Численное моделирование взаимодействия слабых ударных волн и сверхзвукового пограничного слоя на плоской пластине с затупленной передней кромкой
- Авторы: Егоров И.В.1,2, Нгуен Н.К.1, Чувахов П.В.1
-
Учреждения:
- Московский физико-технический институт (национальный исследовательский университет)
- Центральный аэрогидродинамический институт им. проф. Н. Е. Жуковского
- Выпуск: № 2 (2024)
- Страницы: 113-125
- Раздел: Статьи
- URL: https://ogarev-online.ru/1024-7084/article/view/266742
- DOI: https://doi.org/10.31857/S1024708424020102
- EDN: https://elibrary.ru/riviny
- ID: 266742
Цитировать
Полный текст
Аннотация
Расчетным путем исследовано взаимодействие слабых ударных волн в виде N-волны со сверхзвуковым ламинарным пограничным слоем на плоской пластине с затупленной передней кромкой при числе Маха набегающего потока M = 2.5. Численные результаты сопоставлены с известными экспериментальными данными. Обсуждается совместное влияние N-волны и притупления передней кромки на процесс ламинарно-турбулентного перехода.
Полный текст
Введение
Турбулизация сжимаемых пограничных слоев существенно влияет на аэротермодинамические характеристики высокоскоростной авиационной техники, приводя к значительному увеличению сопротивления вязкого трения и тепловых потоков к обтекаемой поверхности. Поэтому тепловой режим поверхности сверхзвукового летательного аппарата может быть корректно проанализирован, только если положение ламинарно-турбулентного перехода (ЛТП) пограничного слоя предсказано с достаточной точностью.
Сценарий, по которому развивается ЛТП пограничного слоя, существенно зависит от уровня возмущений в набегающем потоке [1]. В сверхзвуковых аэродинамических трубах (АДТ) имеются акустические пульсации в рабочей части [2–4], обусловленные шумом турбулентного пограничного слоя на стенках сопла и рабочей части, а также различными неровностями на них. На гладких моделях ЛТП может сопровождаться появлением турбулентных клиньев [5], которые возникают в некоторых местах над обтекаемой поверхностью и не меняют своего расположения от пуска к пуску АДТ.
Одной из причин возникновения турбулентных клиньев могут являться возмущения от неровностей поверхности рабочей части АДТ, которые приводят к порождению пары слабых ударных волн в виде N-волн, распространяющихся в набегающем потоке (в некоторых работах их называют волнами Маха).
С N-волнами экспериментаторы связывают аномально высокие уровни пульсаций массового расхода (до 20% от среднего удельного массового расхода в набегающем потоке) в пограничном слое плоского треугольного крыла с притупленной передней кромкой [6]. Дело в том, что взаимодействие N-волны и пограничного слоя вблизи притупления приводит к появлению около линии растекания возмущений, которые распространяются в пограничном слое вниз по потоку. Наиболее энергоемкой является низкочастотная (до 3 кГц) часть наблюдаемых пульсаций. Аналогичные эксперименты [7] по возбуждению N-волной высокоинтенсивных возмущений в пограничном слое на модели плоского дельта-крыла показали, что максимальная величина пульсаций составляет 12–15% и слабо зависит от условий обтекания. Различные аспекты взаимодействия N-волн и сверхзвукового пограничного слоя рассмотрены в последовавших экспериментальных работах [8–10].
Численному моделированию взаимодействия N-волн и сверхзвукового пограничного слоя на заостренной пластине посвящены работы [11–13]. В частности, в труде [11] разработана оригинальная методика моделирования тонкой неровности на стенке рабочей части АДТ.
Наша статья является развитием работ [11–13] и направлена на исследование случая пластины с цилиндрически притупленной передней кромкой, обтекаемой воздушным потоком при числе Маха М = 2.5. Численное исследование проводится в рамках полных уравнений Навье–Стокса, а стационарные решения получаются методом установления по времени. Результаты численного моделирования сопоставляются с данными аэродинамического эксперимента [8].
Следует отметить, что в отличие от случая заостренной пластины расчет сверхзвукового обтекания затупленной пластины имеет ряд вычислительных особенностей, связанных с взаимодействием N-волны с головной ударной волной перед притуплением. Такие особенности обсуждаются в нашей работе.
Постановка задачи и численное моделирование
Основные условия задачи и параметры потока соответствуют экспериментальному исследованию [8], которое выполнено в малотурбулентной сверхзвуковой АДТ Т-325 Института теоретической и прикладной механики Сибирского отделения Российской академии наук. Общая конфигурация задачи схематично представлена на рис. 1. Рассматривается течение воздуха в рамках модели совершенного двухатомного газа.
Рис. 1. Схема (а) взаимодействия N-волны, возбуждаемой двумерной неровностью на боковой стенке аэродинамической трубы (вид сверху) и возмущение давления p′ от N-волны (б): Minf, Re1,inf, Tinf – число Маха, единичное число Рейнольдса, статическая температура набегающего потока соответственно.
В работе [8] N-волна возбуждалась на стенке рабочей части с помощью изоленты, которая наклеивалась на расстоянии x* = -233.5 мм вверх по потоку от передней кромки пластины и формировала малую двухмерную неровность (координата x* = 0 соответствует передней кромке пластины; звездочка обозначает размерную величину).
При численном моделировании N-волны использована эквивалентная модель [11], в которой тонкая двухмерная прямоугольная неровность заменяется параболической дужкой (рис. 2):
где h* – толщина прямоугольной неровности; a* – ее ширина.
Рис. 2. Тонкая лента (а) и ее эквивалентная математическая модель (б).
Возмущения давления, скорости и температуры, индуцированные модельной неровностью в сверхзвуковом потоке, рассчитаны с помощью формул Аккерета:
В нашей работе рассматривается N-волна с амплитудой 1%, которая соответствует геометрическим параметрам ленты a* = 20 мм, h* = 0.2 мм, x0* = -251 мм.
Численный метод
Для решения численной задачи использован оригинальный пакет программ [14], с помощью которого проводится численное моделирование на основе полных уравнений Навье–Стокса. Уравнения Навье–Стокса интегрируются в безразмерных переменных. Декартовы координаты x* = xL, y* = yL, z* = zL отнесены к характерному масштабу длины L, время t * = tL/V∞ – к характерному масштабу времени L/V∞, компоненты вектора скорости u * = u/V∞, v * = v/V∞, w * = w/V∞ – к модулю вектора скорости набегающего потока V∞, давление p* = p(p∞V∞2) – к удвоенному скоростному напору набегающего потока, остальные газодинамические переменные – к их значениям в набегающем потоке. Звездочка в верхнем индексе обозначает размерную величину; если звездочка отсутствует, переменная предполагается безразмерной. Символ соответствует значению переменной в набегающем потоке. В нашей работе L = 1 м.
Динамический коэффициент молекулярной вязкости вычисляется по формуле Сазерленда где Газ является совершенным с постоянными показателем адиабаты g = 1.4 и числом Прандтля Для замыкания задачи использовано уравнение состояния совершенного газа
Набегающий поток считается ламинарным, а фоновые пульсации массового расхода, которые в эксперименте [8] достигали величины 0.4%, отсутствуют.
Расчетная сетка и граничные условия
При численном моделировании расчетная область разбита на две подобласти. Подобласть 1 целиком находится перед затупленной пластиной и используется для моделирования стационарного распространения N-волны. Подобласть 2 содержит затупленную пластину и небольшой участок перед ней. Подобласть 1 представлена на рис. 3а для случая обтекания пластины с острой передней кромкой и на рис. 3б для случая обтекания пластины с затупленной передней кромкой.
Рис. 3. Расчетная подобласть 1 для пластины с острой (а) и с затупленной (б) передней кромкой
На рис. 3 также построены сечения с полями продольной компоненты вектора скорости и одна из сеточных плоскостей. Левые границы рис. 3а и 3б соответствуют стенке АДТ; на них накладывается условие прилипания потока и теплоизолированной поверхности, а также условие возбуждения N-волны, описанное выше. N-волна распространяется вниз по потоку. Из приведенных данных можно заключить, что максимальное относительное возмущение продольной компоненты вектора скорости, вызванное неровностью, составляет около 1.4%.
Боковые границы подобласти 1 не визуализированы на рис. 3; на ближней к читателю границе накладывается условие первого рода, соответствующее набегающему вдоль оси x газовому потоку. На другой границе накладывается мягкое граничное условие в виде экстраполяции всех зависимых газодинамических переменных задачи изнутри расчетной области вдоль сеточных линий. На верхней и нижней границах по оси y накладываются условия симметрии.
Установившееся течение с N-волной в подобласти 1 используется для формулирования стационарного граничного условия в подобласти 2. Для этого все зависимые переменные с выходной (правой) границы подобласти 1 накладываются в виде условия первого рода во входном (левом) сечении подобласти 2. При этом выходное сечение подобласти 1 и входное сечение подобласти 2 совпадают узел в узел. Расчетная сетка в области 2 показана на рис. 4.
Рис. 4. Расчетная подобласть 2 и фрагменты расчетной сетки: (а) – сечение xy, затупленная кромка; (б) – сечение xy, острая кромка; (в) – сетка в сечении xy, затупленная кромка; (г) – сетка в сечении yz, острая кромка.
На рис. 4в, г изображены также фрагменты расчетной сетки в двух характерных сечениях, иллюстрирующие ее сгущение в различных направлениях. В продольном направлении расчетная сетка имеет буферную зону (рис. 4в) для демпфирования возмущений в выходном сечении.
В подобласти 2 на поверхности пластины накладываются условия прилипания и теплоизолированной поверхности. На выходной границе подобласти 2 задается мягкое граничное условие. На границах в боковом направлении, а также на границе x < 0, y = 0 накладывается условие симметрии.
Размер ячейки расчетной сетки по направлению x показан на рис. 4а, по направлению z – на рис. 4г. По нормальному к пластине направлению y сетка сгущена к стенке. По опыту расчетных исследований, мелкость сетки в пограничном слое оказывается избыточной для получаемых установившихся ламинарных полей течения, в том числе, возмущенных падающей слабой ударной волной.
Кроме этого, сетка имеет дополнительное сгущение в окрестности ударной волны при обтекании затупленной пластины (рис. 4г). Для сопоставления полей возмущений на пластинах с затупленной и с острой передней кромкой, в обоих случаях формируются идентичные сеточные подобласти, ограниченные синей линией на рис. 4а и 4б.
Особенность моделирования взаимодействия N-волны и ударной волны
При взаимодействии N-волны с головной ударной волной, возникающей перед притуплением, появляются вычислительные трудности, которые могут приводить к численной неустойчивости процесса расчета. Причины этого связаны с особенностями моделирования скачков уплотнения с применением схем сквозного счета [15, 16]. Одним из способов избежать численную неустойчивость такого рода является выравнивание сеточных плоскостей вдоль скачка и измельчение расчетной сетки в его окрестности в целях разрешения профиля ударной волны. Выбор оптимального значения сеточного разрешения на ударной волне учитывает выводы работы [16] и опирается на тестовые расчеты, проведенные в рамках настоящей работы.
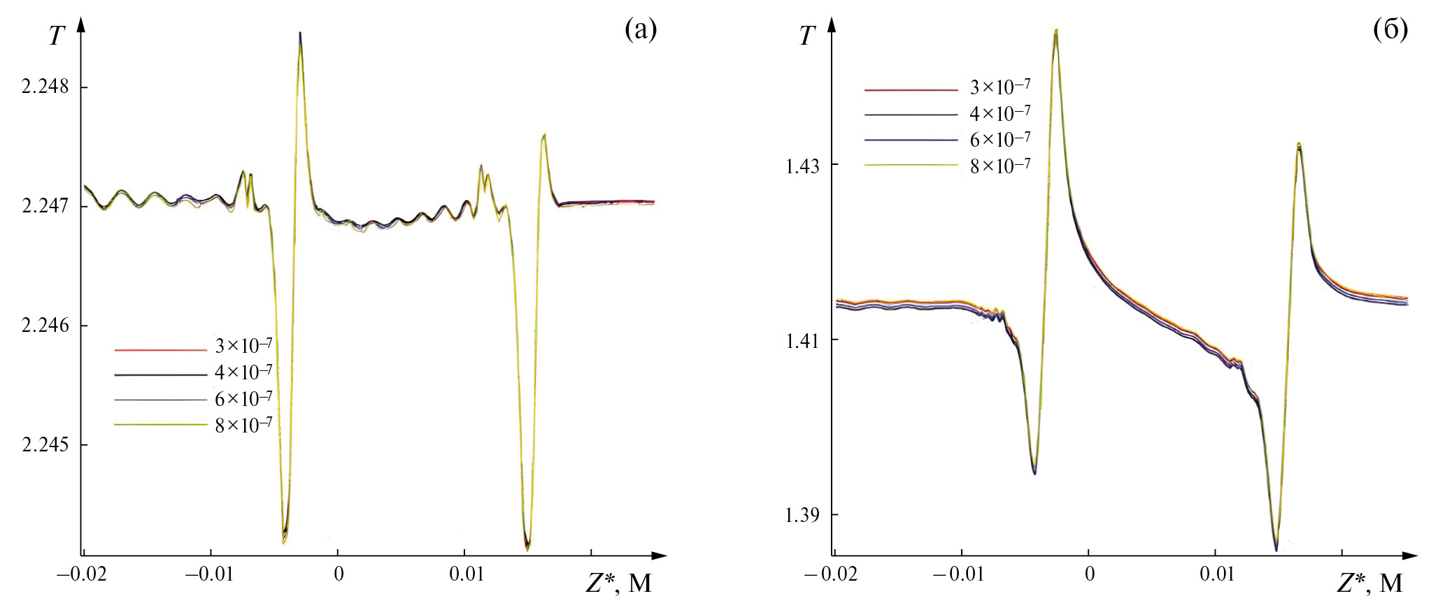
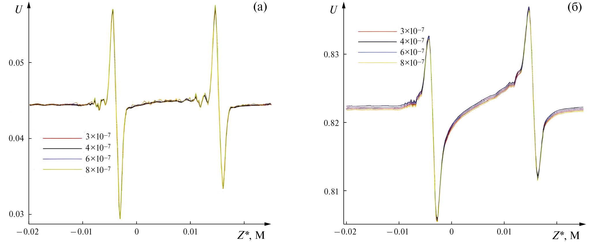
На рис. 5 показана структура ударной волны вдоль линии симметрии s1 (рис. 6а), полученная при решении уравнений Навье–Стокса. Толщина ударной волны, обусловленная конечными значениями вязкости и теплопроводности, составляет примерно 4 мкм. Данные рис. 5 свидетельствуют о сходимости расчетных данных на сетках с различным сгущением.
Рис. 5. Распределение давления поперек ударной волны в сечении s1 при y = 0.
Чтобы изучить особенности полученных решений, на различных сетках рассматриваются распределения вдоль линий (x = const, y = const), где точка (х*, у*) = (–0.0002, 0) находится на линии торможения (s1), а (х*, у*) = (0.00245, 0.0026) – в пограничном слое вблизи сопряжения притупления с плоской поверхностью. Разрешение ударной волны анализируется в зависимости от шага расчетной сетки Dx поперек нее.
Из рис. 6б, на которой проиллюстрировано поле давление в сечении y = 0 и расчетная сетка в данном сечении, следует, что ударная волна попадает в область повышенного сеточного разрешения и не выходит за ее пределы. Из рис. 7–9, на которых представлены распределения давления, температуры и скорости вдоль линий s1 и s2 в зависимости от Dx поперек ударной волны, следует, что в области ударной волны s1 осцилляции существенно сильнее, чем в пограничном слое s2.
По мере уменьшения величины Dx расчет становится более устойчивым, а распределения характеристик вдоль линий s1 и s2 остаются вблизи некоторого среднего распределения с погрешностью, не превосходящей 10–3. Это наблюдение соответствует выводам других исследователей о том, что схемы сквозного счета корректно воспроизводят параметры потока до и после скачка, а проблемы с устойчивостью счета связаны с внутренней структурой скачка и исчезают по мере разрешения вязкой структуры скачка [16].
По результатам данного анализа выбран оптимальный размер ячейки, который зафиксирован для последующих расчетов: Dx = 6 × 10-7.
Результаты
Визуализация течения
Рассмотрим процесс взаимодействия N-волны с пограничным слоем с помощью визуализации поля продольной компоненты скорости в различных сечениях. Для сравнения также представлены результаты расчетов [11–13] для случая острой пластины.
Рис. 6. Поле продольной компоненты вектора скорости в сечении xy (а) и поле давления в сечении xz при y = 0 (Dx* = 8 × 10–7м) (б).
Рис. 7. Давление вдоль линии s1 (а) и линии s2 (б).
Рис. 8. Температура вдоль линии s1 (а) и линии s2 (б).
Рис. 9. Продольная компонента скорости вдоль линии s1 (а) и линии s2 (б).
По рис. 10а и 11а видно, что влияние N-волны на пограничный слой на заостренной пластине проявляется в виде слабого утолщения пограничного слоя в области переднего фронта N-волны при z ≈ 0.13, который приводит к появлению дефицита скорости в пограничном слое. Аналогично наблюдается слабое утончение пограничного слоя в области заднего фронта N-волны при z ≈ 0, которое приводит к появлению избытка скорости в пограничном слое.
В случае притупленной передней кромки (рис. 10б и 11б) влияние N-волны проявляется иначе на качественном уровне. В частности, наблюдаются две изолированные друг от друга локальные области утолщения и утончения пограничного слоя при z ≈ –0.03 и при z ≈ 0.16, причем изменение толщины пограничного слоя выражено заметно сильнее.
Рис. 10. Продольная компонента скорости в сечении x* = 0.06 м: острая (а) и затупленная (б) пластина.
Рис. 11. Продольная компонента скорости в сечении x* = 0.2 м: острая (а) и затупленная (б) пластина.
Рис. 12. Поле продольной компоненты скорости в сечении y* = 0.0029 м: острая (а) и затупленная (б) пластина.
На рис. 12 показаны соответствующие поля продольной компоненты скорости показаны на виде сверху в сечении y * = 0.0029 м. За острой кромкой образуется широкий след из пары вихрей (в соответствии с исходной терминологией [6–10]), а за затупленной кромкой образуются два изолированные друг от друга следа меньшего поперечного размера.
Более наглядно качественное отличие между случаями острой и притупленной кромки можно проследить на рис. 13–14, где в различных сечениях показаны поля возмущения продольной составляющей вектора скорости относительно течения без N-волны. Как отмечено ранее, за острой передней кромкой образуется след, соответствующий дефициту и избытку скорости, соответственно, на переднем и заднем фронтах N-волны. В этом случае след имеет большой размер, но амплитуда возмущений в нем относительно мала.
В случае затупленной пластины образуются два таких следа: один соответствует переднему фронту N-волны, второй – заднему. Эти следы имеют меньший размер, но амплитуда соответствующих возмущений примерно втрое выше по сравнению со случаем острой передней кромки.
Сравнение с экспериментальными данными
Для валидации расчетных результатов задачи взаимодействия N-волны с затупленной пластиной проведено сравнение среднего значения массового расхода и среднеквадратичного значения пульсаций массового расхода с экспериментальными данными из работы [8].
Анализ расчетных данных указывает на то, что нестационарность, связанная с N-волной, является слабой. Поэтому при обтекании затупленной пластины взаимодействие N-волны с пограничным слоем можно в главном приближении считать стационарным. В этом случае справедлива процедура численного анализа среднеквадратичного значения пульсаций массового расхода, приведенная в [13]. Так как пульсации N-волны наблюдаются в диапазоне малых частот, предположим, что их можно считать квазистационарными. В этом приближении N-волна и возбуждаемые ею возмущения осциллируют в направлении оси z как целое. Тогда перемещение таких пульсаций есть
Рис. 13. Возмущение продольной компоненты скорости в сечении y* = 0.0033 м: острая (а) и затупленная (б) пластина.
Рис. 14. Возмущение продольной компоненты скорости: острая (а) и затупленная (б) пластина при разных x *.
где f (z) – распределение стационарного массового расхода.
Пусть фоновые пульсации массового расхода в потоке без N-волны равны и не зависят от z. Тогда суммарные пульсации (дрожащая N-волна плюс фон) имеют вид
Рис. 15. Средние значения массового расхода: (а) – х* = 60 мм, у* ≈ 2.983 мм, (б) – х* = 90 мм, у* ≈ 3.079 мм.
Рис. 16. Среднеквадратичные пульсации массового расхода: (а) – х* = 60 мм, у* ≈ 2.983 мм, (б) х* = 90 мм, у* ≈ 3.079 мм.
Их среднеквадратичные значения равны
Производная от формы волны вычисляется по формуле второго порядка точности:
В результате среднеквадратичные пульсации массового расхода имеют вид
где определяется по экспериментальным данным и характеризует фоновые пульсации массового расхода, а выбирается так, чтобы расчетное распределение совпадало с экспериментальным в точке локального максимума, соответствующего переднему фронту N-волны.
На рис. 15 средние значения массового расхода вдоль линии х* = 60 мм и х* = 90 мм сопоставлены с данными эксперимента. Соответствующее сопоставление для среднеквадратичного значения пульсаций массового расхода приведено на рис. 16. Из сопоставления следует, что результаты численного моделирования удовлетворительно согласуются с данными эксперимента. Это свидетельствует о корректности численного моделирования взаимодействия N-волны и затупленной пластины, обтекаемой сверхзвуковым потоком газа.
Обсуждение
Следы N-волны в пограничном слое на пластине имеют качественно разную структуру в случаях заостренной и притупленной передней кромки. По-видимому, при постепенном увеличении величины притупления след за острой кромкой, состоящий из одной пары вихрей с относительно большим поперечным масштабом длины, будет деформироваться в два следа, каждый из пары вихрей с относительно малым поперечным масштабом длины.
Каждый из двух следов, по-видимому, будет располагаться там, где за острой кромкой в поперечном направлении располагались линии переднего и заднего фронтов N-волны. Анализ влияния N-волны на пограничный слой в зависимости от величины притупления требует трудоемкого параметрического исследования, которое не было проведено в данной работе, но несомненно представляет интерес.
Местное изменение характеристик пограничного слоя из-за его взаимодействия с падающей N-волной оказывает влияние на устойчивость пограничного слоя и процесс его турбулизации. В работе [13] это было продемонстрировано для случая заостренной пластины. На стационарное течение в пограничном слое с падающей N-волной и без нее накладывались периодические возмущения, которые вводились в пограничный слой с помощью генератора типа вдув–отсос, размещаемого на поверхности пластины. Спектральные и геометрические характеристики генератора подбирались на основе расчета линейной устойчивости пограничного слоя.
Было показано, что в области дефицита скорости, которая формируется в следе от переднего фронта N-волны, линия ЛТП искажается, смещаясь вверх по потоку и формируя подобие турбулентного клина. Аналогично в области избытка скорости, которая формируется в следе от заднего фронта N-волны, линия ЛТП смещается вниз по потоку.
Из полученных результатов следует, что в случае затупленной пластины область дефицита скорости появляется как в следе от переднего фронта N-волны, так и в следе от заднего фронта. Поэтому можно предположить, что линия ЛТП, зафиксированная в отсутствие N-волны, исказится таким образом при появлении N-волны, что на следах от обоих фронтов N-волны ЛТП сместится вверх по потоку. Подтверждение этого предположения путем параметрического численного исследования также представляет интерес.
В работе [17] были получены первые качественные расчетные данные о влиянии N-волны на ЛТП на затупленной пластине. Пограничный слой возбуждался идентично случаю острой пластины [13].
В частности, использовались характеристики генератора возмущений, определенные из расчета устойчивости пограничного слоя на острой, а не на затупленной пластине. В связи с этим линия ЛТП в отсутствие N-волны оказалась ниже по потоку по сравнению с ее положением на острой пластине.
Однако появление N-волны привело к существенно более значительному относительному смещению положения ЛТП вверх по потоку на обоих следах от N-волны, чем смещение на линии переднего фронта от N-волны в случае заостренной пластины.
Отмеченные результаты работы [17] качественно подтверждают выдвинутую гипотезу о влиянии N-волны на ЛТП в случае затупленной кромки. Однако требуется провести параметрические численные исследования, в которых параметры генератора возмущений будут подобраны для пограничного слоя на затупленной пластине. Такое исследование является предметом дальнейшей работы авторов.
Выводы
Выполнено численное моделирование взаимодействия N-волны со сверхзвуковым пограничным слоем на пластине с цилиндрически затупленной передней кромкой. Показано, что полученные результаты удовлетворительно согласуются с имеющимися экспериментальными данными.
Полученные результаты сопоставлены с результатами для случая острой пластины. Показано, что на острой пластине формируется единственный стационарный след, состоящий из пары вихрей и распространяющийся в пограничном слое с потоком.
Вместе с тем, на затупленной пластине образуются два изолированных друг от друга следа, причем каждый состоит из пары вихрей: один след распространяется вниз по потоку от места падения переднего фронта N-волны на притупление, а другой – заднего. Амплитуда стационарных возмущений в каждом следе на затупленной пластине оказывается в несколько раз выше, чем в случае заостренной пластины. При этом в каждой вихревой паре имеется область дефицита скорости, что указывает на усиление неустойчивости течения и предполагает более ранний переход к турбулентности на обоих следах.
Финансирование
Работа выполнена в МФТИ при финансовой поддержке РНФ по проекту № 21-19-00307 (И. В. Егоров, Н. К. Нгуен – постановка задачи, модельные граничные условия, численное моделирование) и по проекту № 19-19-00470 (П. В. Чувахов – анализ численных результатов; особенности моделирования ударной волны п. 2.3).
Об авторах
И. В. Егоров
Московский физико-технический институт (национальный исследовательский университет); Центральный аэрогидродинамический институт им. проф. Н. Е. Жуковского
Email: pavel_chuvahov@mail.ru
Россия, Долгопрудный; Жуковский
Н. К. Нгуен
Московский физико-технический институт (национальный исследовательский университет)
Email: pavel_chuvahov@mail.ru
Россия, Долгопрудный
П. В. Чувахов
Московский физико-технический институт (национальный исследовательский университет)
Автор, ответственный за переписку.
Email: pavel_chuvahov@mail.ru
Россия, Долгопрудный
Список литературы
- Гапонов С.А., Маслов А.А. Развитие возмущений в сжимаемых потоках. Новосибирск: Наука, 1980. 144 с.
- Laufer J. Aerodynamic noise in supersonic wind tunnels // Aerospase Sci. 1961. V. 28. № 9. P. 685–692.
- Kendall J.M. Wind tunnel experiments relating to supersonic and hypersonic boundary-layer transition // AIAA J. 1975. V. 13. № 3. P. 290–299.
- Приданов В.Г., Харитонов А.М., Черных В.В. Совместное влияние чисел Маха и Рейнольдса на переход в пограничном слое // Изв. АН СССР. Механика жидкости и газа. 1974. № 1. С. 160–163.
- Боровой В.Я., Егоров И.В., Мошаров В.Е., Скуратов А.С., Радченко В.Н. Экстремальный нагрев тел в гиперзвуковом потоке. М.: Наука, 2018. 390 с.
- Ваганов А.В., Ермолаев Ю.Г., Косинов А.Д., Семенов Н.В., Шалаев В.И. Экспериментальное исследование структуры течения и перехода в пограничном слое треугольного крыла с затупленными передними кромками при числах Маха 2, 2.5 и 4 // Труды МФТИ. 2013. Т. 5. № 3. С. 164–173.
- Ваганов А.В., Ермолаев Ю.Г., Колосов Г.Л., Косинов А.Д., Панина А.В., Семенов Н.В. О воздействии падающей волны Маха на поле пульсаций в пограничном слое при обтекании плоского дельта крыла // Вестник НГУ. Сер. Физика. 2014. Т. 9. № 1. С. 29–38.
- Ваганов А.В., Ермолаев Ю.Г., Колосов Г.Л., Косинов А.Д., Панина А.В., Семенов Н.В., Яцких А.А. К воздействию падающей волны Маха на сверхзвуковой пограничный слой // Теплофизика и аэромеханика. 2016. Т. 23. № 1. С. 45–50.
- Косинов А.Д., Семёнов Н.В., Яцких А.А., Ермолаев Ю.Г., Питеримова М.В. Экспериментальное исследование взаимодействия слабых ударных волн со сверхзвуковым пограничным слоем плоской затупленной пластины при числе Маха 2 // Сибирский физический журнал. 2018. Т. 13. № 3. C. 16–23.
- Ермолаев Ю.Г., Косинов А.Д., Кочарин В.Л., Семенов Н.В., Яцких А.А. Об экспериментальном исследовании воздействия слабых ударных волн на пограничный слой плоской притупленной пластины при числе Маха 2.5 // Известия РАН. МЖГ. 2019. № 2. С. 112–118.
- Динь К.Х., Егоров И.В., Федоров А.В. Взаимодействие волн Маха и пограничного слоя при сверхзвуковом обтекании пластины с острой передней кромкой // Ученые записки ЦАГИ. 2017. Т. XLVIII. № 4. С. 10–19.
- Динь К.Х., Егоров И.В., Фёдоров А.В. Влияние волн Маха на ламинарно-турбулентный переход при сверхзвуковом обтекании плоской пластины // Изв. РАН. МЖГ. 2018. № 5. С. 113–124.
- Егоров И.В., Динь К.Х., Нгуен Н.К., Пальчековская Н.В. Численное моделирование взаимодействия волны Маха и сверхзвукового пограничного слоя на плоской пластине с острой передней кромкой // Ученые записки ЦАГИ. 2021. Т. LII. № 3. C. 18–28.
- Егоров И.В., Новиков А.В., Фёдоров А.В. Прямое численное моделирование ламинарно-турбулентного перехода при гиперзвуковых скоростях потока на супер-ЭВМ // Ж. вычисл. матем. и матем. физ. 2017. Т. 57. № 8. С. 1347–1373.
- Quirk J.J. A contribution to the great Riemann solver debate // Int. J. Numer. Meth. Fluids. 1994. V. 18. P. 555–574.
- Chuvakhov P.V. Shock-Capturing Anomaly in the Interaction of Unsteady Disturbances with a Stationary Shock. AIAA Journal. 2021. P. 1–11.
- Нгуен Ньи Кан. Разработка и применение гибридных разностных схем для моделирования ламинарно-турбулентного перехода при взаимодействии N-волны со сверхзвуковым пограничным слоем // Дисс. … к. ф.-м. н., Долгопрудный, МФТИ, 15.09.2022.
Дополнительные файлы


















