Photochemistry and Signaling Activities of Plant Cryptochromes. Review
- Authors: Fraikin G.Y.1, Belenikina N.S.1
-
Affiliations:
- Department of Biology, Lomonosov Moscow State University
- Issue: No 3 (2023)
- Pages: 235-245
- Section: BIOCHEMISTRY
- URL: https://ogarev-online.ru/1026-3470/article/view/135520
- DOI: https://doi.org/10.31857/S1026347022700111
- EDN: https://elibrary.ru/HKBFVO
- ID: 135520
Cite item
Full Text
Abstract
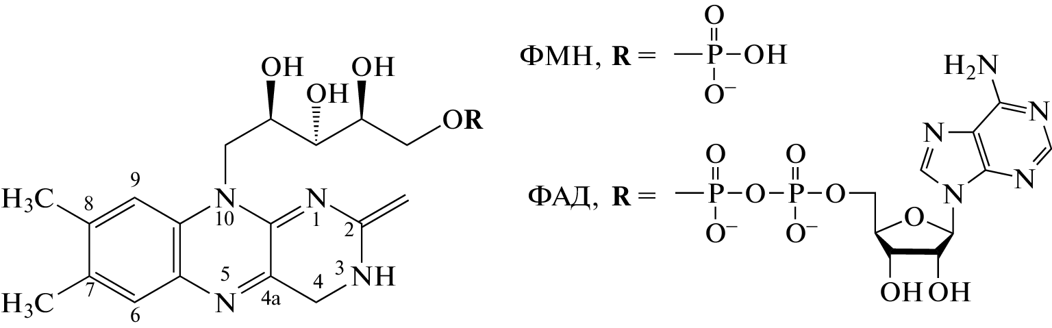
Cryptochromes compose the widespread class of blue-light sensory receptors that in plants regulate processes of development and circadian rhythm. These photoreceptors can also function as magnetoreceptors. Cryptochrome proteins bind flavin adenine dinucleotide (FAD) as a chromophore in the photolyase homology region (PHR) domain and contain the C-terminal extension (CCE) which is joined to PHR near the FAD-binding site. The cryptochrome activation is initiated by photochemical FAD conversions involving electron/proton transfer and the formation of redox forms. In plants, cryptochrome protein with photoreduced FAD undergoes conformational changes causing disengagement of the PHR domain and CCE that is accompanied by the formation of functionally active oligomers of cryptochrome molecules. Photooligomerization is considered as a key process necessary for cryptochrome signaling activity.
About the authors
G. Ya. Fraikin
Department of Biology, Lomonosov Moscow State University
Email: nata.belenikina@ya.ru
Russia, 119234, Moscow
N. S. Belenikina
Department of Biology, Lomonosov Moscow State University
Author for correspondence.
Email: nata.belenikina@ya.ru
Russia, 119234, Moscow
References
- Вечтомова Ю.Л., Телегина Т.А., Крицкий М.С. Эволюция белков семейства ДНК-фотолиаз/криптохромов // Успехи биол. химии. 2020. Т. 85. С. 277–316.
- Фрайкин Г.Я. Белковые сенсоры света: фотовозбужденные состояния, сигнальные свойства и применение в оптогенетике. М.: АР-Консалт, 2018. 87 с.
- Фрайкин Г.Я., Страховская М.Г., Рубин А.Б. Биологические фоторецепторы светозависимых регуляторных процессов // Биохимия. 2013. Т. 78. С. 1576–1594.
- Ahmad M. Photocycle and signaling mechanisms of plant cryptochromes // Curr. Opin. Plant Biol. 2016. V. 33. P. 108–115.
- Chaves I., Pokorny R., Byrdin M., Hoang N., Ritz T., Brettel K., Essen L.O., van der Horst G.T., Batschauer A., Ahmad M. The cryptochromes: blue light photoreceptors in plants and animals // Annu. Rev. Plant Biol. 2011. V. 62. P. 335–364.
- Chen Z., Li M., Liu S., Chen X., Zhang W., Zhu Q., Kohnen M.V., Wang Q. The function and photoregulatory mechanisms of cryptochromes from moso bamboo (Phyllostachys edulis) // Front. Plant Sci. 2022. V.3. 866057.
- Dasgupta A., Fuller K.K., Dunlap J.C., Loros J.J. Seeing the world differently: variability in the photosensory mechanisms of the model fungi // Environ. Microbiol. 2016. V. 18. P. 15–20.
- Franz S., Ignatz E., Wenzel S., Zielosko H., Putu E., Maestre-Reyna M., Tsai M.-D., Yamomoto J., Mittag M., Essen L.-O. Structure of the bifunctional cryptochrome aCRY from Chlamydomonas reinhardtii // Nucl. Acids Res. 2018. V. 46. P. 8010–8022.
- Gao J., Wang X., Zhang M., Bian M., Deng W., Zuo Z., Yang Z., Zhong D., Lin C. Trp triad-dependent rapid photoreduction is not required for the function of Arabidopsis CRY1 // Proc. Natl. Acad. Sci. USA. 2015. V. 112. P. 9135–9140.
- Goett-Zink L., Kottke T. Plant cryptochromes illuminated: a spectroscopic perspective on the mechanism // Front. Chem. 2021.V. 9: 780199.
- Hense A., Herman E., Oldemeyer S., Kottke T. Proton transfer to flavin stabilizes the signaling state of the blue light receptor plant cryptochrome // J. Biol. Chem. 2015. V. 290. P. 1743–1751.
- Herbel V., Orth C., Wenzel R., Ahmad M., Bittl R., Batschauer A. Lifetimes of Arabidopsis cryptochrome signaling states in vivo // Plant J. 2013. V. 74. P. 583–592.
- Hoecker U. The activities of the E3 ubiquitin ligase COP1/SPA, a key repressor in light signaling // Curr. Opin. Plant Biol. 2017. V. 37. P. 63–69.
- Holtkotte X., Ponnu J., Ahmad M., Hoecker U. The blue light-induced interaction of cryptochrome 1 with COP1 requires SPA proteins during Arabidopsis light signaling // PLOS Genet. 2017. V. 13: e1007044.
- Hore P.J., Mouritsen H. The radical-pair mechanisms of magnetoreception // Annu. Rev. Biophys. 2016. V. 4. P. 299–344.
- Konig S., Juhas M., Jager S., Kottke T., Buchel C. The cryptochrome-photolyase protein family in diatoms // J. Plant Physiol. 2017. V. 217. P. 15–19.
- Kottke T., Oldemeyer S., Wenzel S., Zou Y., Mittag M. Cryptochrome photoreceptors in green algae: unexpected versatility of mechanisms and functions // J. Plant Physiol. 2017. V. 217. P. 4–14.
- Lacombat F., Espagne A., Dozova N., Plaza P., Muller P., Brettel K., Franz-Badur S., Essen L.-O. Ultrafast oxidation of a tyrosine by proton-coupled electron transfer promotes light activation of an animal-like cryptochrome // J. Am. Chem. Soc. 2019. V. 141. P. 13394–13409.
- Lian H.L., He S.B., Zhang Y.C., Zhu D.M., Zhang J.Y., Jia K.P., San S.X., Li L., Yang H.Q. Blue-light-dependent interaction of cryptochrome 1 with SPA1 defines a dynamic signaling mechanism // Genes Dev. 2011. V. 25. P. 1023–1028.
- Liu B., Zuo Z., Liu H., Liu X., Lin C. Arabidopsis cryptochrome 1 interacts with SPA1 to suppress COP1 activity in response to blue light // Genes Dev. 2011. V. 25. P. 1029–1034.
- Liu H., Su T., He W., Wang G., Lin C. The universally conserved residues are not universally required for stable protein expression or functions of cryptochromes // Mol. Biol. Evol. 2019. V. 37. P. 327–340.
- Liu H., Yu X., Li K., Klejnot J., Yang H., Lisiero D., Lin C. Photoexcited CRY2 interacts with CIB1 to regulate transcription and floral initiation in Arabidopsis // Science. 2008. V. 322. P. 1535–1539.
- Liu Q., Su T., He W., Ren H., Liu S., Chen Y., Gao L., Hu X., Lu H., Cao S., Huang Y., Wang X., Wang Q., Lin C. Photooligomerization determines photosensitivity and photoreactivity of plant cryptochromes // Mol. Plant. 2020. V. 13. P. 398–413.
- Liu Y., Li X., Ma D., Chen Z., Wang J.W., Liu H. CIB and CO interact to mediate CRY2-dependent regulation of flowering // EMBO Rep. 2018. 19: e45762.
- Losi A., Gartner W. The evolution of flavin-binding photoreceptors: an ancient chromophore serving trendy blue-light sensors // Annu. Rev. Plant Biol. 2012. V. 63. P. 49–72.
- Ma L., Wang X., Guan Z., Wang L., Wang Y., Zheng L., Gong Z., Shen C., Wang J., Zhang D., Liu Z., Yin P. Structural insight into BIC-mediated inactivation of Arabidopsis cryptochrome 2 // Nat. Struct. Mol. Biol. 2020. V. 27. P. 472–479.
- Michael A.K., Fribourgh J.L., Van Gelder R.N., Partch C.L. Animal cryptochromes: divergent roles in light perception, circadian timekeeping and beyond // Photochem. Photobiol. 2017. V. 93. P. 128–140.
- Muller P., Ahmad M. Light-activated cryptochrome reacts with molecular oxygen to form a flavin-superoxide radical pair consistent with magnetoreception // J. Biol. Chem. 2011. V. 286. P. 21033–21040.
- Oldemeyer S., Franz S., Wenzel S., Essen L-O., Mittag M., Kottke T. Essential role of an unusual long-lived tyrosil radical in the response to red light of the animal-like cryptochrome aCRY // J. Biol. Chem. 2016. V. 291. P. 14062–14071.
- Oldemeyer S., Haddat A.Z., Fleming G.R. Interconnection of the antenna pigment 8-HDF and flavin facilitates red-light reception in bifunctional animal-like cryptochrome // Biochemistry. 2020. V. 59. P. 594–604.
- Ozturk N. Phylogenetic and functional classification of the photolyase/cryptochrome family // Photochem. Photobiol. 2017. V. 93. P. 104–111.
- Paulus B., Bajzath C., Melin F., Heidinger L., Kromm V., Herkersdorf C., Benz U., Mann L., Stehle P., Hellwig P., Weber S., Schleicher E. Spectroscopic characterization of radicals and radical pairs in fruit fly cryptochrome – protonated and nonprotonated flavin radical-states // FEBS J. 2015. V. 282. P. 3175–3189.
- Petersen J., Rredhi A., Szyttenholm J., Oldemeyer S., Kottke T., Mittag M. The world of algae reveals a broad variety of cryptochrome properties and functions // Front. Plant Sci. 2021. V. 12. P. 748760.
- Pooam M., Arthaut L.-D., Burdick D., Link J., Martino C.F., Ahmad M. Magnetic sensitivity mediated by the Arabidopsis blue-light receptor cryptochrome occurs during flavin reoxidation in the dark // Planta. 2019. V. 249. P. 319–332.
- Schwinn K., Ferre N., Huix-Rotllant M. UV-visible absorption spectrum of FAD and its reduced forms embedded in a cryptochrome protein // Phys. Chem. Chem. Phys. 2020. V. 22. P. 12447–12455.
- Sellaro R., Crepy M., Trupkin S.A., Karayakov E., Buchovsky A.S., Rossi C., Casal J.J. Cryptochrome as a sensor of the blue/green ratio of natural radiation in Arabidopsis // Plant Physiol. 2010. V. 154. P. 401–409.
- Shao K., Zhang X., Li X., Hao Y., Huang X., Ma M., Zhang M., Yu F., Liu H., Zhang P. The oligomeric structures of plant cryptochromes // Nat. Struct. Mol. Biol. 2020. V. 27. P. 480–488.
- Thoing C., Oldemeyer S., Kottke T. Microsecond deprotonation of aspartic acid and response of the α/β subdomain precede C-terminal signaling in the blue light sensor plant cryptochrome // J. Am. Chem. Soc. 2015. V. 137. P. 5990–5999.
- Wang Q., Lin C. A structural view of plant CRY2 photoactivation and inactivation // Nat. Struct. Mol. Biol. 2020a. V. 27. P. 401–403.
- Wang Q., Lin C. Mechanisms of cryptochrome-mediated photoresponses in plants // Annu. Rev. Plant Biol. 2020b. V. 71. P. 103–129.
- Wang Q., Zuo Z., Wang X., Gu L., Koshizumi T., Yang Z., Yang L., Liu Q., Liu W., Han Y.J., Kim J.I., Liu B., Wohlschlegel J.A., Matsui M., Oka Y., Lin C. Photoactivation and inactivation of Arabidopsis cryptochrome 2 // Science. 2016. V. 354. P. 343–347.
- Wang Q., Zuo Z., Wang X., Liu Q., Gu L., Oka Y., Lin C. Beyond the photocycle – how cryptochromes regulate photoresponses in plants // Curr. Opin. Plant Biol. 2018. V. 45. P. 120–126.
- Yang Z., Liu B., Su J., Liao J., Lin C., Oka Y. Cryptochromes orchestrate transcription regulation of diverse blue light responses in plants // Photochem. Photobiol. 2017. V. 93. P. 112–127.
- Zhang M., Wang L., Zhong D. Photolyase: dynamics and electron-transfer mechanisms of DNA repair // Arch. Biochem. Biophys. 2017. V. 632. P. 158–174.
- Zoltowski B.D., Chelliah Y., Wickramaratne A., Jarecha L., Karki N., Xu W., Mouritsen H., Hore P.J., Hibbs R.E., Green C.B., Takahashi J.S. Chemical and structural analysis of a photoactive vertebrate cryptochrome from pigeon // Proc. Natl. Acad. Sci. USA. 2019. V. 116. P. 19449–19457.
- Zoltowski B.D. Resolving cryptic aspects of cryptochrome signaling // Proc. Natl. Acad. Sci. USA. 2015. V. 112. P. 8811–8812.
- Zuo Z., Liu H., Liu B., Liu X., Lin C. Blue light dependent interaction of CRY2 with SPA1 regulates COP1 activity and floral initiation in Arabidopsis // Curr. Biol. 2011. V. 21. P. 841–847.
Supplementary files






