Sex Differences in Age-Related Changes in Functional Activity and Expression of the Main Regulatory Proteins of the Renin-Angiotensin System in the Aorta and Myocardium of Rats
- Autores: Kozhevnikova L.M.1, Sukhanova I.F.1
-
Afiliações:
- The Institute of General Pathology and Pathophysiology
- Edição: Nº 2 (2023)
- Páginas: 186-197
- Seção: ФИЗИОЛОГИЯ ЖИВОТНЫХ И ЧЕЛОВЕКА
- URL: https://ogarev-online.ru/1026-3470/article/view/135516
- DOI: https://doi.org/10.31857/S1026347022700056
- EDN: https://elibrary.ru/HAHDOI
- ID: 135516
Citar
Texto integral
Resumo
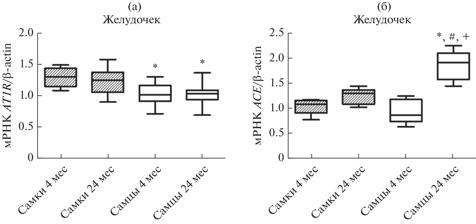
The sex differences of age-related changes in the functional activity and expression of receptor and regulatory proteins of the renin-angiotensin system (RAS) in the aorta and myocardium of rats is evaluated. It was found that with age in females, the sensitivity of the aorta to the vasoconstriction action of angiotensin II increases, while in older males it remains unchanged. In the aorta of old females, a decrease in the mRNA levels of ACE, MasR and ACE2 was revealed by 1.6, 1.8 and 4.4 times, respectively. It has been shown that during aging in the left ventricle of females, the level of MasR and ACE2 mRNA decreases, in males, on the contrary, the level of ACE and MasR mRNA increases. The results obtained indicate the sexual characteristics of age-related changes in RAS activity in the vessels and heart of rats.
Palavras-chave
Sobre autores
L. Kozhevnikova
The Institute of General Pathology and Pathophysiology
Autor responsável pela correspondência
Email: lubovmih@yandex.ru
Russia, 125315, Moscow, ul. Baltiyskaya 8
I. Sukhanova
The Institute of General Pathology and Pathophysiology
Email: lubovmih@yandex.ru
Russia, 125315, Moscow, ul. Baltiyskaya 8
Bibliografia
- Boese A.C., Kim S.C., Yin Ke-Jie, Lee Jean-Pyo, Hamblin M.H. Sex differences in vascular physiology and pathophysiology: estrogen and androgen signaling in health and disease // Am. J. Physiol. Heart Circ. Physiol. 2017. V. 313(3). P. 524–545. https://doi.org/10.1152/ajpheart.00217.2016
- Borges C.C., Penna-de-Carvalho A., Medeiros Junior J.L., Aguila M.B., Mandarim-de-Lacerda C.A. Ovariectomy modify local renin-angiotensin-aldosterone system gene expressions in the heart of ApoE (−/−) mice // Life Sci. 2017. V. 191. P. 1–8. https://doi.org/10.1016/j.lfs.2017.10.002
- Campbell S.E., Katwa L.C. Angiotensin II stimulated expression of transforming growth factor-β1 in cardiac fibroblasts and myofibroblasts // J. Mol. Cell. Cardiol. 1997. V. 29. P. 1947–1958. https://doi.org/10.1006/jmcc.1997.0435
- Canals M., Jenkins L., Kellett E., Milligan G. Up-regulation of the angiotensin II type 1 receptor by the MAS proto-oncogene is due to constitutive activation of Gq/G11 by MAS // J. Biol. Chem. 2006. V. 281(24). P. 16757–16767. https://doi.org/10.1074/jbc.M601121200
- Castro C.H., Santos R.A.S., Ferreira A.J., Bader M., Alenina N., Almeida A.P. Evidence for a functional interaction of the angiotensin-(1-7) receptor Mas with AT1 and AT2 receptors in the mouse heart // Hypertension. 2005. V. 46(4). P. 937–942. https://doi.org/10.1161/01.hyp.0000175813.04375.8a
- Clark M.A., Tallant E.A., Diz D.I. Downregulation of the AT1A receptor by pharmacologic concentrations of angiotensin-(1-7) // J. Cardiovasc. Pharmacol. 2001. V. 37(4). P. 437–448. https://doi.org/10.1097/00005344-200104000-00011
- Costa M.A., Lopez Verrilli M.A., Gomez K.A., Nakagawa P., Peña C., Arranz C., Gironacci M.M. Angiotensin-(1-7) upregulates cardiac nitric oxide synthase in spontaneously hypertensive rats // Am. J. Physiol. – Hear. Circ. Physiol. 2010. V. 299(4). P. 1205–1211. https://doi.org/10.1152/ajpheart.00850.2009
- Dasgupta C., Zhang L. Angiotensin II receptors and drug discovery in cardiovascular disease // Drug Discov. Today. 2011. V. 16(1–2). P. 22–34. https://doi.org/10.1016/j.drudis.2010.11.016
- De Smet H.R., Menadue M.F., Oliver J.R., Phillips P.A. Endothelin ETA receptor antagonism does not attenuate angiotensin II-induced cardiac hypertrophy in vivo in rats // Clin. Exp. Pharmacol. Physiol. 2003. V. 30(4). P. 278–283. https://doi.org/10.1046/j.1440-1681.2003.03831.x
- Dias-Peixoto M.F., Santos R.A.S., Gomes E.R.M., Alves M.N.M., Almeida P.W.M., Greco L., Rosa M., Fauler B., Bader M., Alenina N. et al. Molecular mechanisms involved in the angiotensin-(1–7)/mas signaling pathway in cardiomyocytes // Hypertension 2008. V. 52(3). P. 542–548. https://doi.org/10.1161/HYPERTENSIONAHA.108.114280
- Donato A.J., Morgan R.G., Walker A.E., Lesniewski L.A. Cellular and molecular biology of aging endothelial cells // J. Mol. Cell. Cardiol. 2015. V. 89 (Pt B). P. 122–135. https://doi.org/10.1016/j.yjmcc.2015.01.021
- Endlich P.W., Claudio E.R.G., Lima L.C.F., Ribeiro Júnior R.F., Peluso A.A.B., Stefanon I., Bissoli N.S., Lemos V.S., Santos R.A.S., Abreu G.R. Exercise modulates the aortic renin-angiotensin system independently of estrogen therapy in ovariectomized hypertensive rats // Peptides. 2017. V. 87. P. 41–49. https://doi.org/10.1016/j.peptides.2016.11.010
- Ferreira A.J., Moraes P.L., Foureaux G., Andrade A.B., Santos R.A.S., Almeida A.P. The angiotensin-(1–7)/mas receptor axis is expressed in sinoatrial node cells of rats // J. Histochem. Cytochem. 2011. V. 59(8). P. 761–768. https://doi.org/10.1369/0022155411411712
- Fischer M., Baessler A., Schunkert H. Renin angiotensin system and gender differences in the cardiovascular system // Cardiovasc. Res. 2002. V. 53(3). P. 672–677. https://doi.org/10.1016/s0008-6363(01)00479-5
- Freshour J.R., Chase S.E., Vikstrom K.L. Gender differences in cardiac ACE expression are normalized in androgen-deprived male mice // Am. J. Physiol. – Hear. Circ. Physiol. 2002. V. 283(5). P. 1997–2003. https://doi.org/10.1152/ajpheart.01054.2001
- Gomes E.R.M., LaraA.A., Almeida P.W.M., Guimarães D., Resende R.R., Campagnole-Santos M.J., Bader M., Santos R.A.S., Guatimosim S. Angiotensin-(1-7) prevents cardiomyocyte pathological remodeling through a nitric oxide/guanosine 3',5'-cyclic monophosphate-dependent pathway // In Proceedings of the Hypertension. 2010. V. 55(1). P. 153–160. https://doi.org/10.1161/HYPERTENSIONAHA.109. 143255
- Gomes E.R.M., Santos R.A.S., Guatimosim S. Angiotensin-(1-7)-mediated signaling in cardiomyocytes // Int. J. Hypertens. 2012. V. 2012. P. 493129. https://doi.org/10.1155/2012/493129
- Karnik S.S., Unal H., Kemp J.R., Tirupula K.C., Eguchi S., Vanderheyden P.M.L., Thomas W.G. International Union of Basic and Clinical Pharmacology. XCIX. Angiotensin Receptors: Interpreters of Pathophysiological Angiotensinergic Stimuli [corrected] // Pharmacol. Rev. 2015. V. 67. P. 754–819. https://doi.org/10.1124/pr.114.010454
- Kavousi M. Differences in Epidemiology and Risk Factors for Atrial Fibrillation Between Women and Men // Front. Cardiovasc. Med. 2020. V. 7. P. 3. https://doi.org/10.3389/fcvm.2020.00003
- Kupfahl C., Pink D., Friedrich K., Zurbrügg H.R., Neuss M., Warnecke C., Fielitz J., Schultz J.E.J., Witt S.A., Glascock B.J., Nieman M.L., Reiser P.J., Nix S.L., Kimball T.R., Doetschman T. TGF-β1 mediates the hypertrophic cardiomyocyte growth induced by angiotensin II // J. Clin. Invest. 2002. V. 109(6). P. 787–796. https://doi.org/10.1172/jci200214190
- Lacolley P., Regnault V., Avolio A.P. Smooth muscle cell and arterial aging: Basic and clinical aspects // Cardiovasc. Res. 2018. V. 114(4). P. 513–528. https://doi.org/10.1093/cvr/cvy009
- Lakatta E.G. So! What’s aging? Is cardiovascular aging a disease? // J. Mol. Cell. Cardiol. 2015. V. 83. P. 1–13. https://doi.org/10.1016/j.yjmcc.2015.04.005
- LeBlanc A.J., Reyes R., Kang L.S., Dailey R.A., Stallone J.N., Moningka N.C., Muller-Delp J.M. Estrogen replacement restores flow-induced vasodilation in coronary arterioles of aged and ovariectomized rats // Am. J. Physiol. – Regul. Integr. Comp. Physiol. 2009. V. 297(6). P. 1713–1723. https://doi.org/10.1152/ajpregu.00178.2009
- LeBlanc A.J., Chen B., Dougherty P.J., Reyes R.A., Shipley R.D., Korzick D.H., Muller-Delp J.M. Divergent effects of aging and sex on vasoconstriction to endothelin in coronary arterioles // Microcirculation. 2013. V. 20(5). P. 365–376. https://doi.org/10.1111/micc.12028
- Lim H., Zhu Y.Z. Role of transforming growth factor-β in the progression of heart failure // Cell. Mol. Life Sci. 2006. V. 63. P. 2584–2596. https://doi.org/10.1007/s00018-006-6085-8
- Lima R., Wofford M., Reckelhoff J.F. Hypertension in postmenopausal women // Curr. Hypertens. Rep. 2012. V. 14. P. 254–260. https://doi.org/10.1007/s11906-012-0260-0
- Lin Y.K., Chen Y.A., Lee T.I., Chen Y.C., Chen S.A., Chen Y.J. Aging modulates the substrate and triggers remodeling in atrial fibrillation // Circ. J. 2018. V. 82(5). P. 1237–1244. https://doi.org/10.1253/circj.CJ-17-0242
- Magnani J.W., Moser C.B., Murabito J.M., Nelson K.P., Fontes J.D., Lubitz S.A., Sullivan L.M., Ellinor P.T., Benjamin E.J. Age of natural menopause and atrial fibrillation: The Framingham Heart Study // Am. Heart J. 2012. V. 163(4). P. 729–734. https://doi.org/10.1016/j.ahj.2012.01.010
- Magnani J.W., Moser C.B., Murabito J.M., Sullivan L.M., Wang N., Ellinor P.T., Vasan R.S., Benjamin E.J., Coviello A.D. Association of sex hormones, aging, and atrial fibrillation in men the framingham heart study // Circ. Arrhythmia Electrophysiol. 2014. V. 7(2). P. 307–312. https://doi.org/10.1161/CIRCEP.113.001322
- Marrero M.B., Schieffer B., Paxton W.G., Heerdt L., Berk B.C., Delafontaine P., Bernstein K.E. Direct stimulation of Jak/STAT pathway by the angiotensin II AT1 receptor // Nature. 1995. V. 375(6528). P. 247–250. https://doi.org/10.1038/375247a0
- Mazzaro L., Almasi S.J., Shandas R., Seals D.R., Gates P.E. Aortic input impedance increases with age in healthy men and women // Hypertension. 2005. V. 45(6). P. 1101–1106. https://doi.org/10.1161/01.HYP.0000164579.73656.c4
- Mehta P.K., Griendling K.K. Angiotensin II cell signaling: Physiological and pathological effects in the cardiovascular system // Am. J. Physiol. – Cell Physiol. 2007. V. 292(1). P. 82–97. https://doi.org/10.1152/ajpcell.00287.2006
- Meyer M.R., Fredette N.C., Barton M., Prossnitz E.R. Endothelin-1 but not angiotensin II contributes to functional aging in murine carotid arteries // Life Sci. 2014. V. 118(2). P. 213–1218. https://doi.org/10.1016/j.lfs.2014.02.027
- Mouat M.A., Coleman J.L.J., Smith N.J. GPCRs in context: sexual dimorphism in the cardiovascular system // Br. J. Pharmacol. 2018. V. 175(21). P. 4047–4059. https://doi.org/10.1111/bph.14160
- Mulvany M.J., Halpern W. Contractile properties of small arterial resistance vessels in spontaneously hypertensive and normotensive rats // Circ. Res. 1977. V. 41. P. 19–26. https://doi.org/10.1161/01.RES.41.1.19
- Olivetti G., Giordano G., Corradi D., Melissari M., Lagrasta C., Gambert S.R., Anversa P. Gender differences and aging: Effects on the human heart // J. Am. Coll. Cardiol. 1995. V. 26(4). P. 1068–1079. https://doi.org/10.1016/0735-1097(95)00282-8
- Paul M., Mehr A.P., Kreutz R. Physiology of local renin-angiotensin systems // Physiol. Rev. 2006. V. 86(3). P. 747–803. https://doi.org/10.1152/physrev.00036.2005
- Quinn U., Tomlinson L.A., Cockcroft J.R. Arterial stiffness // JRSM Cardiovasc. Dis. 2012. V. 1(6). P. cvd.2012.012024. https://doi.org/10.1258/cvd.2012.012024
- Rodríguez-Mañas L., El-Assar M., Vallejo S., López-Dóriga P., Solís J., Petidier R., Montes M., Nevado J., Castro M., Gómez-Guerrero C., Peiró C., Carlos F Sánchez-Ferrer C.F. Endothelial dysfunction in aged humans is related with oxidative stress and vascular inflammation // Aging Cell. 2009. V. 8(3). P. 226–238. https://doi.org/10.1111/j.1474-9726.2009.00466.x
- Rukavina Mikusic N.L., Silva M.G., Pineda A.M., Gironacci M.M. Angiotensin Receptors Heterodimerization and Trafficking: How Much Do They Influence Their Biological Function? // Front. Pharmacol. 2020. V. 11. P. 1–20. https://doi.org/10.3389/fphar.2020.01179
- Saeed Y., Temple I.P., Borbas Z., Atkinson A., Yanni J., Maczewski M., Mackiewicz U., Aly M., Logantha S.J.R.J., Garratt C.J., Dobrzynski H. Structural and functional remodeling of the atrioventricular node with aging in rats: The role of hyperpolarization-activated cyclic nucleotide–gated and ryanodine 2 channels // Heart Rhythm. 2018. V. 15(5). P. 752–760. https://doi.org/10.1016/j.hrthm.2017.12.027
- Sampaio W.O., Dos Santos R.A.S., Faria-Silva R., Da Mata Machado L.T., Schiffrin E.L., Touyz R.M. Angiotensin-(1-7) through receptor Mas mediates endothelial nitric oxide synthase activation via Akt-dependent pathways // Hypertension. 2007. V. 49(1). P. 185–192. https://doi.org/10.1161/01.HYP.0000251865.35728.2f
- Sampson A.K., Hilliard L.M., Moritz K.M., Thomas M.C., Tikellis C., Widdop R.E., Denton K.M. The arterial depressor response to chronic low-dose angiotensin II infusion in female rats is estrogen dependent // Am. J. Physiol. – Regul. Integr. Comp. Physiol. 2012. V. 302(1). P. 159–165. https://doi.org/10.1152/ajpregu.00256.2011
- Santos R.A.S., Castro C.H., Gava E., Pinheiro S.V.B., Almeida A.P., De Paula R.D., Cruz J.S., Ramos A.S., Rosa K.T., Irigoyen M.C., Bader M., Alenina N., Kitten G.T., Ferreira A. J. Impairment of in vitro and in vivo heart function in angiotensin-(1-7) receptor mas knockout mice // Hypertension. 2006. V. 47(5). P. 996–1002. https://doi.org/10.1161/01.HYP.0000215289.51180.5c
- Santos R.A.S., Oudit G.Y., Verano-Braga T., Canta G., Steckelings U.M., Bader M. The renin-angiotensin system: Going beyond the classical paradigms // Am. J. Physiol. - Hear. Circ. Physiol. 2019. V. 316(5). P. 958–970. https://doi.org/10.1152/ajpheart.00723.2018
- Schultz J.E.J., Witt S.A., Glascock B.J., Nieman M.L., Reiser P.J., Nix S.L., Kimball T.R., Doetschman T. TGF-β1 mediates the hypertrophic cardiomyocyte growth induced by angiotensin II // J. Clin. Invest. 2002. V. 109(6). P. 787–796. https://doi.org/10.1172/jci200214190
- Seshiah P.N., Weber D.S., Rocic P., Valppu L., Taniyama Y., Griendling K.K. Angiotensin II stimulation of NAD(P)H oxidase activity: Upstream mediators // Circ. Res. 2002. V. 91(5). P. 406–413. https://doi.org/10.1161/01.RES.0000033523.08033.16
- Sheydina A., Riordon D.R., Boheler K.R. Molecular mechanisms of cardiomyocyte aging // Clin Sci (Lond). 2011. V. 121(8). P. 315–329. https://doi.org/10.1042/CS20110115
- Stanhewicz A.E., Wenner M.M., Stachenfeld N.S. Sex differences in endothelial function important to vascular health and overall cardiovascular disease risk across the lifespan // Am. J. Physiol. – Hear. Circ. Physiol. 2018. V. 315(6). P. 1569–1588. https://doi.org/10.1152/ajpheart.00396.2018
- Taddei S., Galetta F., Virdis A., Ghiadoni L., Salvetti G., Franzoni F., Giusti C., Salvetti A. Physical activity prevents age-related impairment in nitric oxide availability in elderly athletes // Circulation. 2000. V. 101(25). P. 2896–2901. https://doi.org/10.1161/01.CIR.101.25.2896
- Taniyama Y., Griendling K.K. Reactive Oxygen Species in the Vasculature: Molecular and Cellular Mechanisms // Hypertension. 2003. V. 42(6). P. 1075–1081. https://doi.org/10.1161/01.HYP.0000100443.09293.4F
- Thijssen D.H.J., Carter S.E., Green D.J. Arterial structure and function in vascular ageing: Are you as old as your arteries? // J. Physiol. 2016. V. 594(8). P. 2275–2284. https://doi.org/10.1113/JP270597
- Tirupula K.C., Desnoyer R., Speth R.C., Karnik S.S. Atypical signaling and functional desensitization response of MAS receptor to peptide ligands // PLoS One. 2014. V. 9(7). P. e103520. https://doi.org/10.1371/journal.pone.0103520
- Touyz R.M. Intracellular mechanisms involved in vascular remodelling of resistance arteries in hypertension: Role of angiotensin II // In Proceedings of the Experimental Physiology. 2005. V. 90(4). P. 449–455. https://doi.org/10.1113/expphysiol.2005.030080
- Tsuneda T., Yamashita T., Kato T., Sekiguchi A., Sagara K., Sawada H., Aizawa T., Fu L.T., Fujiki A., Inoue H. Deficiency of testosterone associates with the substrate of atrial fibrillation in the rat model // J. Cardiovasc. Electrophysiol. 2009. V. 20(9). P. 1055–1060. https://doi.org/10.1111/j.1540-8167.2009.01474.x
- Ungvari Z., Tarantini S., Donato A.J., Galvan V., Csiszar A. Mechanisms of vascular aging // Circ. Res. 2018. V. 123(7). P. 849–867. https://doi.org/10.1161/CIRCRESAHA.118.311378
- Verdecchia P., Cavallini C., Spanevello A., Angeli F. The pivotal link between ACE2 deficiency and SARS-CoV-2 infection // Eur. J. Intern. Med. 2020. V. 76. P. 14–20. https://doi.org/10.1016/j.ejim.2020.04.037
- Walters P.E., Gaspari T.A., Widdop R.E. Angiotensin-(1-7) acts as a vasodepressor agent via angiotensin II type 2 receptors in conscious rats // Hypertension. 2005. V. 45(5). P. 960–966. https://doi.org/10.1161/01.HYP.0000160325.59323.b8
- Wang M., Shah A.M. Age-associated pro-inflammatory remodeling and functional phenotype in the heart and large arteries // J. Mol. Cell. Cardiol. 2015. V. 83. P. 101–111. https://doi.org/10.1016/j.yjmcc.2015.02.004
- Wang M., Zhang J., Walker S.J., Dworakowski R., Lakatta E.G., Shah A.M. Involvement of NADPH oxidase in age-associated cardiac remodeling // J. Mol. Cell. Cardiol. 2010. V. 48(4). P. 765–772. https://doi.org/10.1016/j.yjmcc.2010.01.006
- Wirth A., Wang S., Takefuji M., Tang C., Althoff T.F., Schweda F., Wettschureck N., Offermanns S. Age-dependent blood pressure elevation is due to increased vascular smooth muscle tone mediated by G-protein signalling // Cardiovasc. Res. 2016. V. 109(1). P. 131–140. https://doi.org/10.1093/cvr/cvv249
- Yamamoto R., Akazawa H., Ito K., Toko H., Sano M., Yasuda N., Qin Y., Kudo Y., Sugaya T., Chien K.R., Komuro I. Angiotensin II type 1a receptor signals are involved in the progression of heart failure in MLP-deficient mice // Circ. J. 2007. V. 71(12). P. 1958–1964. https://doi.org/10.1253/circj.71.1958
- Yoon H.E., Choi B.S. The renin-angiotensin system and aging in the kidney // Korean J. Intern. Med. 2014. V. 29(3). P. 291–295. https://doi.org/10.3904/kjim.2014.29.3.291
- Yoon H.E., Kim E.N., Kim M.Y., Lim J.H., Jang I.A., Ban T.H., Shin S.J., Park C.W., Chang Y.S., Choi B.S. Age-associated changes in the vascular renin-angiotensin system in vice // Oxid. Med. Cell. Longev. 2016. V. 2016. P. 6731093. https://doi.org/10.1155/2016/6731093
- Zhang T., Li Z., Dang H., Chen R., Liaw C., Tran T.A., Boatman P.D., Connolly D.T., Adams J.W. Inhibition of Mas G-protein signaling improves coronary blood flow, reduces myocardial infarct size, and provides long-term cardioprotection // Am. J. Physiol. – Hear. Circ. Physiol. 2012. V. 302(1). P. 299–311. https://doi.org/10.1152/ajpheart.00723.2011
Arquivos suplementares





