Anomalous intensification of vortex heat transfer in the case of separated air flow over an inclined groove in a hot isothermal region of a flat plate
- Authors: Isaev S.А.1,2, Sapozhnikov S.Z.3, Nikushchenko D.V.1, Mityakov V.Y.3, Seroshtanov V.V.3, Dubko Е.B.2
-
Affiliations:
- St. Petersburg State Marine Technical University
- St. Petersburg State University of Civil Aviation
- Peter the Great St. Petersburg Polytechnic University
- Issue: No 1 (2024)
- Pages: 52-62
- Section: Articles
- URL: https://ogarev-online.ru/1024-7084/article/view/262488
- DOI: https://doi.org/10.31857/S1024708424010023
- EDN: https://elibrary.ru/secfmf
- ID: 262488
Cite item
Full Text
Abstract
Anomalous heat transfer intensification in turbulent separated air flow over a long groove of moderate depth made in a plate inclined at an angle of 45° to the freestream is revealed both experimentally and numerically. The region under investigation includes a rectangle heated to 100°C by saturated water vapor. The Reynolds number varied from 103 to 3×104. Using the gradient heatmetry the twofold increase, as compared with the case of a flat plate, of the heat transfer coefficient on the groove bottom is established at the Reynolds number Re = 3×104. The relative Nusselt number in different regions of the groove is determined both in the physical experiment and in the RANS calculations with the application of multiblock computational technologies and the SST model in the VP2/3 software package. The results are in good agreement in the turbulent flow regime at Re = (5, 10, and 30) ×103.
Full Text
ВВЕДЕНИЕ
Явление аномальной интенсификации отрывного течения и теплообмена в наклонных овально-траншейных лунках-канавках, выполненных на стенках структурированных каналов и пластин открыто численно (см. [1–3] и др.) при решении осредненных по Рейнольдсу уравнений Навье–Стокса (RANS), замкнутых с помощью модели переноса сдвиговых напряжений (SST). На участке стабилизированного турбулентного течения воздуха в канале установлено снижение минимального отрицательного трения (в 4–6 раз) и повышение коэффициента теплоотдачи (в 7–9 раз) в срединном продольном сечении наклонной канавки. Все канавки находились в плотном пакете на нагретой стенке.
Базой сравнения служили параметры, рассчитанные для гладкой стенки плоскопараллельного канала. Физический механизм аномальной интенсификации обусловлен экстраординарными перепадами давления и взаимосвязанными ультравысокими скоростями возвратного и вторичного течения, сопоставимыми и превосходящими среднемассовую скорость потока в канале. Причиной перепадов давления является торможение входящего в канавку внешнего потока и самоорганизация высокоинтенсивного торнадоподобного вихря в канавке.
Вначале открытое явление не связывалось с обтеканием единичных наклонных канавок, хотя теплообмен в узком канале с единичной наклонной овально-траншейной лункой численно исследован довольно подробно (например, в работе [4]). Однако в публикации [5] установлена взаимосвязь аномальной интенсификации отрывного течения и экстраординарных перепадов давления в канавке на пластине при изменении угла наклона от 0 до 90°. Это подтверждает действие описанного механизма для единичных наклонных канавок.
Экспериментальное обоснование нового явления получено только для аэродинамических характеристик [5–7]. Измерены экстраординарные перепады статического давления в наклонных канавках, инициирующие ультравысокие скорости возвратного и вторичного течения. Абсолютные величины скоростей сравнимы, а подчас и превосходят среднемассовую скорость течения в канале, а минимальные величины трения многократно превосходят трение на стенке гладкого канала. Открытое явление объясняет установленное численно и подтвержденное экспериментально локальное ускорение потока над входом в наклонную лунку в одно- и двухрядном пакете при скорости, до полутора раз превосходящей максимальную скорость в плоскопараллельном канале.
Однако до сих пор не было подтверждено многократное увеличение коэффициента теплоотдачи на дне наклонной канавки по сравнению с коэффициентом теплоотдачи на гладкой стенке. В данной статье этот эффект экспериментально подтверждён на основе градиентной термометрии [8]. Выполнено и численное моделирование отрывного течения и теплообмена для цифрового аналога теплофизического стенда.
ТЕПЛОФИЗИЧЕСКИЙ СТЕНД. ГРАДИЕНТНЫЕ ДАТЧИКИ ТЕПЛОВОГО ПОТОКА
Эксперимент проводили в аэродинамической трубе научно-образовательного центра “Теплофизика в энергетике” СПбПУ Петра Великого [9], поток воздуха в которой создается центробежным вентилятором с частотным регулированием. Хонейкомб, установленный перед соплом, выравнивает поле скорости и обеспечивает степень турбулентности набегающего потока Tu < 1% во всем диапазоне скоростей. Диаметр выходного сопла составляет 0.45 м, длина рабочей зоны — 0.8 м.
Ключевая особенность трубы НОЦ “Теплофизика в энергетике” — наличие теплообменника, расположенного в поворотном колене за вентилятором. Теплообменник подключен к системе холодного водоснабжения и обеспечивает практически постоянную температуру набегающего потока воздуха (∆T = 0.2 К).
В рабочей зоне трубы размещалась модель — пластина с канавкой шириной D = 0.04 м, относительной глубиной h/D = 0.25 и удлинением цилиндрической части 5 (рис. 1а). В качестве характерного размера при определении числа Рейнольдса Re = UD/ν и как нормирующая величина для линейных размеров выбрана ширина канавки D. Здесь U — скорость набегающего потока, выбранная в качестве масштаба статического давления и трения, ν — кинематическая вязкость воздуха. Угол наклона продольной оси канавки к вектору скорости набегающего потока составил 45°.
Рис. 1. Фото теплофизического стенда (а) и схема экспериментальной установки с нанесенными размерами, мм.
Канавка выполнена из медного листа толщиной 2×10-4 м, который впаян в круглую пластину диаметром 0.3 м, выполненную из стального листа толщиной 4×10-4 м (см. рис. 1б). Круглая пластина с канавкой припаяна к прямоугольной коробке с размерами в плане 0.475×0.415 м, обогреваемой насыщенным водяным паром при атмосферном давлении. Таким образом, температура на поверхности теплообмена поддерживалась постоянной и близкой к 100 °С. Обогреваемая коробка с канавкой помещалась на прямоугольную теплоизолированную пластину размерами 0.71×0.6 м. Такая конструкция позволила стабилизировать гидродинамический и тепловой пограничный слой перед канавкой.
Измерения плотности теплового потока проводились с помощью градиентных датчиков теплового потока (ГДТП) [8]. Действие ГДТП основано на поперечном эффекте Зеебека: при прохождении теплового потока через пластину с анизотропией тепло- и электрофизических свойств в ней возникает термоЭДС, нормальная вектору плотности теплового потока и пропорциональная его модулю [10].
В работе использовали батарейные ГДТП на основе монокристаллического висмута чистоты 0.9999. Размеры датчиков составили (2.5×2.5×0.2)×10–3 м, а их вольт-ваттная чувствительность – 5 мВ/Вт. Сигналы ГДТП регистрировали и архивировали с помощью аналого-цифрового преобразователя NI 9216 фирмы National Instruments. ГДТП установлены с постоянным шагом в срединном сечении канавки и в характерном сечении перехода от входного сферического сегмента к цилиндрической траншее. Опыты проводились для чисел Рейнольдса Re, равных 103, 5×103, 104 и 3×104.
Для расчета коэффициента теплоотдачи необходимо знать температуру воздушного потока и поверхности теплообмена. Температура набегающего потока измерялась на выходе из сопла аэродинамической трубы с помощью многофункционального устройства testo-450i, а температура на поверхности теплообмена — с помощью тепловизора testo 875.
Оценка неопределенности измерений, выполненная по ГОСТ 34100.1-2017/ISO/IEC Guide98-1:2009 “Неопределенность измерения” [11] показала, что суммарная стандартная относительная неопределенность измерений местного коэффициента теплоотдачи не превышает 10%.
ЧИСЛЕННОЕ МОДЕЛИРОВАНИЕ. МЕТОДОЛОГИЯ РАСЧЕТА
Рассматривается конвективный теплообмен при стационарном обтекании воздухом единичной канавки под углом наклона 45о на нагретой пластине – цифровом аналоге теплофизического стенда (рис. 2а). В качестве характерных параметров выбраны ширина канавки D и скорость набегающего потока U. Ламинарное течение воздуха рассматривается при Re = 1000 и 5000, а турбулентное при Re = 5000, 10 000 и 30 000.
Рис. 2. Расчетный аналог экспериментальной теплоизолированной пластины с нагреваемым изотермическим участком с Т = 373 K, в центре которого располагается наклонная канавка (а), и многоблочная расчетная сетка из четырех фрагментов: 1 — внешняя декартовая сетка высотой 8.8; 2 — прилегающая к нагретому участку пристеночная сетка высотой 0.7; 3 — криволинейная согласованная с поверхностью канавки эллиптическая сетка О-типа; 4 — «заплатка» на центральную зону канавки (б).
Форма канавки описана ранее. Степень турбулентности задается близкой к экспериментальной (1%), а масштаб турбулентности имеет порядок характерного размера. Относительный радиус скругления кромки равен 0.025. Число Прандтля Pr принимается равным 0.71.
Численное решение стационарных уравнений Навье–Стокса (NS) в случае ламинарного течения и осредненных по Рейнольдсу уравнений Навье–Стокса (RANS) при расчете турбулентного обтекания пластины, а также уравнения энергии основывается на концепции расщепления по физическим процессам [12] с применением процедуры коррекции давления SIMPLEC [13] и многоблочных структурированных сеток с их частичным перекрытием. В случае турбулентного течения уравнения движения замыкаются с помощью полуэмпирической модели переноса сдвиговых напряжений (SST), предложенной Ментером [14].
Обобщенное уравнение переноса записывается в приращениях зависимых переменных, аналогично [12]. В явной части уравнения для дискретизации конвективных членов уравнений применяются схемы второго порядка аппроксимации (противопоточная схема с квадратичной интерполяцией Леонарда [15] для уравнений количества движения и схема TVD [16] для уравнений характеристик турбулентности).
Для представления диффузионных членов используется центрально-разностная схема. В неявной части обобщенного уравнения применяется противопоточная схема с односторонними разностями. Центрированные сетки с зависимыми переменными в центрах расчетных ячеек требуют монотонизации поля давления за счет введения коррекции Рхи–Чоу [17, 18]. Для решения алгебраических уравнений используется предобусловленный метод BiCGSTAB [19] с алгебраическим многосеточным ускорителем из библиотеки Демидова (amgcl) [20] для поправки давления и ILU0 для остальных переменных.
Оригинальный пакет теплофизического профиля VP2/3 (Velocity-Pressure, 2D/3D) основывается на многоблочных вычислительных технологиях (МВТ), описанных в работе [12]. Совокупность разномасштабных, ярусных и пересекающихся структурированных сеток, согласованных со структурными элементами соответствующих масштабов физической задачи, является базисом МВТ. В двух рядах приграничных ячеек каждой из пересекающихся или накладываемых сеток параметры находятся с помощью линейной интерполяции [12].
В качестве компьютерного аналога пластины рассматривается прямоугольный участок плоской стенки длиной 19.625 и шириной 15.675. Центр канавки располагается на расстоянии 12.688 от входного сечения, в котором формируется равномерный поток. Расчетная область строится на прямоугольном участке пластины и имеет вертикальный размер 8.8. Область пристенного потока отображается на внешней декартовой сетке MG, сгущающейся к стенке (см. рис. 2б). Внутри области выделяется прилегающая к стенке прямоугольная зона в окрестности наклонной канавки протяженностью 11.875, шириной 10.375 и высотой 0.7. Температура выделенной зоны стенки фиксируется и равняется 373 К, как в эксперименте. Остальная поверхность пластины принимается теплоизолированной.
В выделенной прямоугольной зоне строится косоугольная сетка MR. В окрестности канавки для базового варианта сетки А ячейки сеток MG и MR задаются квадратными с шагом 0.07 и 0.05 в продольном и поперечном направлениях. В направлении входной, выходной и боковых границ размеры ячеек сетки MG увеличиваются. Криволинейные эллиптические сетки Ring и Rec вводятся для отображения пространственного течения внутри канавки. Ring является сеткой О-типа, а Rec выступает в качестве заплатки в центральной зоне. Таким образом, расчет течения и теплообмена в расчетной области производится на многоблочной сетке из четырех фрагментарных разномасштабных сеток с частичным пересечением. Размер пристеночного шага сеток равен 10–5.
Для анализа сеточной сходимости сравниваются численные прогнозы интегральных характеристик течения и теплообмена на сетках с различным количеством расчетных ячеек. Базовая сетка А содержит 8.8 млн ячеек, сетка B — 6.25 млн ячеек, сетка C — 4.18 млн ячеек, сетка D — 3 млн ячеек.
Центр декартовой системы координат x, y, z находится в срединном сечении канала на расстоянии 6.25 от входа. На боковых и верхней границах расчетной области ставятся условия скольжения. В выходном сечении задаются мягкие граничные условия — условия продолжения решения на границу, а на омываемой поверхности пластины ставятся условия прилипания. Внутри канавки вводится связанная система координат s, y, t, ориентированных в срединном продольном сечении, вертикальном направлении и в поперечном характерном сечении перехода от входного сферического сегмента к цилиндрической траншее.
Верхняя граница — изотермическая, с температурой Tref, принятой в качестве масштаба (293 К). На входе температура Т задается постоянной и равной Tref, а на выходе из расчетной области для температуры ставятся мягкие граничные условия. Безразмерная температура на изотермическом участке стенки принимается равной 1.273.
Процесс решения задачи итерационный. На каждом шаге решается уравнение поправки давления и рассчитываются поля декартовых составляющих скорости, давления, а также характеристик турбулентности. Вычислительный процесс заканчивается при достижении максимальных погрешностей зависимых переменных уровня 10-5 и при выходе на стабилизацию экстремальных локальных и интегральных параметров, включая силу сопротивления и средний коэффициент теплоотдачи на участке с канавкой.
Анализируются экстремальные локальные и интегральные характеристики течения и теплообмена на пластине с канавкой. В их число входят продольные и поперечные распределения перепада статического давления P–Ppl, относительного безразмерного коэффициента теплоотдачи Nu/Nupl, относительного трения f/fpl в характерных сечениях омываемой пластины с канавкой, осредненные по поперечным полосам относительные числа Нуссельта Num/Numpl для контрольного участка и прямоугольного контура, окружающего канавку. Индекс pl относится к параметрам на гладкой пластине. Сравниваются также экстремальные характеристики течения Pmin, Pmax, Umin, Umax, Vmin, Vmax, Wmin, Wmax, турбулентности Kmax, µtmax, тепловой эффективности Numm/Nummpl, а также относительных коэффициентов лобового сопротивления Cx/Cxpl. Профили продольной составляющей скорости в связанной системе координат Q = Ucos45о + Wsin45о рассчитываются в центре характерного сечения канавки.
АНАЛИЗ ПОЛУЧЕННЫХ РЕЗУЛЬТАТОВ
На рис. 3–6 и в табл. 1, 2 представлены некоторые из полученных результатов.
В таблице 1 сравниваются численные прогнозы тепловой эффективности Numm/Nummpl и относительных коэффициентов лобового сопротивления Cx/Cxpl для контрольного участка с наклонной канавкой размерами 7×7 и участка, ограничивающего контур канавки, с размером 6×1, на многоблочных сетках одной топологии и различной насыщенностью расчетными ячейками N при Re = 104. Продемонстрирована сеточная сходимость результатов, причем интегральные показатели мало изменяются в пределах варьирования количеством ячеек от 3 до 9 млн.
Таблица 1. Прогнозы тепловой эффективности и коэффициентов лобового сопротивления
N, млн | Numm | 102Cx | Nummd | 102Cxd |
8.8 | 28.32 | 0.6978 | 27.64 | 1.596 |
6.25 | 28.35 | 0.6980 | 27.71 | 1.597 |
4.18 | 28.34 | 0.6985 | 27.74 | 1.603 |
3 | 28.36 | 0.6961 | 27.81 | 1.606 |
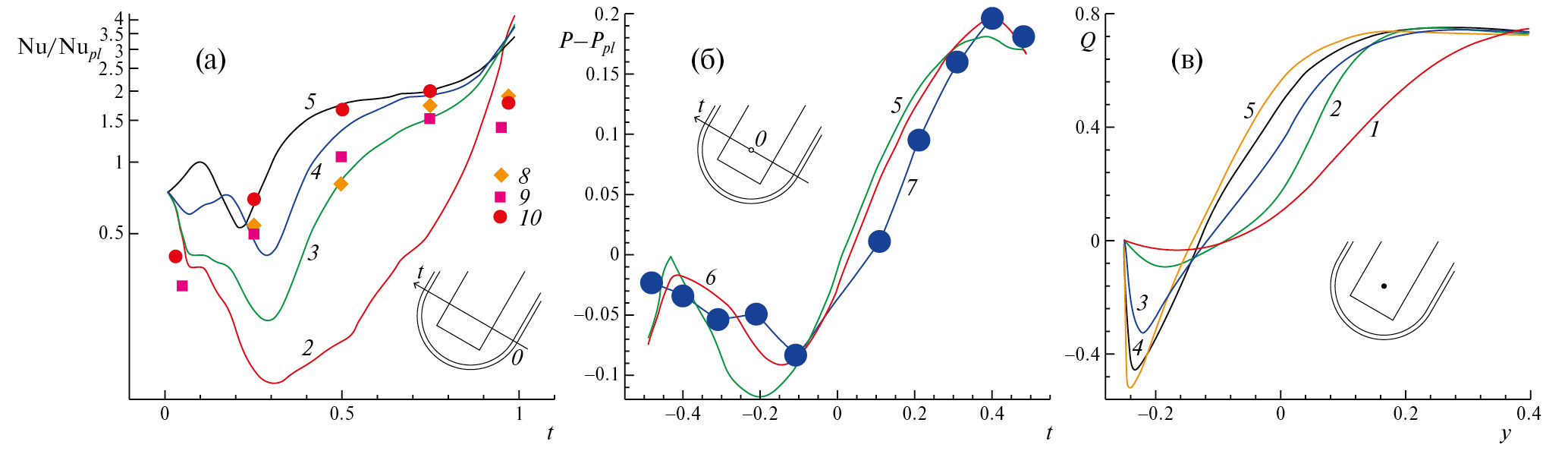
Наибольший интерес представляет сравнение измеренных и рассчитанных зависимостей относительных чисел Нуссельта Nu/Nupl(t) в характерном поперечном сечении перехода от входного сферического сегмента к цилиндрической траншее при числах Рейнольдса в диапазоне (5–30)×103 (см. рис. 3а). Достижение близкого к двукратному росту относительного коэффициента теплоотдачи на дне канавки при Re = 3×104 является центральным результатом экспериментального исследования.
Рис. 3. Сравнительный анализ рассчитанных (1–6) и измеренных (7–10) относительных чисел Нуссельта Nu/Nupl(а) и перепадов статического давления P–Ppl (б) в характерном сечении перехода от входного сферического сегмента к цилиндрической траншее, а также профилей продольной составляющей скорости Q(у) в связанной системе координат (s, у, t) в центральной точке характерного сечения (в) при различных числах Рейнольдса. 1 — Re = 103; 2 – 5×103 (1, 2 — ламинарный режим); 3, 8 – 5×103; 4, 9 – 104; 5, 1 – 3×104; 6, 7 — 6.7×104 [5] (3–10 турбулентный режим).
Подтверждена аномальная интенсификация теплообмена, ранее открытая методами численного моделирования. С ростом числа Рейнольдса Re отмечается рост относительного коэффициента теплоотдачи. Так, при Re = 104 в срединном сечении уровень этого коэффициента заметно ниже, чем при 3×104, а при Re = 5×103 вообще Nu/Nupl < 1. На подветренном склоне наблюдается ослабление теплообмена, а на наветренном — его интенсификация. Численные прогнозы на основе RANS-подхода удовлетворительно согласуются с данными измерений тепловых потоков, что делает градиентную теплометрию применимой для решения задач сложного вихревого теплообмена.
Интересно отметить, что интенсификация ламинарного теплообмена внутри канавки оказывается намного слабее, чем при турбулентном режиме обтекания, хотя при Re = 5×103 в узкой окрестности наветренной кромки относительный коэффициент теплоотдачи превышает 4.0.
Аномальная интенсификация течения и теплообмена в наклонной канавке на пластине при высоком числе Рейнольдса (~67 000) обусловлена экстраординарными перепадами давления [5]. Они возникают между областью торможения входящего в канавку потока и зоной отрицательного избыточного давления в самоорганизующемся торнадоподобном вихре на поверхности сферического сегмента. На рис. 3б сравниваются результаты расчетов перепада давления в характерном сечении канавки при Re = 3×104 с численными прогнозами и замерами статического давления в такой же канавке при близких условиях обтекания (Re = 6.7×104 и толщина турбулентного пограничного слоя 0.17). Согласие представленных данных указывает на их достоверность, сочетание интенсификации тепловых и гидродинамических процессов.
Анализ профилей продольной составляющей скорости Q(у) в связанной системе координат (см. рис. 3в), построенных в центре характерного поперечного сечения канавки при числах Рейнольдса от 103 до 3×104, показывает их хорошее согласие с аналогичными профилями в канавке при варьировании углом наклона от 0 до 90о при Re = 6.7×104 [5]. Слабое отрывное течение при ламинарных числах Re с неразвитыми профилями скорости скачкообразно трансформируется в сложное турбулентное течение, профиль которого сочетает пристеночный профиль усиливающегося возвратного потока со струйным профилем развивающегося закрученного течения возрастающей интенсивности. Точка нулевой скорости Q(y) с ростом Re приближается к стенке, а минимальная скорость возвратного тока приближается к –0.5.
В таблицу 2 сведены данные об экстремальных аэродинамических характеристиках: статическом давлении Pmin, Pmax, продольной Umin, Umax, вертикальной Vmin, Vmax, трансверсальной Wmin, Wmax декартовым составляющим скорости, а также энергии турбулентности Kmax и вихревой вязкости µtmax для различных чисел Рейнольдса при ламинарном (отмечен знаком *) и турбулентном режимах.
Таблица 2. Данные об экстремальных аэродинамических характеристиках
Re | 103* | 5×103* | 5×103 | 104 | 3×104 |
Pmin | –0.08442 | –0.07721 | –0.1474 | –0.1630 | –0.2210 |
Pmax | 0.2225 | 0.09863 | 0.1152 | 0.1430 | 0.1905 |
Umin | –0.03868 | –0.1044 | –0.2554 | –0.3417 | –0.3951 |
Umax | 1.112 | 1.072 | 1.071 | 1.057 | 1.065 |
Vmin | –0.04809 | –0.1276 | –0.1429 | –0.1851 | –0.2528 |
Vmax | 0.1117 | 0.09661 | 0.2172 | 0.3056 | 0.3486 |
Wmin | –0.02980 | –0.09794 | –0.1492 | –0.2113 | –0.2418 |
Wmax | 0.1395 | 0.3114 | 0.4972 | 0.6067 | 0.7259 |
Kmax | 0.00015 | 0.00015 | 0.02369 | 0.02724 | 0.02594 |
µtmax | 0.000025 | 0.000025 | 0.002446 | 0.002699 | 0.002775 |
Анализ экстремальных характеристик отрывного течения показывает растущую с увеличением Re интенсификацию возвратного, вторичного течения, восходящих и нисходящих потоков. Максимальная скорость вторичного закрученного потока при Re = 3×104 приближается к скорости набегающего потока. Интересна и стабилизация максимальной энергии турбулентности при высоких числах Рейнольдса.
Аномальная интенсификация отрывного течения в наклонной канавке, как отмечалось ранее при рассмотрении профилей составляющей скорости в связанной системе координат, наблюдается при турбулентном течении. Это подтверждается рис. 4, где представлены распределения относительного трения f/fpl и перепады статического давления P–Ppl в срединном продольном сечении канавки и в ее характерном поперечном сечении в месте перехода от сферического сегмента к цилиндрической траншее. Установлен диапазон чисел Рейнольдса – от 5×103 до 3×104, в котором минимум относительного трения на дне канавки в поперечном характерном сечении приближается к –2 (рис. 4а, 4б). При этом на наветренном склоне и в конце канавки отмечено возрастание относительного трения до ~4.
Рис. 4. Сравнение рассчитанных распределений относительного трения f/fpl (а, б) и перепада статического давления P–Ppl (в, г) в продольном срединном сечении канавки (а, в) и характерном сечении перехода от входного сферического сегмента к цилиндрической траншее (б, г) при различных числах Рейнольдса. 1 — Re = 103; 2 – 5×103 (1, 2 — ламинарный режим); 3 — 5×103; 4 — 104; 5 — 3×104 (3–5 — турбулентный режим).
Аномально высокие экстраординарные перепады статического давления формируются при турбулентном обтекании наклонной канавки (см. рис. 4в, 4г). С ростом Re отрицательное давление на входе в канавку значительно снижается. В то же время положительное давление на выходе, в конце канавки возрастает, достигая 0.05 при Re = 3×104. Наиболее показательные перепады давления возникают в характерном поперечном сечении канавки в месте перехода от сферического сегмента к траншее. С ростом Re в турбулентном режиме они возрастают от 0.13 до 0.29.
Линейные распределения проинтегрированных по поперечным полосам относительных чисел Нуссельта определяют неоднородность тепловой эффективности структурированной поверхности (рис. 5).
Рис. 5. Сравнение рассчитанных распределений осредненных по поперечным полосам относительных чисел Нуссельта Num/Numpl (а–г) вдоль (а, в) и поперек (б, г) контрольного участка с наклонной канавкой (а, б) и участка, ограниченного контуром канавки (в, г), при различных числах Рейнольдса, а также поле Nu/Nupl с нанесенной картиной растекания воздуха в окрестности канавки при Re = 3×104 (д). 1 — Re = 103; 2 – 5×103 (1, 2 – ламинарный режим); 3 — 5×103; 4 — 104; 5 — 3×104 (3–5 – турбулентный режим).
В статье рассматривается контрольный квадратный участок длиной 7 с центром, совпадающим с центром канавки, и прямоугольный участок, ограничивающий контур канавки и определяющий теплоотдачу от ее внутренней поверхности. Осреднения по поперечной декартовой координате z и координате t в связанной системе демонстрируют зависимости Num/Numpl от продольных координат x контрольного участка и s в срединном сечении канавки позволяют определить наиболее теплонапряженные поперечные полосы в окрестности канавки и на ее внутренней поверхности.
При ламинарном течении (Re = 103) интенсификация теплообмена в окрестности канавки незначительна, причем в полосе входа в канавку наблюдается снижение относительного коэффициента теплоотдачи (на 10% при Re = 103 и на 14% при Re = 5×103). Внутри канавки вблизи входа в нее осредненная по ширине канавки плотность теплового потока снижается на 60% по сравнению с плотностью на гладкой стенке (s отсчитывается от конца канавки). За провалом относительного коэффициента теплоотдачи на входе в канавку на поперечной полосе контрольного участка — и, что примечательно, внутри канавки для ламинарного (при Re = 5×103) и турбулентного (Re свыше 5×103) режимов течения — установлено увеличение относительного коэффициента теплоотдачи примерно на 20% для контрольного участка и на 20–75% для внутренней поверхности канавки. За центром канавки относительный коэффициент теплоотдачи снижается, однако в окрестности задней кромки виден его пик. Внутри канавки величина Num/Numpl в задней части уменьшается ниже единицы, причем тем ниже, чем меньше число Рейнольдса. Так, для ламинарного режима при Re = 5×103 Num/Numpl снижается до 0.3, а при турбулентном режиме — до 0.6. Тем не менее на контрольном участке в окрестности канавки Num/Numpl превышает единицу, что свидетельствует о компенсации снижения относительного коэффициента теплоотдачи его повышением в следе за канавкой.
Линейные распределения осредненных по продольным полосам относительных чисел Нуссельта поперек контрольного участка с канавкой (координата z) и прямоугольного контура (координата t), окружающего канавку, лучше всего демонстрируют зоны наиболее интенсивного теплообмена. Достигнутый уровень максимального осредненного коэффициента теплоотдачи Num/Numpl для обоих участков оказался в 1.4–3.6 раза выше, чем на поперечных полосах. Пик относительного коэффициента теплоотдачи на квадратном участке пришелся на входную часть канавки и следовую зону повышенного теплосъема, а по поперечной координате t в канавке пиковые величины Num/Numpl реализуются на наветренном склоне.
В правосторонней окрестности канавки, а также в ее придонной части и на подветренном склоне теплообмен угнетен, и Num/Numpl < 1. Падение коэффициента для окрестности канавки не превышает 15% при всех числах Re, а внутри канавки этот параметр сильно зависит от Re и минимален для ламинарного течения при Re = 5×103, принимая значение 0.2. С ростом Re минимальный относительный коэффициент теплоотдачи повышается и при Re = 3×104 приближается к единице.
Поле относительных чисел Нуссельта с нанесенными линиями тока в пристенном слое (компьютерной визуализации картины растекания воздуха по криволинейной стенке), рассчитанное при Re = 3×104, отражает взаимосвязь структуры вихревого течения и теплообмена вблизи изотермической стенки (см. рис. 5д). В области безотрывного течения на пластине перед наклонной канавкой интенсивность теплообмена почти не отличается от теплообмена на гладкой стенке. Лишь с левой стороны контрольного участка возникает зона слегка (на 1%) повышенного относительного коэффициента теплоотдачи, охватывающая входную часть канавки.
Внутри канавки формируется сложное пространственное течение с линией отрыва набегающего потока, совпадающей с подветренной кромкой. Выраженная линия присоединения располагается вблизи наветренной кромки, причем видна точка растекания входящего в канавку потока на наветренном склоне и узкая зона возвратного придонного течения. Зона наветренной кромки — теплонапряженная, с максимальным уровнем относительного коэффициента теплоотдачи 3.6.
На входе в канавку возникает высокоинтенсивный торнадоподобный вихрь, в ядре которого зона отрицательного давления способствует эжекции возвратного пристенного потока. Вихрь формирует закрученный ускоряющийся поток в канавке, причем перед подветренным склоном он отрывается, и возникает зона ослабленного теплообмена. Она распространяется до конца канавки. Аномально высокий по сравнению с лунками относительный коэффициент теплоотдачи в канавке — около двух – характерен для области интенсивного закрученного потока, покидающего канавку, не доходя до ее конца. Отметим следовую область интенсификации теплообмена, в которой теплосъем падает по мере удаления от наветренной кромки.
С ростом Re интегральный относительный теплосъем с контрольного участка окрестности канавки и с зоны внутри канавки увеличиваются, но различными темпами (рис. 6). Осредненное по площади контрольного участка с канавкой относительное число Нуссельта Numm/Nummpl растет медленно, и к Re = 3×104 достигает 1.09. Осредненное по площади прямоугольного участка, ограничивающего контур канавки, относительное число Нуссельта Nummd/Nummdpl при ламинарном, а также турбулентном режиме течения для Re = 5×103 не превосходит единицы, однако при Re свыше 104 оно возрастает, достигая при 3×104 величины 1.19.
Рис. 6. Зависимости от числа Re тепловой эффективности Numm/Nummpl 1, 2 и относительного лобового сопротивления Cx/Cxpl 3, 4 контрольного участка пластины с канавкой – 1, 3 и участка, ограниченного контуром канавки, — 2, 4.
При этом относительное лобовое сопротивление Cx/Cxpl участка пластины с канавкой и отдельно канавки растет опережающим темпом и достигает значений 1.54 и 4.8, соответственно.
ЗАКЛЮЧЕНИЕ
Сравнение экспериментальных, полученных методом градиентной теплометрии, и рассчитанных с помощью численного моделирования данных о теплообмене в наклонной канавке на нагретом изотермическом участке пластины при обтекании воздухом для различных чисел Рейнольдса показало их близость.
Центральный результат — достижение двукратного превосходства относительного коэффициента теплоотдачи на дне наклонной канавки при Re = 3×104. Наблюдается согласие расчетных прогнозов экстраординарного перепада давления на входе в рассматриваемую канавку с данными измерений на стенде института механики МГУ в близких условиях обтекания пластины. Установлен диапазон чисел Рейнольдса (с 5×103 до 3×104), в котором максимум относительного коэффициента теплоотдачи на дне канавки достигает 1.5–2, что соответствует аномальной интенсификации отрывного течения и теплообмена в единичной канавке. Продемонстрирована приемлемость RANS-подхода для прогнозирования характеристик высокоинтенсивных закрученных потоков и параметров теплообмена.
ФИНАНСИРОВАНИЕ
Исследование выполнено при частичной финансовой поддержке Российского научного фонда по грантам 22-19-00056 (эксперименты) 23-19-00083 (расчеты).
КОНФЛИКТ ИНТЕРЕСОВ
Авторы работы заявляют, что у них нет конфликта интересов.
About the authors
S. А. Isaev
St. Petersburg State Marine Technical University; St. Petersburg State University of Civil Aviation
Author for correspondence.
Email: isaev3612@yandex.ru
Russian Federation, St. Petersburg; St. Petersburg
S. Z. Sapozhnikov
Peter the Great St. Petersburg Polytechnic University
Email: isaev3612@yandex.ru
Russian Federation, St. Petersburg
D. V. Nikushchenko
St. Petersburg State Marine Technical University
Email: isaev3612@yandex.ru
Russian Federation, St. Petersburg
V. Yu. Mityakov
Peter the Great St. Petersburg Polytechnic University
Email: isaev3612@yandex.ru
Russian Federation, St. Petersburg
V. V. Seroshtanov
Peter the Great St. Petersburg Polytechnic University
Email: isaev3612@yandex.ru
Russian Federation, St. Petersburg
Е. B. Dubko
St. Petersburg State University of Civil Aviation
Email: isaev3612@yandex.ru
Russian Federation, St. Petersburg
References
- Isaev S., Gritckevich М., Leontiev А., Popov I. Abnormal enhancement of separated turbulent air flow and heat transfer in inclined single-row oval-trench dimples at the narrow channel wall // Acta Astronautica. 2019. Vol. 163 (part. A). P. 202–207.
- Исаев С.А. Генезис аномальной интенсификации отрывного течения и теплообмена в наклонных канавках на структурированных поверхностях // Изв. РАН. Механика жидкости и газа. 2022. № 5. С. 13–24.
- Исаев С.А. Аэрогидродинамические механизмы интенсификации физико-энергетических процессов на структурированных энергоэффективных поверхностях с вихревыми генераторами // Теплофизика и аэромеханика. 2023. Т. 30. № 1. С. 83–88.
- Isaev S.A., Schelchkov A.V., Leontiev A.I., Gortyshov Yu.F., Baranov P.A., Popov I.A. Tornado-like heat transfer enhancement in the narrow plane-parallel channel with the oval-trench dimple of fixed depth and spot area // Int. J. Heat and Mass Transfer. 2017. V. 109. P. 40–62.
- Исаев С.А., Гувернюк С.В., Никущенко Д.В., Судаков А.Г., Синявин А.А., Дубко Е.Б. Взаимосвязь аномальной интенсификации отрывного течения и экстраординарных перепадов давления в канавке на пластине при изменении угла наклона от 0 до 90° // Письма в ЖТФ. 2023. Т. 49. Вып. 15. С. 39–42.
- Зубин М.А., Зубков А.Ф. Структура отрывного обтекания цилиндрической каверны на стенке плоского канала // Механика жидкости и газа. 2022. № 1. С. 81–89.
- Isaev S., Leontiev A., Gritskevich M., Nikushchenko D., Guvernyuk S., Sudakov A., Chung K.-M., Tryaskin N., Zubin M., Sinyavin A. Development of energy efficient structured plates with zigzag arrangement of multirow inclined oval trench dimples // Int. J. Thermal Sciences. 2023. V. 184. № 107988.
- Sapozhnikov S.Z., Mityakov V.Yu., Mityakov A.V. Heatmetry: The Science and practice of heat flux measurement. Springer International Publishing, 2020. 209 p.
- Seroshtanov V., Gusakov A. Gradient heatmetry and PIV investigation of heat transfer and flow near circular cylinders // Inventions. 2022. № 7(3). Р. 80. https://doi.org/10.3390/inventions7030080.
- Sapozhnikov S.Z., Mityakov V.Y., Mityakov A.V., Gusakov A.A., Zainullina E.R., Grekov M.A., Seroshtanov V.V., Bashkatov A., Babich A.Y., Pavlov A.V. Gradient heatmetry advances // Energies. 2020. № 13. P. 6194. https://doi.org/10.3390/en13236194.
- ISO/IEC Guide 98-1:2009 – Uncertainty of Measurement – Part 1: Introduction to the Expression of Uncertainty in Measurement.
- Isaev S.A., Baranov P.A., Usachov A.E. Multiblock computational technologies in the VP2/3 package on aerothermodynamics. LAP LAMBERT Academic Publishing, Saarbrucken, 2013. 316 p.
- Van Doormaal J.P., Raithby G.D. Enhancement of the SIMPLE method for predicting incompressible fluid flow // Numerical Heat Transfer. 1984. V. 7. P. 147–163.
- Menter F.R. Zonal two equation k–ω turbulence models for aerodynamic flows // AIAA Paper. 1993. № 93. P. 21.
- Leonard B.P. A stable and accurate convective modeling procedure based on quadratic upstream interpolation // Comp. Meth. Appl. Mech. Eng. 1979. V. 19. № 1. P. 59–98.
- Van Leer B. Towards the ultimate conservative difference scheme V. A second order sequel to Godunov’s method // J. Comp. Phys. 1979. V. 32. P. 101–136.
- Rhie C.M., Chow W.L. A numerical study of the turbulent flow past an isolated airfoil with trailing edge separation // AIAA J. 1983. V. 21. P. 1525–1532.
- Pascau A., Garcia N. Consistency of SIMPLEC scheme in collocated grids. V European Conference on Computational Fluid Dynamics ECCOMAS CFD 2010. Lisbon, Portugal, 2010. 12 p.
- Saad Y. Iterative methods for sparse linear systems, 2nd ed., Society for Industrial and Applied Mathematics, Philadelphia, 2003. 567 p.
- Demidov D. AMGCL: C++ library for solving large sparse linear systems with algebraic multigrid method. http://amgcl.readthedocs.org/.
Supplementary files








