Motion of an Elastic Drop through an Orifice in a Thin Plate
- Authors: Rudenko A.O.1, Rozhkov A.N.1
-
Affiliations:
- Ishlinsky Institute for Problems in Mechanics of the Russian Academy of Sciences
- Issue: No 5 (2024)
- Pages: 77-86
- Section: Articles
- URL: https://ogarev-online.ru/1024-7084/article/view/283872
- DOI: https://doi.org/10.31857/S1024708424050073
- EDN: https://elibrary.ru/NQSYHY
- ID: 283872
Cite item
Full Text
Abstract
Impingement of drops of water and polymer solutions on a thin plate with a solitary round orifice is studied. The drop diameter before the impingement di coincides with that of the orifice dt and is equal to 3 mm. The drops fell from heights of 5, 10, and 20 mm, their velocities before the impingement amounting to 0.31, 0.44, and 0.63 m/s. The drops flew through the orifice touching slightly its edges. High-speed photography was used to fix different stages of the collision between a drop and the obstacle. It is found that a considerable deceleration of the jet by the orifice can be observable for the impingement parameters considered, down to the complete stopping of the drop flight. The mechanisms of the observable phenomena and the effect of different factors are discussed.
Keywords
Full Text
Движение капли через отверстие в пластине — явление, которое наблюдается при столкновении капли со средствами защиты от инфицированных капель, а именно, с медицинскими масками и фильтрами. Отверстия/каналы в средствах защиты пропускают воздух, но препятствуют движению капель, что блокирует распространение инфекции в воздушной среде [1, 2]. Другим примером взаимодействия капли и отверстия является истечение капли из сопла печатающей головки струйного принтера [3, 4]. В работах [5, 6] проведено исследование влияния поверхностного натяжения и вязкости жидкости на движение капли через отверстие. Вместе с тем, в некоторых случаях жидкость кроме вязкости и капиллярности может обладать упругими свойствами, которые жидкости имеют в силу естественных причин [7, 8], либо специальные добавки целенаправленно придают жидкости упругость для обеспечения тех или иных функциональных показателей [4]. Настоящая работа предпринята с целью выявления особенностей движения капли через отверстие в случае наличия у жидкости упругих свойств. Предварительные результаты анонсированы в [9].
Прототипом рассматриваемой здесь экспериментальной конфигурации является столкновение капли с тонким цилиндром или нитью. Изучены удары капель воды [10-15] и полимерных растворов [16].
ЭКСПЕРИМЕНТ
Эксперимент заключался в метании капли исследуемой жидкости на пластину с отверстием и наблюдении за процессом прохождения капли через отверстие при помощи скоростной видеозаписи (рис. 1).
Рис. 1. Схема эксперимента.
Капля падала с высоты h0 = 5, 10 и 20 мм, отрываясь от иглы диаметром dc = 0.8 мм. К моменту пересечения с отверстием для высот падения h0 ≈ 5, 10 и 20 мм [16] измеренная скорость капли достигала значений vi ≈ 0.2011, 0.2736 и 0.4931 м/с. Эти значения скорости приблизительно соответствуют скоростям, вычисленным по формуле vi ≈ (2gh0)1/2 = 0.31, 0.44 и 0.63 м/с (здесь g = 9.81 м/с2 — ускорение свободного падения). В опытах диаметр отверстия dt = 3 мм, диаметр капель перед ударом di = 3.00 ± 0.06 мм (согласно данным видеозаписи (рис. 2-4)), масса такой капли составляет m ≈ ρπdi3/6 = 14.14 мг, толщина пластины 0.44 мм.
Рис. 2. Видеозаписи движения капель воды, ПАА-100 и ПАА-1k (а-в) через отверстие в пластине при падении капли с высоты 5 мм. Цена деления линейки на кадре 1 мм. B = πdiGθ2/(4m0) — количественный параметр, описывающий предполагаемый переход к разрушению капли [4].
Рис. 3. Видеозаписи движения капель воды, ПАА-100 и ПАА-1k (а-в) через отверстие при падении с высоты h0 = 10 мм. Цена делений линейки на кадре 1 мм.
Рис. 4. Видеозаписи движения капель воды, ПАА-100 и ПАА-1k (а–в) через отверстие при падении с высоты h0 = 20 мм. Цена делений линейки на кадре 1 мм.
Испытывались водные растворы полиакриламида молекулярной массой 11 млн. и массовой долей 0, 100 и 1000 млн–1 (ПАА-100 и ПАА-1к) [17]. Растворы ПАА-100 и ПАА-1к имитировали реальную ротовую жидкость. Модуль упругости G и время релаксации θ данных жидкостей максимально приближены к соответствующим реологическим параметрам реальной ротовой жидкости G = 0.11 Па, θ = 0.33 с (пунктиры на рис. 1 источника [16]). Используемые в настоящем исследовании рабочие жидкости (ПАА-100 и ПАА-1к) имеют реологические параметры: G = 89.5 ± 2.7 мПа, θ = 27.3 ± 6.0 мс и G = 139.1 ± 4.3 мПа, θ = 198.5 ± 46.5 мс [17]. Добавки ПАА существенно не меняют поверхностное натяжение растворов, которое остается примерно таким же, как и воды g = 72.6 мН/м [17]. Реологические параметры определялись методом утончающейся нити в рамках реологических моделей Oldroyd-B и Upper-Convected Maxwell (UCM) [8]. Модели совпадают в случае больших упругих деформаций [18], характерных для исследуемых здесь течений. Результаты реологических испытаний модельных и реальных жидкостей и их сопоставление представлены на рис. 1 источника [16]. Показано, что наилучшее приближение обеспечивают растворы ПАА из диапазона массовой доли c ≈ 252 ÷ 2102 млн–1. В качестве альтернативных жидкостей могут быть использованы растворы полиэтиленоксида ПЭО массовой доли c ≈ 12449 ÷ 19320 млн–1, как это следует из рис. 1 источника [16].
Скоростная видеозапись осуществлялась бытовым смартфоном Honor 30S (CDY-NX9A). Частота кадров видеозаписи составляла 960 Гц.
РЕЗУЛЬТАТЫ
Исследовались капли воды, а в качестве упругих жидкостей испытаниям подвергнуты водные растворы полиакриламида молекулярной массы 11 млн. и концентраций 100 и 1000 млн–1 (ПАА-100 и ПАА-1к). Как показали реологические испытания ротовой жидкости, именно эти растворы наиболее близко могут моделировать гидродинамику ротовой жидкости [8, 16].
Типичные результаты наблюдений представлены на рис. 2-4.
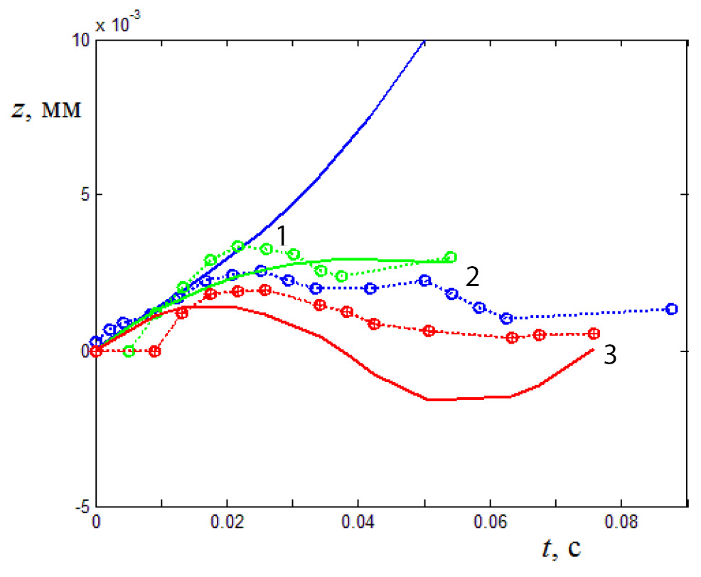
Путем обработки видеозаписей построены траектории движения капель z = z (t) для различных жидкостей и высот падения h0 (рис. 5). Наблюдения и измерения показали, что, несмотря на совпадение диаметров отверстия и капель, капли двигались через отверстие с касаниями краев отверстий в пластине, в результате чего их траектории отличались от траекторий бесконтактного («беспрепятственного») движения через отверстие. Вероятно, контакты обусловлены колебаниями капель в полете. Данные рис. 5 также свидетельствуют, что касания вызывают более сильное торможение при малых высотах падения, когда инерция мала. Также более сильное торможение наблюдается у жидкостей с более высоким уровнем упругих добавок, что свидетельствует о благоприятном эффекте упругости жидкостей при использовании защитных средств.
Рис. 5. Зависимость перемещения струи z от времени для различных жидкостей при падении капель с высот h0 = 5, 10 и 20 мм. 1 — вода h0 = 5 мм, 2 — вода h0 = 10 мм, 3 — вода h0 = 20 мм, 4 — ПАА100 h0 = 5 мм, 5 — ПАА100 h0 = 10 мм, 6 — ПАА100 h0 = 20 мм, 7 — ПАА1k h0 = 5 мм, 8 — ПАА1k h0 = 10 мм, 9 — ПАА1k h0 = 20 мм; Пунктиром показаны теоретические «беспрепятственные» траектории капель z = (2gh0)1/2t + gt2/2 для высот h0 = 5, 10 и 20 мм. Горизонтальная пунктирная линия разделяет область отрыва капель от пластины z > 3 мм и область захвата капель отверстием в пластине z < 3 мм.
Рисунки 2-5 свидетельствуют, что существуют два режима движения капель через отверстие: с отрывом капли от пластины и захват капли отверстием в пластине. Отрыву капли способствует более высокая инерция капли, а захвату — упругие напряжения в капле. За границу между двумя режимами движения принят диаметр исходной капли di = 3.0 мм (рис. 5).
ТЕОРЕТИЧЕСКАЯ МОДЕЛЬ
Раздел посвящен механизму отрыва капли от пластины. Движение капли через отверстие управляется конкуренцией 1) силы инерции, которая направлена на продолжение полета капли; 2) силы поверхностного натяжения, которая вызывает торможение капли и стремление вернуть ее в отверстие; 3) силы упругого натяжения мостика между каплей и пластиной, также замедляющей каплю; 4) силы тяжести, стремящейся оторвать каплю от пластины. Уравнение данного движения
, (3.1)
где m ≈ ρπdi3/6 — масса капли жидкости, ρ — плотность жидкости, a — диаметр мостика, z — длина мостика (рис. 1), pc = γ / (a / 2) — капиллярное давление в мостике (давление Лапласа), γ — поверхностное натяжение, τ — осевая компонента тензора упругого напряжения, a0 — начальный диаметр мостика (приблизительно совпадающий с диаметром отверстия dt), θ — время релаксации жидкости, g — ускорение свободного падения. Жидкость считается несжимаемой. Для величины t известна оценка τ = G (a0 / a)4exp(–t / θ) [4, 18].
Первое слагаемое в правой части уравнения (3.1) представляет натяжение мостика, сформированного поверхностным натяжением, второе слагаемое в правой части — вклад упругости, третье слагаемое — сила тяжести. Поверхностное натяжение и упругие напряжения тормозят движение капли, а сила тяжести ускоряет движение. Соотношение данных трех факторов определяет судьбу капли — оторвется ли капля от пластины и улетит прочь (отрыв капли), либо останется внутри отверстия на пластине (захват капли). Варианты движения можно видеть на рис. 2-4.
Для предварительных оценок положим, что удлинение мостика z (t) сопровождается его утончением a(t) c приблизительно постоянным количеством жидкости в мостике π (a / 2)2z ≈ πa03 / 6 , подобно тому, как это происходит при метании микроструй [4]. В этом случае уравнение (3.1) сводится к дифференциальному уравнению 2-го порядка:
. (3.2)
Начальные условия можно задать в виде t = 0, z ≈ 0, dz/dt = vi. Решение уравнения (3.2) описывает траекторию движения капли после преодоления отверстия. Уравнение интегрировалось численно при помощи пакета прикладных программ MatLab.
С целью демонстрации роли определяющих факторов вычисления проведены для четырех базовых случаев 1) G = 0, γ = 0, g ≠ 0; 2) G = 0, γ ≠ 0, g = 0; 3) G ≠ 0, γ = 0, g = 0; 4) G ≠ 0, γ ≠ 0, g ≠ 0. Траектории представлены на рис. 6. (На рисунках G, Teta, Gamma и g0 соответствуют параметрам G, θ, γ и g.)
Рис. 6. Режимы течения как функции определяющих параметров. Цифрами обозначены варианты: 1 — G = 0, γ = 0, g = 9.81 м/с2, 2 — G = 0, γ = 0.072 Н/м, g = 0, 3 — G = 100 Па, θ = 0.1 с, γ = 0.072 Н/м, g = 9.81 м/с2, 4 — G = 100 Па, θ = 0.1 с, γ = 0, g = 0. Вычисления проведены c использованием пакета прикладных программ MatLab для случая vi = 0.49 м/c, a0 = 3 мм.
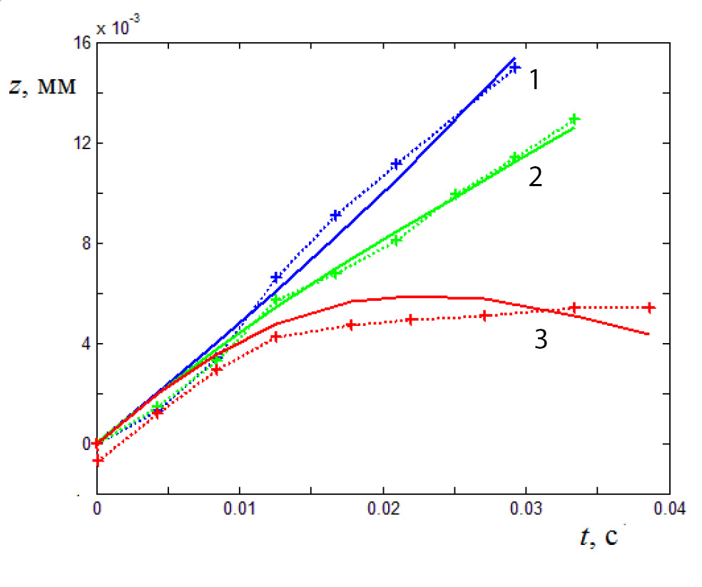
Рисунки 7-9 представляют сплошными линиями результаты численного решения уравнения (3.2). Реологические параметры G и θ оценены путем подбора наилучшего приближения методом наименьших квадратов [18]. Экспериментальные траектории показаны крестиками/ноликами для случаев отрыва/захвата капель отверстием.
Рис. 7. Численные решения уравнения (3.2) (сплошные кривые) в сравнении с экспериментальными данными для падения капель различных жидкостей с высоты h0 = 5 мм, vi = 0.2011 м/c (рис. 2). 1 — вода, G = 0, 2 — ПАА100, G = 51 Па, θ = 0.061с, 3 — ПАА1к, G = 146 Па, θ = 0.031с. Нолики отвечают захвату капель отверстием. Реологические параметры G и q оценены путем подбора наилучшего приближения методом наименьших квадратов.
Рис. 8. Численные решения уравнения (3.2) в сравнении с экспериментальными данными для падения капель различных жидкостей с высоты h0 = 10 мм, vi = 0.2736 м/c (рис. 3). 1 — вода, G = 0, 2 — ПАА100, G = 71 Па, θ = 0.021 с, 3 — ПАА1к, G = 151 Па, θ = 0.021 с. Крестики отвечают отрыву капель от отверстия, нолики — захвату капель отверстием. Реологические параметры G и q оценены путем подбора наилучшего приближения методом наименьших квадратов.
Рис. 9. Численные решения уравнения (3.2) в сравнении с экспериментальными данными для падения капель с высоты h0 = 20 мм, vi = 0.4931 м/c (рис. 4). 1 — вода, G = 0, 2 — ПАА100, G = 91 Па, θ = 0.011 с, 3 — ПАА1к, G = 151 Па, θ = 0.021 с. Крестики отвечают отрыву капель от отверстия.
Данные для h0 = 5 мм (рис. 2) не описываются теоретической моделью удовлетворительно, так как расчетная конфигурация, показанная на рис. 1, не реализуется. В частности, не формируется жидкий мостик, который управляет отрывом или захватом капли, соответственно, нет оснований для правомерности уравнения (3.2). Каплям при таких ударах не удается преодолеть отверстия и создать конфигурацию рис. 1.
Результаты расчетов для траекторий отрывающихся капель при h0 = 10 и 20 мм представлены сплошными линиями на рис. 8, 9 и они качественно согласуются с экспериментальными данными (крестики — траектории оторвавшихся капель, нолики — захваченные капли). С увеличением упругости кривые перемещаются вниз. Использование уравнения (3.2) для аппроксимации экспериментальных данных позволило оценить значения параметров реологической модели Максвелла/Олдройда-Б в данном режиме деформирования. Установленные значения приведены на графиках. Модуль упругости оказался заметно выше, а время релаксации примерно совпало со временем релаксации, измеренным методом утончающейся нити [17]. Полученные данные совместно с данными упругих всплесков [18] могут быть использованы для построения реологических моделей упругих полимерных жидкостей в широком диапазоне деформационных параметров.
В работе [4] в рамках предположения о доминировании упругости предложен приближенный критерий разрушения упругой капли при соударении с твердым препятствием
. (3.3)
Параметр B был рассчитан для экспериментов данной работы и представлен на рис. 2-4. В качестве реологических параметров использованы значения G и θ, полученные в ходе настоящей работы (G и Teta на рис. 7-9). Наблюдается уменьшение параметра B при приближении к ситуации, когда капля отрывается от пластины. Такая зависимость согласуется с тенденцией, предсказанной критерием (3.3).
ЗАКЛЮЧЕНИЕ
Наблюдения и измерения показали, что, несмотря на совпадение диаметров отверстия и капель, капли двигались через отверстие с касаниями пластины, в результате чего их траектории отличались от траекторий бесконтактного («беспрепятственного») движения через отверстие. Вероятно, контакты обусловлены колебаниями капель в полете. Проведенное исследование показывает, что касания вызывают более сильное торможение при малых высотах падения, когда доминирование инерции подавляется контактами капли и стенок отверстия. Также более интенсивное торможение наблюдается у жидкостей с более высоким уровнем упругих добавок, что свидетельствует о благоприятном эффекте упругости жидкостей при контактах с защитными средствами. Таким образом, именно упругость ротовой жидкости обуславливает использования медицинских масок для защиты от инфекций, переносимых воздушно-капельным путем.
Сопоставление данных численного моделирования и экспериментального моделирования показывает качественное согласие даже в случае некоторого отклонения картины течения от предполагаемой конфигурации отрыва капли от пластины, показанной на рис. 1. В случаях отрыва капель от пластины удается оценить значения параметров реологической модели Максвелла, которые в данном режиме деформирования оказались отличны от данных измерений методом утончающейся нити, в котором реализуются невысокие скорости деформаций.
About the authors
A. O. Rudenko
Ishlinsky Institute for Problems in Mechanics of the Russian Academy of Sciences
Author for correspondence.
Email: arudenko@ipmnet.ru
Russian Federation, Moscow
A. N. Rozhkov
Ishlinsky Institute for Problems in Mechanics of the Russian Academy of Sciences
Email: rozhkov@ipmnet.ru
Russian Federation, Moscow
References
- Dbouk T., Drikakis D. On coughing and airborne droplet transmission to humans // Phys. Fluids. 2020. V. 32. P. 053310.
- Bourouiba L. Fluid Dynamics of Respiratory Infectious Diseases // Annu. Rev. Biomedical Engineering. 2021. V. 23. P. 547–577.
- Nielsen N.J. History of ThinkJet printhead development // Hewlett-Packard Journal. 1985. May. P. 4–10.
- Базилевский А.В., Мейер Д.Д., Рожков А.Н. Динамика и разрушение импульсных микроструй полимерных жидкостей. // Изв. РАН. МЖГ. 2005. № 3. С. 45–63.
- Lorenceau E., Quere D. Drops impacting a sieve // Journal of Colloid and Interface Science. 2003. V. 263. P. 244–249.
- Федюшкин А.И., Рожков А.Н., Руденко А.О., Гневушев А.А., Пунтус А.А. Режимы течения капли через отверстие // Материалы XIV Международной конференции по прикладной математике и механике в аэрокосмической отрасли (AMMAI’2022). Материалы конференции. Москва, 2022. С. 101–103.
- Базилевский А.В., Ентов В.М., Рожков А.Н. Распад жидкого мостика — метод реологического тестирования биологических жидкостей // Изв. РАН. Механика жидкости и газа. 2011. № 4. С. 119–129
- Рожков А.Н. Упругость и релаксационные свойства ротовой жидкости // Российский журнал биомеханики. 2021. Т. 25. № 4. С. 393–405.
- Руденко А.О., Рожков А.Н. Движение упругой капли через отверстие в пластине // Материалы XXIII Международной конференции по вычислительной механике и современным прикладным программным системам (ВМСППС’2023). Материалы конференции. Москва, 2023. С. 417–419.
- Lorenceau E., Clanet C., Quere D. Capturing drops with a thin fiber // Journal of Colloid and Interface Science. 2004. V. 279. P. 192–197.
- Kim S., Kim W. Drop impact on a fiber // Phys. Fluids. 2016. V. 28. P. 042001.
- Fedyushkin A.I., Rozhkov A.N., Rudenko A.O. Collision of water drops with a thin cylinder // Journal of Physics: Conference Series. 2021. V. 2057. P. 012034.
- Базилевский А.В., Рожков А.Н. Эффекты коалесценции при столкновении капель воды с тонким цилиндром // Девятая международная научная конференция — Школа молодых ученых. Физическое и математическое моделирование процессов в геосредах. Москва, ИПМех РАН , 18–20 октября 2023. C. 118–121.
- Федюшкин А.И., Гневушев А.А., Захаров А.С., Рожков А.Н. Влияние силы тяжести при обтекании жидкой каплей тонкой нити // Девятая международная научная конференция — Школа молодых ученых. Физическое и математическое моделиро-вание процессов в геосредах. Москва, ИПМех РАН, 18–20 октября 2023. C. 109–112.
- Базилевский А.В., Рожков А.Н. Удар микроструи воды по микроволокну // Изв. РАН. Механика жидкости и газа. 2023. № 5. С. 110–118.
- Руденко А.О., Рожков А.Н. Удар упругой капли по тонкому цилиндру // Высокомолекулярные соединения. Серия А. 2024. Т. 66. № 3. С. 236–247.
- Rozhkov, A., Prunet-Foch, B., Vignes-Adler, M. Star-like breakup of polymeric drops in electrical field // Journal of Non-Newtonian Fluid Mechanics. 2015. V. 226. P. 46–59.
- Базилевский А.В., Рожков А.Н. Всплеск упругой жидкости — реологический тест полимерных растворов // Высокомолекулярные соединения. Серия А. 2018. Т. 60. № 3. С. 235–248.
Supplementary files











