Wall Pressure Fluctuations on the Surface of a Fairing in the Shape of a Semi-Ellipsoid and in its Vicinity
- Authors: Golubev A.Y.1, Kuznetsov S.V.1
-
Affiliations:
- Zhukovski Central Aerohydrodynamic Institute
- Issue: No 6 (2023)
- Pages: 75-85
- Section: Articles
- URL: https://ogarev-online.ru/1024-7084/article/view/231739
- DOI: https://doi.org/10.31857/S1024708423600227
- EDN: https://elibrary.ru/QKJXKW
- ID: 231739
Cite item
Full Text
Abstract
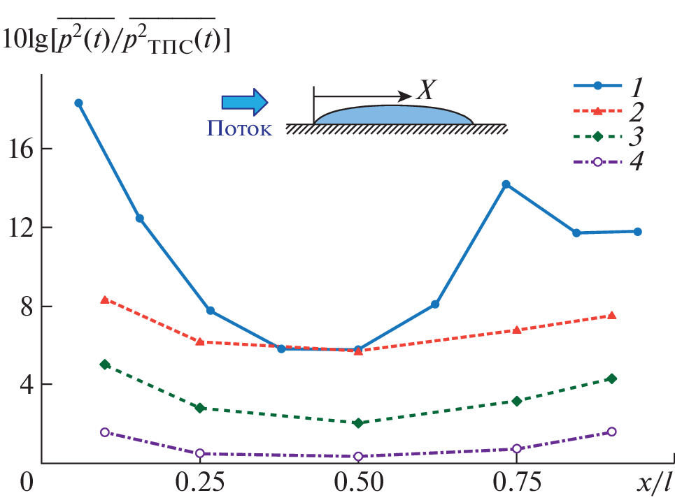
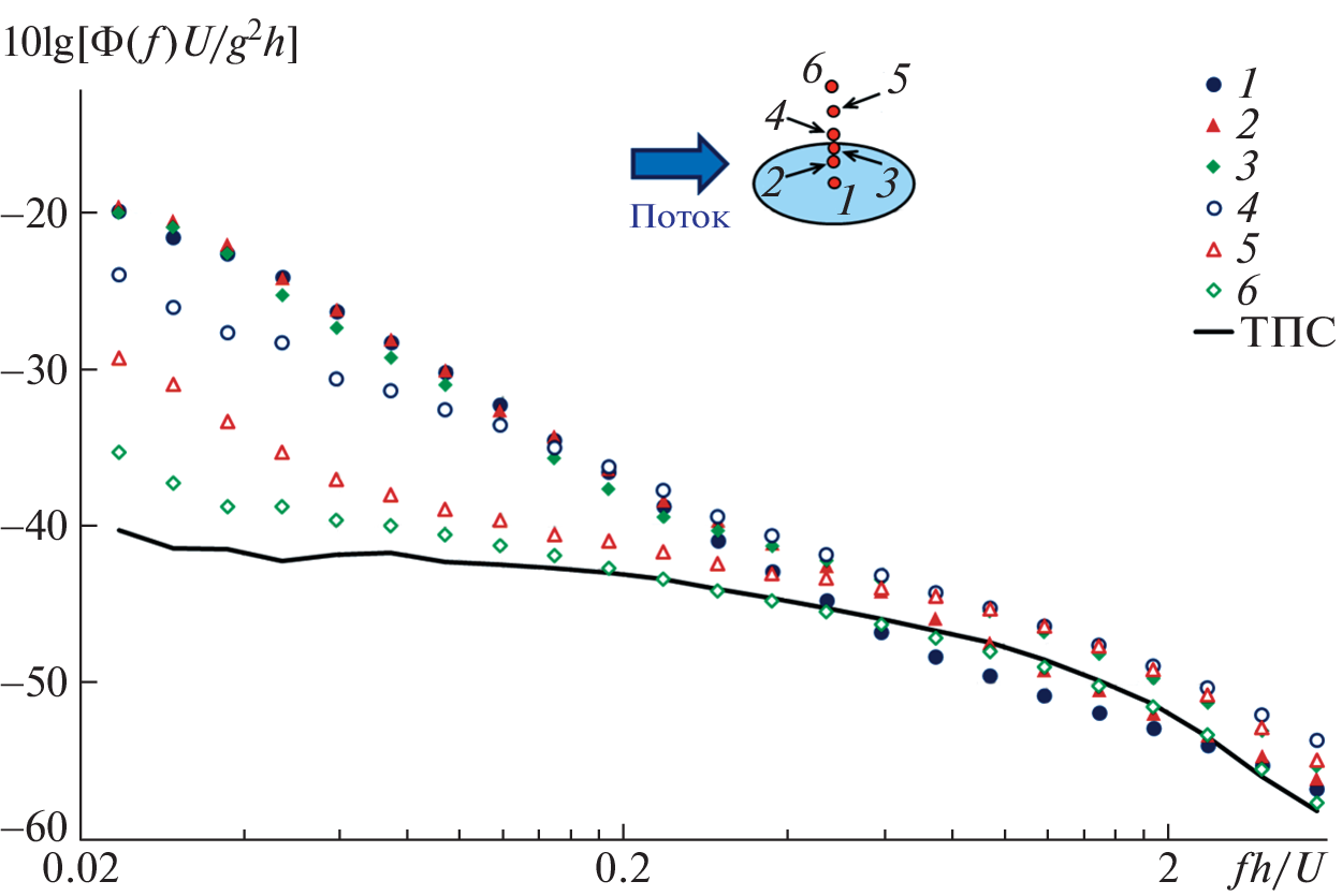
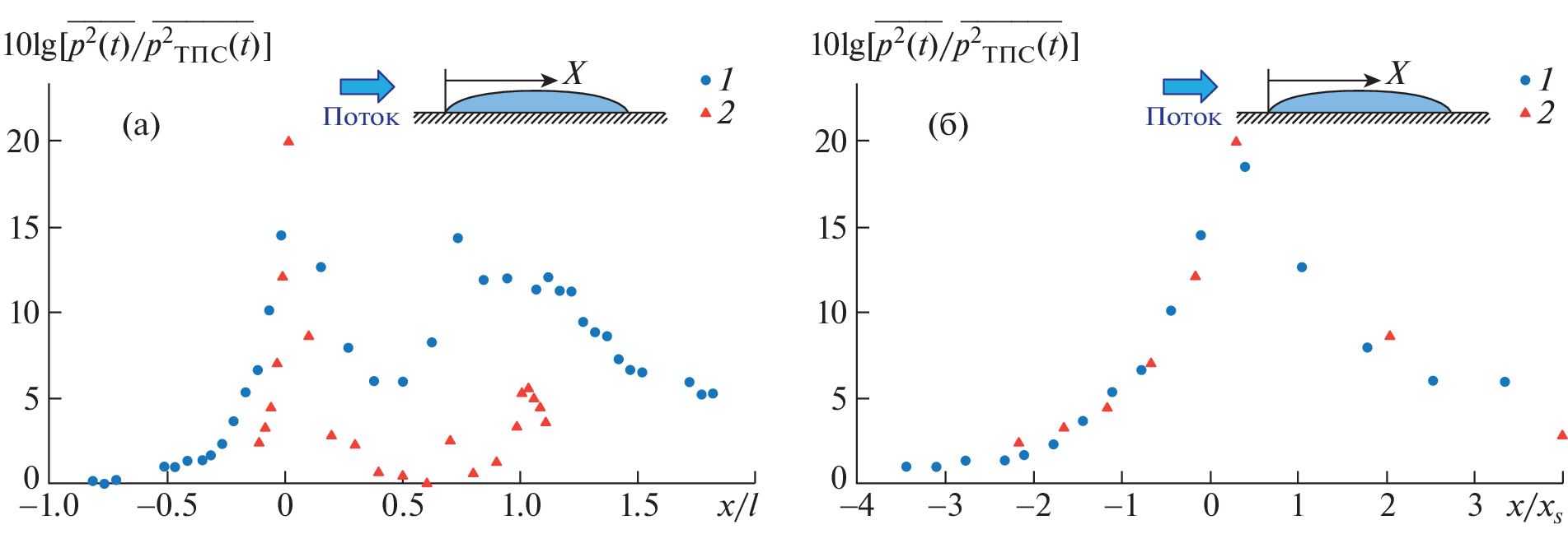
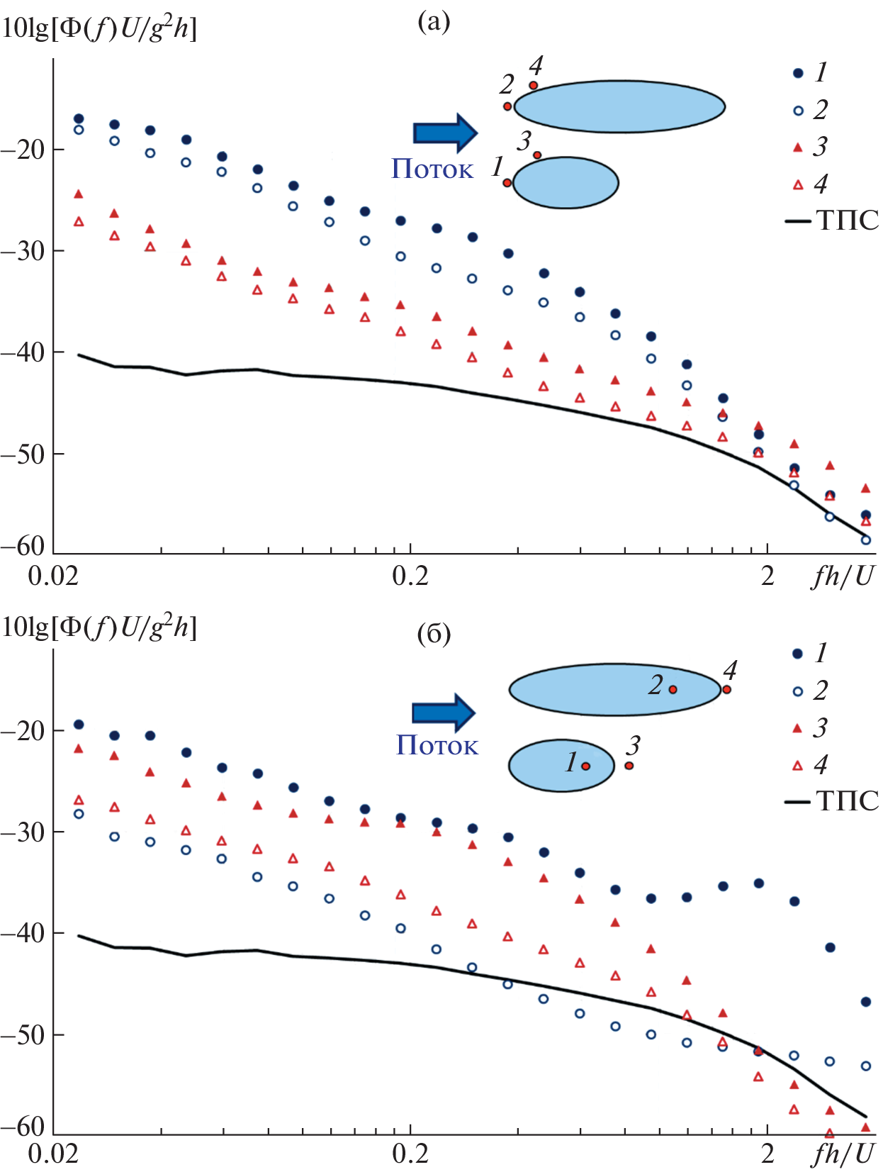
The wall pressure fluctuation fields on fairing surfaces and in the surrounding turbulent boundary layer are experimentally investigated. The fairings were in the shape of semi-ellipsoids and were mounted on the wall of a subsonic low-noise wind tunnel. Their heights amounted to 25% of the oncoming boundary layer thickness. The main physical features of the flows under consideration are determined by means of the surface oil-flow visualization. The fluctuating wall pressure field is compared with the flow pattern. It is shown that the greatest pressure fluctuation levels are recorded in the nose region of the fairing surface. It is established that lengthening the model leads to a considerable reduction of the pressure fluctuation strength in the region of flow separation from the fairing surface.
About the authors
A. Yu. Golubev
Zhukovski Central Aerohydrodynamic Institute
Email: alexeygolubev@yandex.ru
140180, Moscow, Russia
S. V. Kuznetsov
Zhukovski Central Aerohydrodynamic Institute
Author for correspondence.
Email: international@yandex.ru
140180, Moscow, Russia
References
- Farabee T.M., Casarella M.J. Measurements of Fluctuating Wall Pressure for Separated/Reattached Boundary Layer Flows // ASME J. Vib. Acoust. Stress Reliab. Des. 1986. V. 108. P. 301–307.
- Efimtsov B.M., Golubev A.Yu., Rizzi S.A., Andersson A.O., Rackl R.G., Andrianov E.V. Influence of small steps on wall pressure fluctuation spectra measured on Tu-144LL flying laboratory // AIAA paper 2002–2605.
- Власов Е.В., Гиневский А.С., Каравосов Р.К., Франкфурт М.О. Статистические характеристики пульсаций давления в зоне отрыва потока на пластине за интерцептором // Акуст. журн. 1979. Т. 25. № 3. С. 367–372.
- Awasthi M., Devenport W.J., Glegg S.A.L., Forest J.B. Pressure fluctuations produced by forward steps immersed in a turbulent boundary layer // J. Fluid Mech. 2014. V. 756. P. 384–421.
- Efimtsov B.M., Kozlov N.M., Kravchenko S.V. and Andersson A.O. Wall Pressure Fluctuation Spectra at Small Forward-Facing Steps // AIAA paper 99–1964. 1999.
- Efimtsov B.M., Kozlov N.M., Kravchenko S.V. and Andersson A.O. Wall Pressure Fluctuation Spectra at Small Backward-Facing Steps // AIAA paper 2000–2053. 2000.
- Leclercq D.J.J., Jacob M.C., Louisot A., Talotte C. Forward-Backward Facing Step Pair: Aerodynamic Flow, Wall Pressure and Acoustic Caracterisation // AIAA paper 2001–2249. 2001.
- Lee I., Sung H.J. Multiple-arrayed pressure measurement for investigation of the unsteady flow structure of a reattaching shear layer // J. Fluid Mech. 2002.V. 463. P. 377–402.
- Camussi R., Felli M., Pereira F., Aloisio G., Di Marco A. Statistical properties of wall pressure fluctuations over a forward-facing step // Phys. Fluids. 2008. V. 20. № 7. Paper 75113.
- Ji M., Wang M. Surface pressure fluctuations on steps immersed in turbulent boundary layers // J. Fluid Mech. 2012 V. 712. P. 471–504.
- Awasthi M., Devenport W.J., Alexander W.N., Glegg, S.A.L. Aeroacoustics of rounded forward-facing steps: near-field behavior // AIAA J. 2019. V. 57. № 3. P. 1237–1249.
- Golubev A., Kuznetsov S. Wall pressure fluctuations on the surface of sloped forward-facing steps // AIAA J. 2020. V. 58. № 10. P. 4595–4599.
- Kiya M., Sasaki K. Structure of a turbulent separation bubble // J. Fluid Mech. 1983. V. 137. P. 83–113.
- Pearson D.S., Goulart P.J., Ganapathisubramani B. Turbulent separation upstream of a forward-facing step // J. Fluid Mech. 2013. V. 724. P. 284–304.
- Graziani A., Kerherve F., Martinuzzi R.J., Keirsbulck L. Dynamics of the recirculating areas of a forward-facing step // Exp. Fluids. 2018. V. 59. № 154. P. 1–18.
- Fang V., Tachie M.F. Spatio-temporal dynamics of flow separation induced by a forward-facing step submerged in a thick turbulent boundary layer // J. Fluid Mech. 2020. V. 892. A40–1-30.
- Olcmen S.M., Simpson R.L. Influence of Wing Shapes on Surface Pressure Fluctuations at Wing-Body Junctions // AIAA J. 1994. V. 32. № 1. P. 6–15.
- Goody M.C., Simpson R.L. Surface Pressure Fluctuations Beneath Two- and Three-Dimensional Turbulent Boundary Layers // AIAA J. 2000. V. 38. № 10. P. 1822–1831.
- Голубев А.Ю., Потокин Г.А. Трехмерные поля пульсаций давления в окрестности консольных цилиндрических препятствий // Изв. РАН. МЖГ. 2017. № 6. С. 42–49.
- Awasthi M., Rowlands J., Moreau D.J., Doolan C.J. The Effect of Aspect Ratio on Wall Pressure Fluctuations at a Wing-Plate Junction // ASME J. Fluids Eng. 2020. V. 142. № 7. 11 p.
- Suzuki Y., Kiya M., Sampo T., Naka Y. Pressure Fluctuations on the Surface of a Hemisphere Immersed in a Thick Turbulent Boundary Layer // ASME J. Fluids Eng. 1987. V. 109. P. 130–135.
- Largeau J.F., Moriniere V. Wall pressure fluctuations and topology in separated flows over a forward-facing step // Exp. Fluids. 2007. V. 42. P. 21–40.
- Голубев А.Ю., Ефимцов Б.М. Особенности структуры полей пульсаций давления в окрестности выступов // Изв. РАН. МЖГ. 2015. Т. 50. № 1. С. 55–66.
- Кузнецов С.В., Голубев А.Ю. Влияние высоты выступа на пристеночные пульсации давления вблизи его боковой кромки в турбулентном пограничном слое // Акуст. журн. 2023. Т. 69. № 2. С. 207–215.
- Hao J., Wang M. Flow Noise from Swept Steps in Turbulent Boundary Layers // AIAA paper 2013–2248. 2013.
- Бибко В.Н., Голубев А.Ю. Основные закономерности влияния скоса потока на характеристики полей пульсаций давления перед прямым и за обратным уступом // Акуст. журн. 2014. Т. 60. № 5. С. 483–491.
- Голубев А.Ю., Кузнецов С.В. Особенности полей пульсаций давления на поверхности выступов // Изв. РАН. МЖГ. 2018. № 6. С. 67–75.
- Efimtsov B.M., Golubev A.Yu. Pressure Fluctuations on the Surface Surrounding Tall Protrusion into Flow // AIAA paper 2007–3413. 2007.
- Голубев А.Ю., Потокин Г.А. Пульсации давления на поверхности трехмерных выступающих тел // Изв. РАН. МЖГ. 2020. № 1. С. 57–63.
- Efimtsov B.M., Golubev A.Yu., Kuznetsov V.B., Rizzi S.A., Andersson A.O., Rackl R.G., Andrianov E.V. Effects of transducer flushness on measured surface pressure fluctuations in flight // AIAA paper 2005–800. 2005.
- Hu N., Erbig L. Effect of Sensor Mounting and Flow History on Measured Wall Pressure Spectra // AIAA J. 2020. V. 58. № 7. P. 1–11.
- Бендат Дж., Пирсол А. Прикладной анализ случайных данных: Пер. с англ. – М.: Мир, 1989. 540 с.
- Cherry N.J., Hillier R., Latour M.E.M. Unsteady measurements in a separated and reattaching flow // J. Fluid Mech. 1984. V. 144. P. 13–46.
Supplementary files










