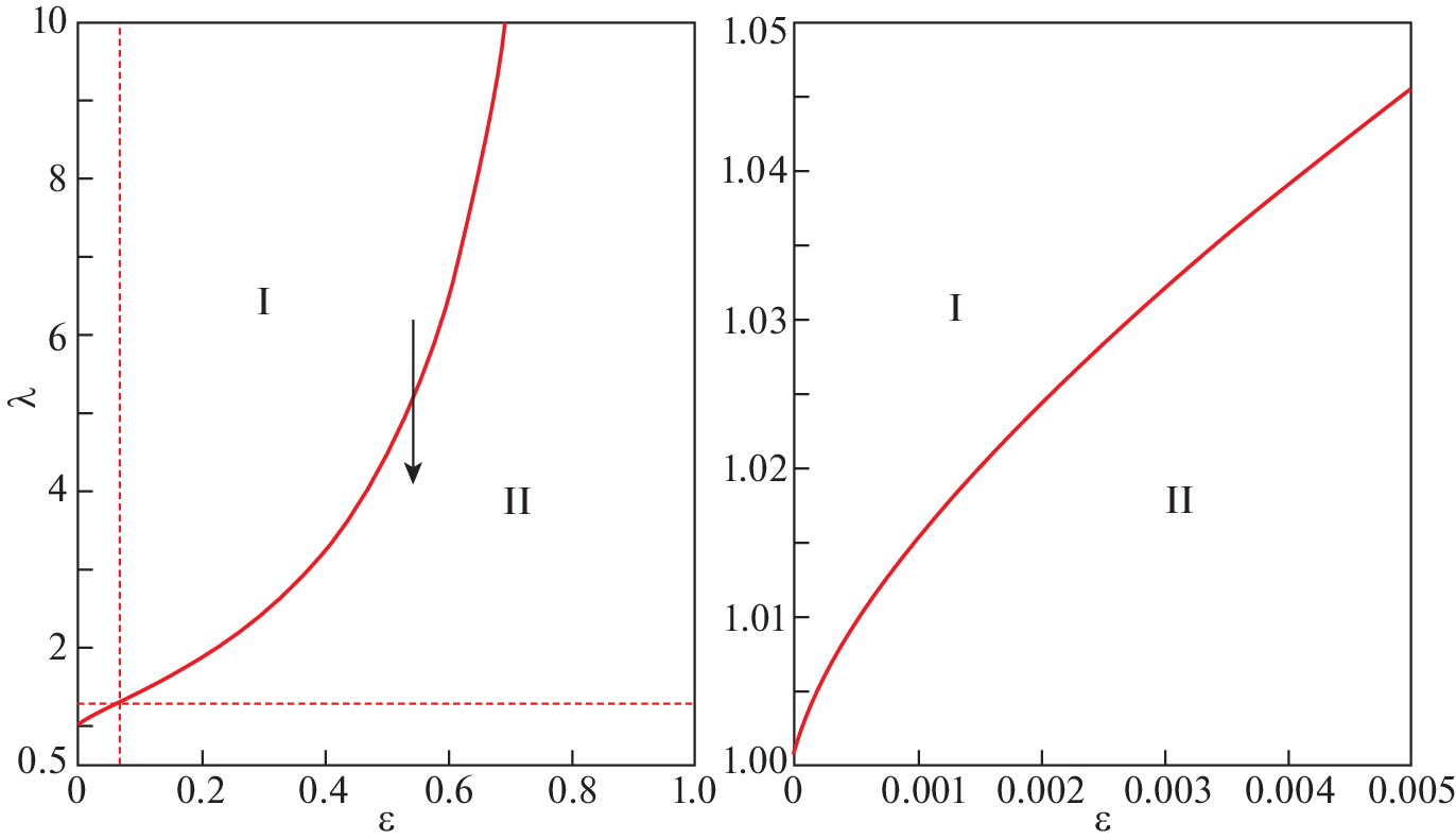
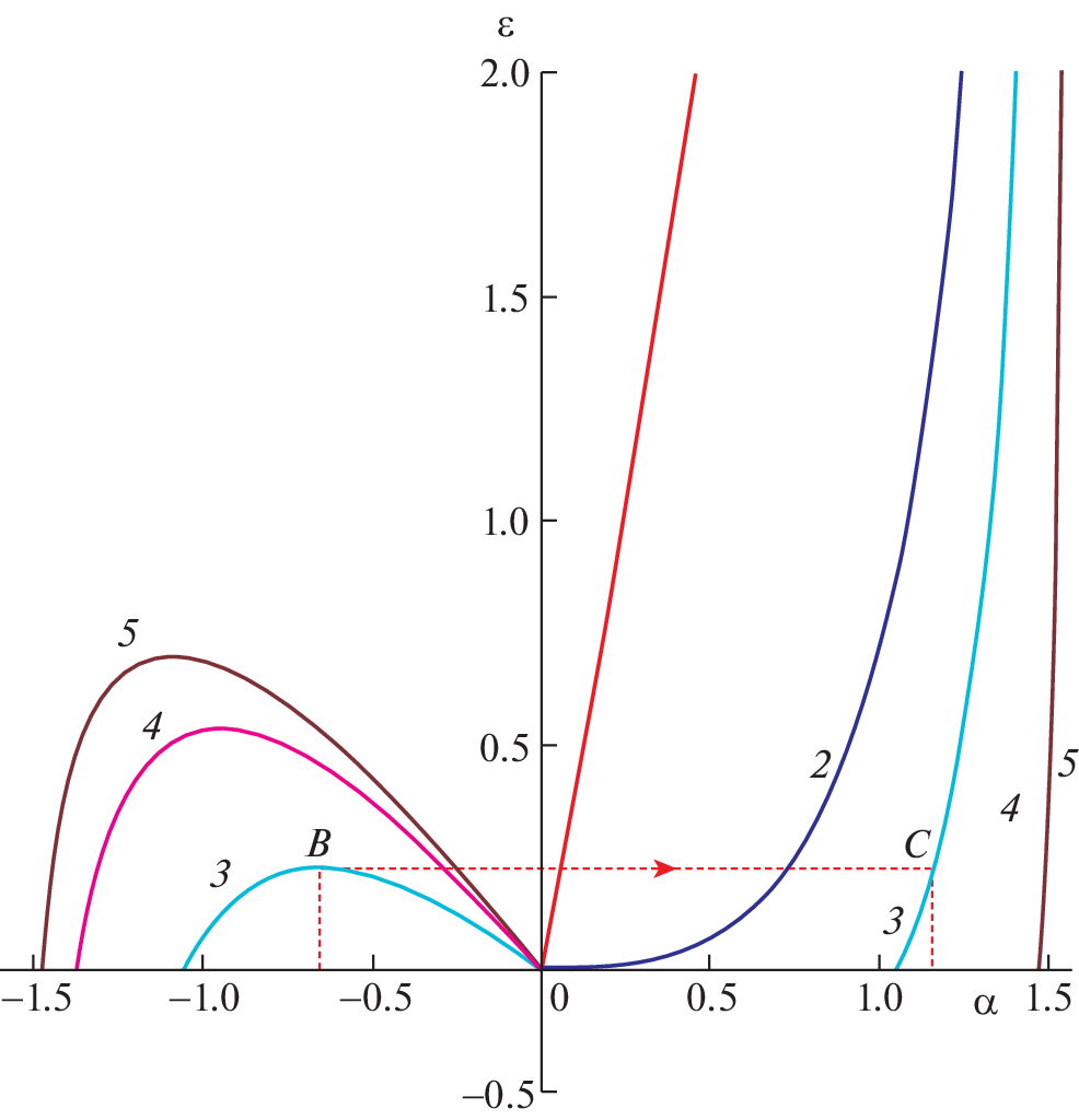
Исследуется поведение механической системы при изменении характеризующих ее параметров. Анализ показывает, что в системе возникают скачкообразные изменения (катастрофы) в определенной области управляющих параметров. Рассмотренная задача допускает точный (глобальный) анализ катастрофы, без привлечения различных разложений и допущений. Предложенная механическая конструкция может служить для демонстрации возникновения катастрофы.
Ключевые слова
Об авторах
А. И. Мошинский
ФГБОУ ВО Санкт-Петербургский государственный химико-фармацевтический университет
Автор, ответственный за переписку.
Email: alex-moshinskij@yandex.ru
Россия, Санкт-Петербург
Список литературы
- Арнольд В.И. Теория катастроф. Изд. 3-е, доп. М.: Наука, 1990. 128 с.
- Алексеев Ю.К., Сухоруков А.П. Введение в теорию катастроф: учебное пособие. Изд. 2‑е, доп. М.: Книжный дом “Либроком”, 2009. 184 с.
- Постон Т., Стюарт И. Теория катастроф и ее приложения. М.: Мир, 1980. 608 с.
- Малинецкий Г.Г. Математические основы синергетики: Хаос, структуры, вычислительный эксперимент. Изд. 5-е. М.: Книжный дом “Либроком”, 2007. 312 с.
- Буховцев Б.Б., Кривченков В.Д., Мякишев Г.Я., Сараева И.М. Сборник задач по элементарной физике. М.: Наука, 1974. 416 с.
- Гилмор Р. Прикладная теория катастроф. Т. 1. М.: Мир, 1984. 350 с.
- Арнольд В.И. Математические методы классической механики. Изд. 3-е, перераб. и доп. М.: Наука, 1989. 472 с.
- Арнольд В.И. Вещественная алгебраическая геометрия. М.: МЦНМО, 2009. 88 с.
- Курош А.Г. Курс высшей алгебры. 9-е изд. М.: Наука, 1968. 431 с.
- Томпсон Дж.М.Т. Неустойчивости и катастрофы в науке и технике. М.: Мир, 1985. 254 с.
Дополнительные файлы














