Морфо-физиологические детерминанты формирования урожая картофеля в условиях дефицита почвенной влаги
- Авторы: Бакунов А.Л.1, Дмитриева Н.Н.1, Рубцов С.Л.1, Милехин А.В.1, Нестеров В.Н.2, Богданова Е.С.2, Розенцвет О.А.2
-
Учреждения:
- Самарский ФИНЦ РАН НИИ сельского хозяйства им. Н.М. Тулайкова
- Самарский ФИНЦ РАН, Институт экологии Волжского бассейна РАН
- Выпуск: № 3 (2023)
- Страницы: 321-331
- Раздел: ЭКОЛОГИЯ
- URL: https://ogarev-online.ru/1026-3470/article/view/135528
- DOI: https://doi.org/10.31857/S1026347022700019
- EDN: https://elibrary.ru/GZWLXU
- ID: 135528
Цитировать
Полный текст
Аннотация
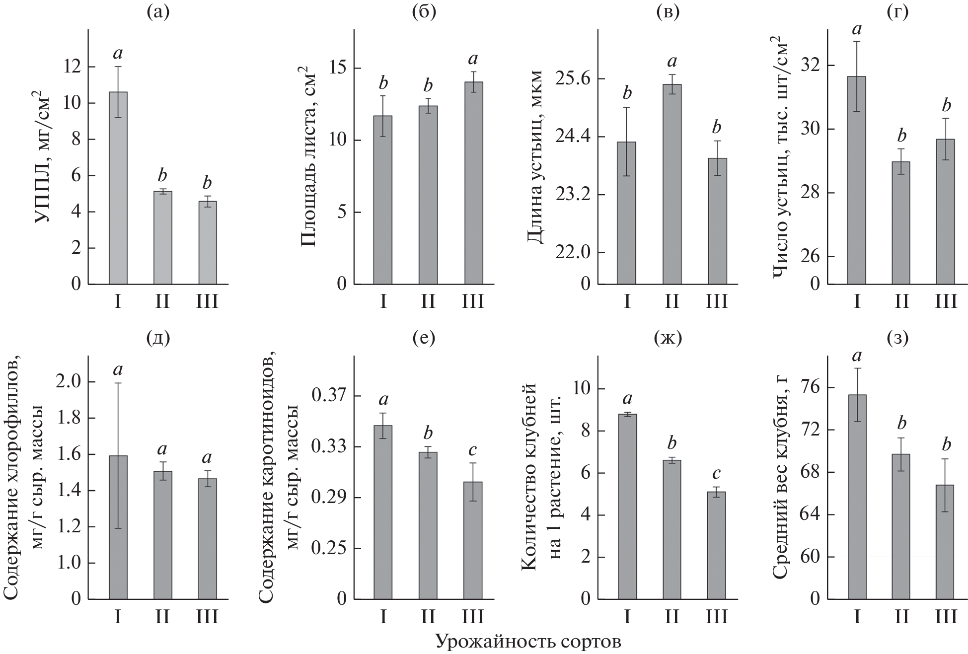
Исследован вклад морфо-физиологических параметров листьев и клубней 22 сортов картофеля (Solanum tuberosum L.) в формирование урожайности в условиях недостаточного увлажнения почвы и высоких температур воздуха. Дискриминантным анализом установлено, что размеры устьиц (12%), содержание хлорофилла (10%), количество клубней (29%) и средний вес клубня (21%) определяли градацию растений по урожайности. Наибольший вклад в дискриминацию по отношению к экологической пластичности вносят такие параметры как удельная поверхностная плотность листьев (38%), содержание хлорофилла (13%), каротиноидов (13%) и площадь листа (12%). Ключевыми характеристиками, определяющими высокую урожайность и адаптационную способность картофеля, являются число устьиц в единице площади листа, удельная поверхностная плотность листа и содержание фотосинтетических пигментов.
Ключевые слова
Об авторах
А. Л. Бакунов
Самарский ФИНЦ РАН НИИ сельского хозяйства им. Н.М. Тулайкова
Email: olgarozen55@mail.ru
Россия, 446254, Безенчук, ул. Карла Маркса, 41
Н. Н. Дмитриева
Самарский ФИНЦ РАН НИИ сельского хозяйства им. Н.М. Тулайкова
Email: olgarozen55@mail.ru
Россия, 446254, Безенчук, ул. Карла Маркса, 41
С. Л. Рубцов
Самарский ФИНЦ РАН НИИ сельского хозяйства им. Н.М. Тулайкова
Email: olgarozen55@mail.ru
Россия, 446254, Безенчук, ул. Карла Маркса, 41
А. В. Милехин
Самарский ФИНЦ РАН НИИ сельского хозяйства им. Н.М. Тулайкова
Email: olgarozen55@mail.ru
Россия, 446254, Безенчук, ул. Карла Маркса, 41
В. Н. Нестеров
Самарский ФИНЦ РАН, Институт экологии Волжского бассейна РАН
Email: olgarozen55@mail.ru
Россия, 445003, Тольятти, ул. Комзина, 10
Е. С. Богданова
Самарский ФИНЦ РАН, Институт экологии Волжского бассейна РАН
Email: olgarozen55@mail.ru
Россия, 445003, Тольятти, ул. Комзина, 10
О. А. Розенцвет
Самарский ФИНЦ РАН, Институт экологии Волжского бассейна РАН
Автор, ответственный за переписку.
Email: olgarozen55@mail.ru
Россия, 445003, Тольятти, ул. Комзина, 10
Список литературы
- Бакунов А.Л., Милехин А.В., Рубцов С.Л., Шевченко С.Л. Содержание фотосинтетических пигментов как косвенный признак устойчивости сортов картофеля к высоким температурам воздуха и недостаточному увлажнению // Изв. Сам. гос. сельскохоз. акад. 2020. № 2. С. 8–13.
- Головко Т.К., Табаленкова Г.Н. Донорно-акцепротные связи в растении картофеля // Физиология растений. 2019. Т. 66, 34. С. 313–320.
- Давыденко О.В., Лопух П.С. Влияние термических условий на урожайность картофеля в административных районах республики Беларусь // Журн. Белорус. гос. универ. Геог. Геол. 2019. № 1. С. 46–62.
- Пакудин В.З., Лопатина Л.М. Оценка экологической пластичности и стабильности сортов сельскохозяйственных культур // Сельскохозяйственная биол. 1984. № 4. С. 109–113.
- Попова Л.А., Головина Л.Н., Гинтов В.В., Шаманин А.А. Оценка адаптивности сортообразцов картофеля в условиях северных территорий Архангельской области // Карт. и овощи. 2021. № 1. С. 34–37.
- Розенцвет О.А., Богданова Е.С., Нестеров В.Н., Шевченко С.Н., Бакунов А.Л., Милехин А.В., Рубцов С.Л. Продуктивность и динамика морфологических и физиолого-биохимических параметров картофеля в условиях засушливого климата // Док. Рос. акад. наук. Науки о жизни. 2021. Т. 497. С. 143–147.
- Рубцов С.Л., Бакунов А.Л., Милехин А.В., Дмитриева Н.Н. Критерии отбора новых сортов картофеля для Средневолжского региона // Изв. Оренбург. гос. аграр. универ. 2019. № 1(75). С. 52–55.
- Симаков Е.А., Склярова Н.П., Яшина И.М. Методические указания по технологии селекционного процесса картофеля. М.: Достижения науки и техники АПК, 2006.
- Aliche E.B., Oortwijn M., Theeuwen T.P.J.M., Bachem C.W.B., Visser R.G.F., van der Linden C.G. Drought response in field grown potatoes and the interactions between canopy growth and yield // Agricult. Water Manag. 2018. V. 206. P. 20–30.
- Alam M.S., Islam M.F., Rahman M.S., Molla M.M., Uddin M.Z., Mian M.A. Varietal evaluation and selection of yield-associated traits of potato (Solanum tuberosum) using correlation and path analysis in haor area of Moulvibazar Bangladesh // J. Agric. Sci. Engin. Innov. 2020. V. 1(10). P. 2–9.
- Ashraf M. Inducing drought tolerance in plants: recent advances // Biotechnol. Adv. 2010. V. 28(1). P. 169–183.
- Cheng T., Rivard B., Sanchez-Azofeifa A.G., Feret J.-B., Jacquemoud S., Ustin S.L. Deriving leaf mass per area (LMA) from foliar reflectance across a variety of plant species using continuous wavelet analysis // ISPRS J. Photogram. Rem. Sens. 2014. V. 87. P. 28–38.
- Dahal K., Li X.Q., Tai H., Creelman A., Bizimungu B. Improving potato stress tolerance and tuber yield underclimate change scenario – a current overview // Front. Plant Sci. 2019. V. 10. P. 563.
- Deblonde P.M.K., Ledent J.F. Effects of moderate drought conditions on green leaf number, stem height, leaf length and tuber yield of potato cultivars // Europ. J. Agron. 2001. V. 14(1). P. 31–41.
- Eiasu B.K., Soundy P., Hammes P.S. Response of potato (Solanum tuberosum) tuber yield components to gelpolymer soil amendments and irrigation regimes // New Zealand J. Crop and Horticul. Sci. 2007. V. 35(1). P. 25–31.
- Eberhart S., Russel W. Stability parameters for comparing varieties // Crop. Sci. 1966. V. 6. № 1. P. 36–42.
- Evers D., Lefèvre I., Legay S., Lamoureux D., Hausman J.F., Rosales R.O., Marca L.R.T., Hoffmann L., Bonierbale M., Schafleitner R. Identification of drought-responsive compounds in potato through a combined transcriptomic and targeted metabolite approach // J. Exp. Bot. 2010. V. 61(9). P. 2327–2343.
- George T.S., Taylor M.A., Dodd I.C., White P.J. Climate change and consequences for potato production: a review of tolerance to emerging abiotic stress // Pot. Res. 2018. V. 60. P. 239–268.
- Gervais T., Creelman A., Li X-Q, Bizimungu B., De Koeye D., Dahal K. Potato response to drought stress: physiological and growth basis // Front. Plant Sci. 2021. V. 12. 698060.
- Hijmans R.J. The effect of climate change on global potato production // Amer. J. Pot. Res. 2003. V. 80. P. 271–279.
- Kapoor D., Bhardwaj S., Landi M., Sharma A., Ramakrishnan M., Sharma A. The impact of drought in plant metabolism: how to exploit tolerance mechanisms to increase crop production // App. Sci. 2020. V. 10(16). P. 5692.
- Kumar S., Asrey A., Mandal G. Effect of differential irrigation regimes on potato (Solanum tuberosum) yield and post-harvest attributes // Indian J. Agricult. Sci. 2007. V. 77(6). P. 366–368.
- Lawlor D.W., Tezara W. Causes of decreased photosynthetic rate and metabolic capacity in water-deficient leaf cells: a critical evaluation of mechanisms and integration of processes // Ann. Bot. 2009. V. 103(4). P. 561–579.
- Lichtenthaler H.K. Chlorophylls and carotenoids pigments of photosynthetic biomembranes / Eds. Douse R., Packer L. // Methods in enzymology. 1987. N.Y.: Academic Press Inc. P. 350–382.
- Mahgoub H.A.M., Eisa G.S.A., Youssef M.A.H. Molecular, biochemical and anatomical analysis of some potato (Solanum tuberosum L.) cultivars growing in Egypt // J. Gen. Engin. Biotech. 2015. V. 13(1). P. 39–49.
- Monneveux P., Ramírez D.A., Pino M.-T. Drought tolerance in potato (S. tuberosum L.). Can we learn from drought tolerance research in cereals? // Plant Sci. 2013. V. 205. P. 76–86.
- Obidiegwu J.E., Bryan G.J., Jones H.G., Prashar A. Coping with drought: stress and adaptive responses in potato and perspectives for improvement // Front. Plant Sci. 2015. V. 6. P. 1–23.
- Parry M.L., Rosenzweig C., Livermore M. Climate change, global food supply and risk of hunger // Philosoph. Trans. Royal Soc. B: Biol. Sci. 2005. V. 360(1463). P. 2125–2136.
- Plich J., Boguszewska-Mańkowska D., Marczewski W. Relations between photosynthetic parameters and drought-induced tuber yield decrease in Katahdin-derived potato cultivars // Pot. Res. 2020. V. 63(4). P. 463–477.
- Raymundo R., Asseng S., Cammarano D., Quiroz R. Potato, sweet potato, and yam models for climate change: A review // Field Crops Res. 2014. V. 166. P. 173–185.
- Rowe R.C., Powelson M.L. Potato early dying: management challenges in a changing production environment // Plant Dis. 2002. V. 86. P. 1184–1193.
- Schafleitner R., Gutierrez R., Espino R., Gaudin A., Pérez J., Martínez M., Bonierbale M. Field screening for variation of drought tolerance in Solanum tuberosum L. by agronomical, physiological and genetic analysis // Pot. Res. 2007. V. 50. P. 71–85.
- van Loon C.D. The effect of water stress on potato growth, development, and yield // Am. Pot. J. 1981. V. 58(1). P. 51–69.
- Zarzynska K., Boguszewska-Mankowska D., Nosalewicz A. Differences in size and architecture of the potato cultivars root system and their tolerance to drought stress // Plant Soil Environ. 2017. V. 63. P. 159–164.





