Влияние отсоса газа на неустойчивость поперечного течения при обтекании стреловидного крыла
- Авторы: Новиков А.В.1,2, Образ А.О.1,2, Тимохин Д.А.2
-
Учреждения:
- Центральный аэрогидродинамический институт им. проф. Н. Е. Жуковского
- Московский физико-технический институт (национальный исследовательский университет)
- Выпуск: № 2 (2024)
- Страницы: 105-112
- Раздел: Статьи
- URL: https://ogarev-online.ru/1024-7084/article/view/266741
- DOI: https://doi.org/10.31857/S1024708424020096
- EDN: https://elibrary.ru/riwaap
- ID: 266741
Цитировать
Полный текст
Аннотация
Представлены результаты исследования устойчивости пограничного слоя над стреловидным крылом с участком отсоса газа через стенку по нормали к поверхности при числе Маха 2. Для рассмотренного режима течения доминирующим типом неустойчивости в пограничном слое является неустойчивость поперечного течения. Влияние отсоса газа на развитие неустойчивых мод в пограничном слое проводится с помощью линейной теории устойчивости и метода прямого численного моделирования. Численное моделирование ламинарных (невозмущенных) полей течения с участками отсоса газа и полей течения с возмущениями производится с помощью интегрирования уравнений Навье–Стокса. В рамках линейной теории устойчивости производится анализ с помощью eN-метода. Положение области отсоса варьируется с сохранением интегральной интенсивности. Показана возможность существенного подавления роста неустойчивых мод за счет оптимального расположения области отсоса.
Полный текст
Введение
Одним из способов снижения сопротивления трения при обтекании летательных аппаратов является активное управление устойчивостью пограничного слоя с помощью выдува/отсоса газа через проницаемую поверхность. Для гладких аэродинамических конфигураций при малом фоне возмущений в набегающем потоке обычно реализуется сценарий перехода, вызванный нарастанием собственных мод пограничного слоя.
При дозвуковых и умеренных сверхзвуковых скоростях доминирующими типами неустойчивости на крыльях самолетов являются волны Толлмина–Шлихтинга (ТШ) и неустойчивость поперечного течения (CF-неустойчивость, от англ. Cross-Flow).
Волна ТШ имеет вязкую природу, ее инкременты роста связаны со второй производной скорости среднего течения на стенке. При отсосе профиль пограничного слоя становится более наполненным и это приводит к стабилизации возмущений данного типа. Уменьшение толщины пограничного слоя также приводит и к ослаблению поперечной компоненты скорости, вызванной разницей в направлении градиента давления и течения на верхней границе пограничного слоя для стреловидных крыльев.
Известно, что уменьшение поперечной компоненты скорости является одним из основных способов подавления развития неустойчивостей поперечного течения [1]. Таким образом, отсос газа из пограничного слоя в общем приводит к стабилизации течения и более позднему ламинарно-турбулентному переходу [2].
Распределение интенсивности отсоса по поверхности также является важным параметром. В работе [3] для автомодельных двух- и трехмерных пограничных слоев были найдены оптимальные с точки зрения затягивания перехода распределения интенсивности отсоса: область отсоса должна располагаться в окрестности точки потери устойчивости пограничного слоя. Для двумерных конфигураций течения данный результат также подтверждается экспериментальной работой [4].
Влияние отсоса пограничного слоя на сверхзвуковые стреловидные конфигурации изучено менее детально, чем на дозвуковые и трансзвуковые. Авторам известен один полетный эксперимент [5], в котором была продемонстрирована применимость отсоса пограничного слоя для затягивания ламинарно-турбулентного перехода на сверхзвуковом крыле.
В экспериментальной работе [6] произведено исследование влияния участка отсоса газа на устойчивость пограничного слоя на поверхности стреловидного крыла с параболическим профилем при числе Маха 2 в аэродинамической трубе. Отсос газа производился с помощью проницаемой пористой вставки на поверхности модели. При этом в качестве материала вставки использовался спекаемый металлический порошок, который обеспечивает гораздо больший коэффициент пористости, чем традиционный способ лазерного сверления отверстий.
В последнем случае во многих экспериментальных работах отмечались краевые эффекты на границах отверстий, ухудшающие эффективность всей системы и затрудняющие теоретический анализ в связи с появлением немодальных сценариев ламинарно-турбулентного перехода. Численный анализ устойчивости пограничного слоя с учетом таких краевых эффектов и геометрии системы отсоса производился в работе [7].
В работе [8] выполнен численный анализ эксперимента [6]. В частности, с помощью eN-метода были рассчитаны инкременты роста стационарных вихрей неустойчивости поперечного течения, а также на основе экспериментальных данных получены значения критических N-факторов для модели с проницаемой вставкой. Оказалось, что для нестационарных неустойчивостей поперечного течения значения критических N-факторов практически не зависели от наличия вставки, что свидетельствует о реализации сценария перехода, связанного с ростом собственных мод пограничного слоя.
В работе [9] производился анализ устойчивости стационарных вихрей поперечного течения в пограничном слое на крыле для различных интенсивностей отсоса, при этом параметры течения соответствовали эксперименту [6].
В нашей работе численно исследуется развитие CF-неустойчивостей в пограничном слое на крыле с параметрами течения, соответствующими работе [6]. Развитие возмущений моделируется с помощью как линейной теории устойчивости (ЛТУ), так и прямого численного моделирования (ПЧМ) уравнений Навье–Стокса.
В отличие от экспериментальной установки, где вставка с пористым покрытием, через которую осуществлялся отсос, была фиксирована на крыле, в данной работе производится варьирование данной области. При этом интегральная интенсивность отсоса остается постоянной. Для рассматриваемой геометрии крыла найдена оптимальная с точки зрения подавления стационарных мод CF-неустойчивостей область с отсосом газа из пограничного слоя.
1. Постановка задачи и метод исследования
Моделирование обтекания стреловидного крыла выполняется путём решения уравнений Навье–Стокса для идеального сжимаемого газа. Рассматривается бесконечное стреловидное крыло с параболическим профилем, форма которого задается соотношением y = 2ex(1 – x), где e = 0.13 – относительная толщина профиля (рис. 1).
Рис. 1. Геометрия профиля крыла. Синим отмечено типовое положение области отсоса.
Задача решается в следующей прямоугольной системе координат: ось x направлена вдоль оси симметрии хорды крыла, ось z – по размаху крыла, ось y перпендикулярна осям x и z. Применяется трехмерная формулировка уравнений в консервативной безразмерной форме.
Координаты нормируются на характерную длину L*; зависимые переменные {u, v, w, T} – на соответствующие значения в набегающем потоке {U *∞,T *∞}, а давление p – на удвоенный скоростной напор r *∞,U *∞2.
Здесь и далее верхний индекс * означает размерные величины. В качестве масштаба длины обезразмеривания в данной работе используется L* = c* = 0.3 м, где c* – длина хорды модели (в направлении перпендикулярно передней кромке). Угол скольжения крыла c = 30° (вектор скорости набегающего потока имеет компоненты Единичное число Рейнольдса в набегающем потоке Re1 = 30 × 106 м–1, соответственно число Рейнольдса по хорде крыла Rec = 9 × 106. Температура поверхности модели Tw* = 290 K. Все указанные параметры соответствуют параметрам экспериментальной установки [6].
Уравнения Навье–Стокса интегрируют с помощью авторского пакета расчетных программ [10], который реализует неявный метод конечного объема сквозного счета с аппроксимацией второго порядка по пространству и времени. Используется TVD-схема с приближенным решателем задачи распада разрыва методом Роу. Реконструкция зависимых переменных на границах ячеек сетки выполняется с использованием подхода WENO3, который эффективно дает аппроксимацию по пространству конвективных слагаемых третьего порядка.
Развитие вихрей неустойчивости поперечного течения в рамках метода прямого численного моделирования исследуется с помощью искусственного стационарного возмущения в виде полосы периодического в поперечном направлении искажения массового расхода газа вида вдув–отсос:
Генератор возмущений располагается в окрестности точки потери устойчивости для наиболее усиливающихся возмущений поперечного течения (положение генератора xc ≈ 0.06, точка потери устойчивости для различных длин волн стационарных вихрей неустойчивости поперечного течения xпр ≈ 0.07–0.08). Амплитуда возмущения e = 10-5 выбирается достаточно малой для обеспечения линейного развития пакета волн неустойчивости.
Ширина области генерации возмущения в продольном направлении 2r = 0.02 (область действия генератора в продольном направлении ). Длина волны lz = 0.004 соответствует наиболее усиливающимся на выходе из расчетной области (x = 0.5) стационарным CF-возмущениям согласно линейной теории устойчивости.
В рамках этой теории характеристики устойчивости пограничного слоя исследуют с использованием авторского кода [11]. Рассматривается усиление стационарных вихрей неустойчивости поперечного течения, распространяющихся в пограничном слое, полученном при решении уравнений Навье–Стокса (ламинарное поле течения с отключенным генератором).
В рамках локально-параллельного приближения рассматривают возмущения газодинамических величин вида . Здесь a = ar + iai – комплексное волновое число, получающееся в результате численного интегрирования однородной краевой задачи на собственные значения; a(w; x) зависит от круговой частоты волны w и продольной координаты x как от параметра.
В нашей работе в основном рассматриваются стационарные вихри неустойчивости поперечного течения (частота w = 0). Если ai < 0, то амплитуда волны растет вниз по потоку с инкрементом s(w; x) = -ai, а ее интегральное усиление характеризуется N-фактором
где x0 – точка потери устойчивости, лежащая на нижней ветви нейтральной кривой.
2. прямое численное моделирование развития вихрей неустойчивости поперечного течения
Отсос пограничного слоя через стенку моделируется на конечном участке, а интенсивность задается коэффициентом отсоса , где Отсосу газа из пограничного слоя внутрь стенки соответствуют отрицательные значения коэффициента cq. Отсос задается в области значения xs1, xs2 варьируют для разных расчетных случаев.
Выход с участка без отсоса на постоянное значение коэффициента cq внутри проницаемой области происходит плавно в достаточно узких областях и по формуле , где D = 0.01 – протяженность переходных областей.
Расчеты проводятся для случаев постоянного коэффициента отсоса cq = const = {0.0,-0.80,-1.37,-2.40,-4,8}. Для выбранного режима течения на крыле без отсоса для стационарных вихрей неустойчивости поперечного течения реализуются характерные максимальные N-факторы N ≈ 5–7, что соответствует критическим значениям для начала ламинарно-турбулентного перехода в условиях аэродинамической трубы с умеренным фоном возмущений в набегающем потоке.
Расчетная область расположена над верхней поверхностью полукрыла с ортогональной структурированной многоблочной сеткой из 3001 × 401 × 41 узлов в направлении вдоль пластины, по нормали к стенке и вдоль размаха крыла соответственно (рис. 2).
Рис. 2. Расчетная область при прямом численном моделировании развития возмущений. Вблизи передней кромки отмечено положение генератора возмущений.
Такое количество узлов обусловлено предварительными расчетами, в рамках которых была осуществлена проверка сходимости по сетке. Указанное выше число узлов по заданным направлениям гарантировало достаточное разрешение возмущений при прямом численном моделировании.
Граничные условия задаются следующие: условие прилипания – на обтекаемой поверхности вне области отсоса; условие набегающего потока – на входной и верхней границах; линейная экстраполяция изнутри области для зависимых переменных – на выходной границе; в области отсоса на стенке граничное условие для вертикальной компоненты скорости модифицируется с помощью задания массового потока газа
По размаху крыла на границах расчетной области используется условие df/dz = 0 для всех газодинамических величин f. Использование коэффициента отсоса cq в такой форме удобно для проведения фундаментальных исследований, потому что для течений с простыми конфигурациями (например, плоская пластина) с введением такого коэффициента сохраняются автомодельные свойства профилей среднего течения. Отметим также, что для всех расчетов методом прямого численного моделирования область отсоса располагалась вниз по потоку от области генерации возмущения.
Исследование проводилось в два этапа. Сначала с помощью метода установления вычислялось поле стационарного ламинарного обтекания крыла для различных интенсивностей отсоса. Затем из полученного стационарного поля извлекались профили пограничного слоя в различных сечениях по x и решалась задача линейной теории устойчивости в локально-однородном приближении. В результате, для наиболее усиливающихся волн рассчитывались распределения инкрементов роста s(x) и коэффициенты интегрального усиления (N-факторы). Отметим, что интегрирование в данном случае производилось вдоль групповой скорости возмущений, направленной практически вдоль оси x.
Далее при анализе в рамках метода прямого численного моделирования установившееся стационарное поле течения использовалось в качестве начального при включении генератора возмущения. Затем производился нестационарный расчет вплоть до установления волнового поезда в пограничном слое до выходной границы (в случае стационарного генератора возмущений в процессе расчета получается стационарное решение).
3. Расчет усиления вихрей неустойчивости поперечного течения при помощи линейной теории устойчивости
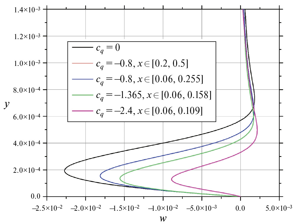
Отсос газа приводит к искажению профилей среднего течения. В качестве примера на рис. 3 представлены поля поперечной скорости w в пристенной области в сечении x = 0.1 для различных интенсивностей отсоса. Видно, что отсос пограничного слоя приводит к значительному ослабеванию поперечной компоненты скорости, что локально приводит к ослаблению нарастания неустойчивостей поперечного течения.
Рис. 3. Влияние отсоса на профили поперечной компоненты скорости (CF) внутри пограничного слоя в сечении x = 0.1.
Вторым важным фактором является релаксация профилей среднего течения после перехода в область без отсоса – ниже будет показано, что в этой области может сохраняться значительный эффект стабилизации пограничного слоя.
Производились расчеты ламинарного обтекания пластины с участком отсоса пограничного слоя интенсивностью Область отсоса варьируется для рассмотренных случаев: распределение массового расхода газа через стенку представлено на рис. 4.
Рис. 4. Распределение массового расхода газа через стенку для различных положений области отсоса.
Важно отметить, что для всех расчетных случаев площадь под графиком кривых остается постоянной, т.е. интегральный массовый расход газа через стенку постоянен. При этом даже в расчете с наименее протяженной областью отсоса газа выполнялось условие
что свидетельствует о справедливости применения локального подхода для анализа устойчивости в области воздействия во всех представленных выше случаях. Это позволяет сравнивать эффективность подавления CF-неустойчивостей для различных положений отсоса.
Для каждого рассмотренного случая рассчитывались инкременты стационарных вихрей неустойчивости поперечного течения во всей области течения вниз по потоку от точки потери устойчивости (рис. 5). На рис. 6 показано влияние отсоса газа на расчетные N-факторы.
Рис. 5. Распределение инкрементов роста для стационарных вихрей неустойчивости поперечного течения согласно линейной теории устойчивости для всех рассмотренных конфигураций отсоса.
Рис. 6. Распределение N-факторов роста стационарных вихрей неустойчивости поперечного течения согласно линейной теории устойчивости.
Расчет кривых усиления N-факторов для всех случаев проводится от точки x = xs, что соответствует расчету усиления неустойчивых мод от положения генератора возмущения при прямом численном моделировании. Рассматриваются возмущения с фиксированной длиной волны вдоль размаха крыла l = 0.004 (соответствует длине волны возмущений при прямом численном моделировании l = lz).
Оказалось, что для всех рассмотренных случаев инкременты CF-неустойчивостей подавляются сразу после попадания в область с отсосом. При этом для высоких интенсивностей отсоса можно добиться затухания возмущений в области, где без отсоса наблюдается существенный рост. Кроме того, важным эффектом является поведение кривых усиления в области релаксации пограничного слоя: инкременты роста восстанавливают свои значения на значительном протяжении вдоль хорды крыла. В связи с этим с точки зрения подавления роста возмущений оказывается выгодно смещать область отсоса как можно выше по потоку: во-первых, подавляется рост возмущений в области где инкремент достигает максимальных значений, во-вторых, наблюдается значительный эффект стабилизации в максимально протяженной области релаксации. Этот вывод согласуется с расчетами, полученными в работе [3], и экспериментальными данными [4] для двумерных конфигураций течения.
4. влияние отсоса на амплитуды возмущений при прямом численном моделировании
При прямом численном моделировании развития стационарных вихрей неустойчивости поперечного течения в пограничном слое производился анализ амплитуд возмущений в пограничном слое. Для каждой из рассмотренных конфигураций отсоса в заданном сечении по продольной координате x проводилось разложение сигнала – возмущения давления на стенке (y = 0) – по волновому числу (генератор стационарен по времени и преобразование Фурье по времени не требуется – на линейном режиме генерируются только стационарные моды):
(4.1)
Для сопоставления результатов с расчетами по линейной теории устойчивости выбиралось волновое число b = 1560 (l = 2p/b = 0.004), что соответствует максимально усиливающейся волне в сечении x = 0.5 в расчете по линейной теории устойчивости (случай без отсоса).
В ПЧМ-расчете максимуму спектра p(b) в сечении x = 0.5 соответствует близкое значение β = 1620. Проводя разложение (4.1) в каждом сечении по x, в результате получаем кривую усиления данной спектральной компоненты для всех рассмотренных конфигураций отсоса (рис. 7).
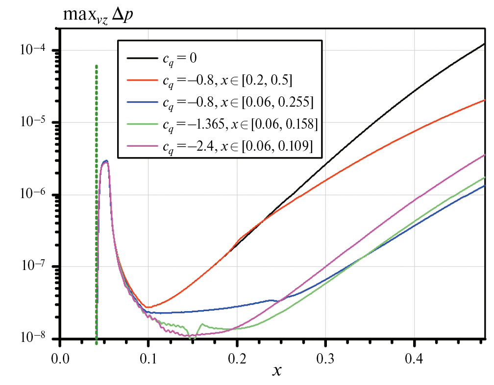
Рис. 7. Распределение максимума возмущения давления на стенке для стационарных вихрей неустойчивости поперечного течения при прямом численном моделировании.
Видно, что при сдвигании области отсоса вверх по потоку происходит уменьшение интегрального усиления возмущений. Увеличение интенсивности отсоса с уменьшением области отсоса начиная с некоторого значения снова приводит к росту интегрального усиления. Данный результат качественно согласуется с расчетами по линейной теории устойчивости. Как и при рассмотрении в рамках линейной теории устойчивости оптимальное расположение области отсоса таково: начало отсоса вблизи точки потери устойчивости (и положения генератора) xs = 0.06, протяженность области отсоса
На рис. 8 представлены данные по эффективности отсоса: разница расчетного числа N-фактора в сечении x = 0.5 для рассматриваемого случая с отсосом (N suct) и без него (N 0): . Расчет проводится для всех случаев с положением начала области отсоса в точке xs = 0.06.
Рис. 8. Уменьшение N-фактора в зависимости от ширины области отсоса для eN-расчета и для амплитуды возмущения давления на стенке при прямом численном моделировании.
Видно, что максимальная эффективность отсоса пограничного слоя как для расчетов по eN-методу, так и для стационарного вихря неустойчивости поперечного течения при прямом численном моделировании реализуется при ширине области отсоса d = 0.1. Видно и то, что для волнового пакета при ПЧМ-расчете эффективность зоны отсоса оказывается выше, чем для расчета с помощью линейной теории устойчивости. Это связано с двумя факторами.
Во-первых, расчеты в рамках eN-метода производятся в локально-однородном приближении пограничного слоя, т.е. без учета эффектов непараллельности основного течения. Известно, что в этом случае результаты расчетов дают несколько меньшие инкременты роста [12].
Во-вторых, при прямом численном моделировании N-факторы вычисляются от начального положения генератора, при этом в начальном сечении x = 0.6 предполагается равенство начальных амплитуд возмущения давления на стенке для всех расчетных случаев: N = ln(Px = 0.5 /Px = 0.06). При этом амплитудная функция моды дискретного спектра не выделялась из Фурье-разложения (1), т.е. не производилось разложение волнового пакета по биортогональной системе мод, что для возмущения в области близкой к зоне генерации является трудоемкой задачей. Тем не менее данные расчеты показывают, что быстрые расчеты с помощью линейной теории устойчивости позволяют правильно оценивать влияние положения области отсоса на эффективность подавления роста неустойчивостей поперечного течения.
Заключение
Выполнены расчеты усиления стационарных неустойчивостей поперечного течения в пограничном слое над стреловидным крылом с участком отсоса газа по нормали к стенке. Рассмотрены различные положения области отсоса, при этом интегральный массовый расход газа через стенку оставался постоянным. Расчет усиления неустойчивых мод выполнялся с помощью линейной теории устойчивости (eN-метод в локально-однородном приближении) и прямого численного моделирования развития возмущений.
Оказалось, что для подавления роста CF-неустойчивостей наиболее выгодным положением начала отсоса является положение вблизи точки потери устойчивости для наиболее усиливающихся возмущений. Кроме того, при фиксации положения начала отсоса в точке потери устойчивости существует оптимальная протяженность области отсоса, при которой достигается максимальное подавление роста стационарных вихрей неустойчивости поперечного течения.
Расчеты показали, что для выбранной интегральной интенсивности отсоса протяженность данной области составляет примерно 10% от хорды крыла.
Финансирование
Исследования выполнены при финансовой поддержке Российского научного фонда (проект 19-19-00470).
Об авторах
А. В. Новиков
Центральный аэрогидродинамический институт им. проф. Н. Е. Жуковского; Московский физико-технический институт (национальный исследовательский университет)
Email: obraz.ao@mipt.ru
Россия, Жуковский; Долгопрудный
А. О. Образ
Центральный аэрогидродинамический институт им. проф. Н. Е. Жуковского; Московский физико-технический институт (национальный исследовательский университет)
Email: obraz.ao@mipt.ru
Россия, Жуковский; Долгопрудный
Д. А. Тимохин
Московский физико-технический институт (национальный исследовательский университет)
Автор, ответственный за переписку.
Email: obraz.ao@mipt.ru
Россия, Долгопрудный
Список литературы
- Устинов М.В. Управление ламинарно-турбулентным переходом на стреловидном крыле с помощью микрорельефа поверхности // Изв. РАН МЖГ. 2018. № 6. С. 43–54.
- Joslin R.D. Overview of Laminar Flow Control // NASA Tech. Pap. NASA/TP-1998-208705, 1998.
- Balakumar P., Hall P. Optimum Suction Distribution for Transition Control // Theor. Comput. Fluid Dyn. 1999. V. 13. P. 1–19. https://doi.org/10.1007/s001620050109
- Reynolds G.A., Saric W.S. Experiments on the Stability of the Flat-Plate Boundary Layer with Suction // AIAA J. 1986. V. 24. P. 202–207. https://doi.org/10.2514/3.9246
- Smith B.A. F-16XL flights could aid in HSCT design // Aviat. Week and Space Technol. Oct. 23, 1995. P. 42–44.
- Schülein E. Experimental Investigation of Laminar Flow Control on a Supersonic Swept Wing by Suction // 4th Flow Control Conference, 23–26 June 2008, Seattle, Washington. AIAA 2008–4208. https://doi.org/10.2514/6.2008-4208
- Hein S., Schülein E., Hanifi A., Sousa J., Arnal D. Laminar Flow Control by Suction at Mach 2. // CEAS/KATnet II Conference on Key Aerodynamic Technologies, 2009.
- Balakumar P. Control of Supersonic Boundary Layers Using Steady Suction // 36th AIAA Fluid Dynamics Conference and Exhibit. 2006. Conference Paper 20060022120.
- Новиков А.В., Образ А.О., Тимохин Д.А. Влияние отсоса пограничного слоя на неустойчивость поперечного течения на сверхзвуковом скользящем крыле // Уч. зап. ЦАГИ. 2023. Т. LIV. № 2. C. 16–23.
- Егоров И.В., Новиков А.В., Фёдоров А.В. Прямое численное моделирование ламинарно-турбулентного перехода при гиперзвуковых скоростях потока на супер-ЭВМ // ЖВМиМФ. 2017. Т. 57. № 8. С. 1347–1373. https://doi.org/10.7868/S0044466917080063
- Obraz A.O., Fedorov A.V. The high-speed flow stability (HSFS) software package for stability analysis of compressible boundary layers // TsAGI Sci. J. 2017. V. 48. P. 223–242. https://doi.org/10.1615/TsAGISciJ.2017022797
- Padhye A.R., Nayfeh A.H. Nonparallel stability of three-dimensional flows // AIAA Pap. 1981. Р. 81–1281.
Дополнительные файлы










