Numerical modeling of turbulent puffs evolution
- Authors: Zasimova M.A.1, Ris V.V.1, Ivanov N.G.1
-
Affiliations:
- Peter the Great St. Petersburg Polytechnic University
- Issue: No 5 (2023)
- Pages: 57-69
- Section: Articles
- URL: https://ogarev-online.ru/1024-7084/article/view/135093
- DOI: https://doi.org/10.31857/S1024708423600100
- EDN: https://elibrary.ru/YUIZZD
- ID: 135093
Cite item
Full Text
Abstract
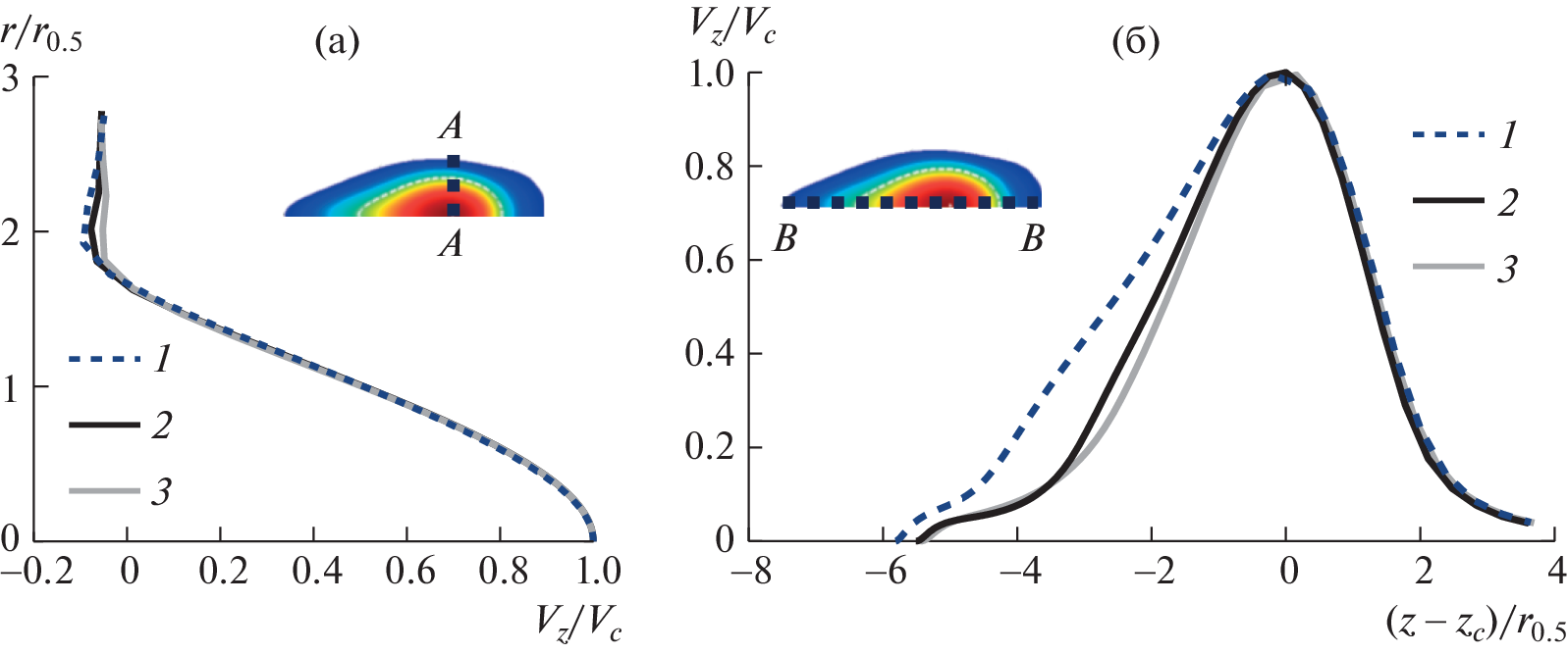
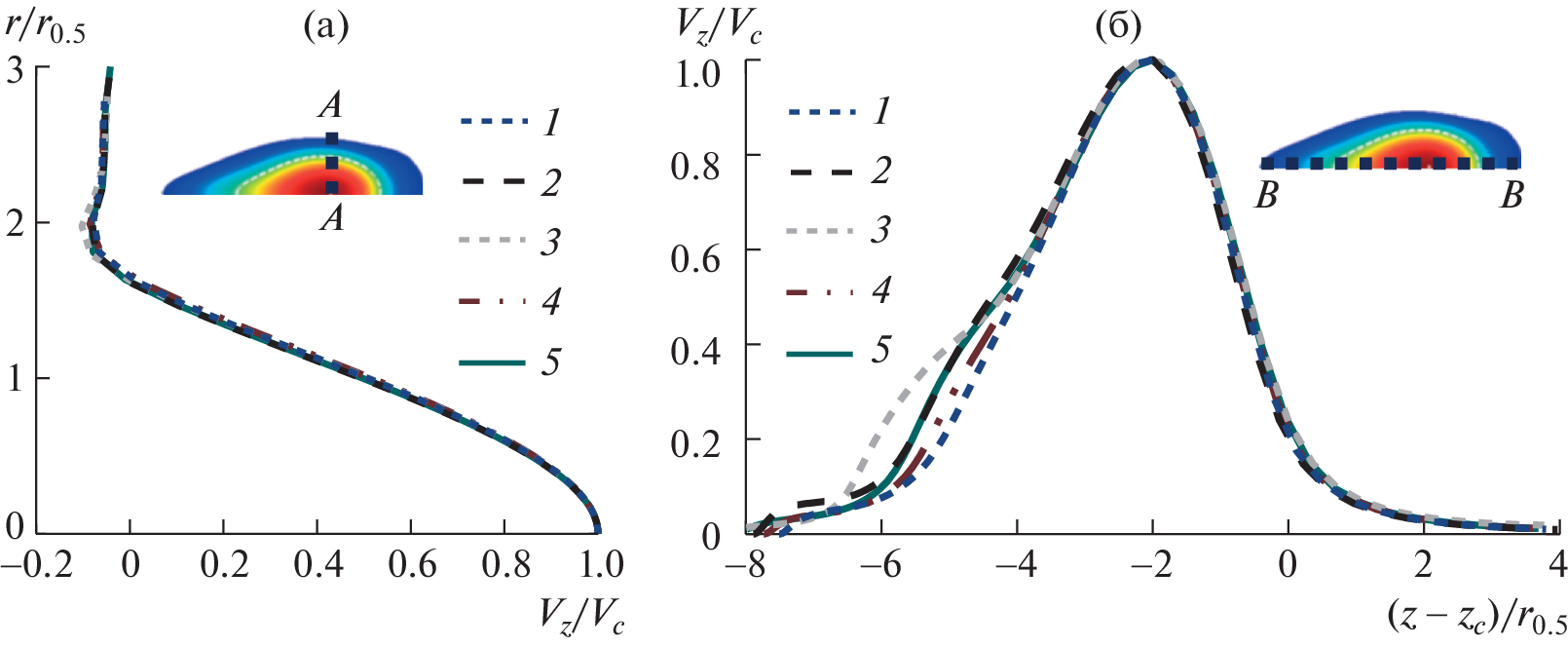
The results of numerical simulation of the formation and motion of turbulent puffs resulting from the blowing of pulsed jets with different initial velocities and durations are presented. A model of an axisymmetric turbulent flow described by non-stationary Reynolds equations is adopted. It is shown that, regardless of the initial conditions, after the same dimensionless time interval from the instant the jet outflow begins, a vortex cloud appears, which has a spherical shape of vortex. The vortex-induced flow in the rest of the space is close to potential. It has been established that the velocity profiles in vortices in the axial and transverse directions are close to self-similar and are similar for different conditions of the outflow of pulsed jets. Time dependences of the geometric and kinematic characteristics of puffs are presented and analyzed: the position of the cloud center (points with maximum velocity) and the radius of a sphere equivalent in volume to a puff, as well as maximum and average velocities. For the studied jet outflow conditions, the characteristics of puffs turn out to be similar.
Keywords
About the authors
M. A. Zasimova
Peter the Great St. Petersburg Polytechnic University
Email: zasimova_ma@spbstu.ru
St. Petersburg, Russia
V. V. Ris
Peter the Great St. Petersburg Polytechnic University
Email: zasimova_ma@spbstu.ru
St. Petersburg, Russia
N. G. Ivanov
Peter the Great St. Petersburg Polytechnic University
Author for correspondence.
Email: zasimova_ma@spbstu.ru
St. Petersburg, Russia
References
- Nazaroff W.W. Indoor aerosol science aspects of SARS-CoV-2 transmission // Indoor Air. 2022. V. 32. № 1. P. 1–13. https://doi.org/10.1111/ina.12970
- Bu Y., Ooka R., Kikumoto H., Oh W. Recent research on expiratory particles in respiratory viral infection and control strategies: A review // Sustainable Cities and Society, 2021. V. 73. P. 1–16. https://doi.org/10.1016/j.scs.2021.103106
- Gupta J.K., Lin C.-H., Chen Q. Flow dynamics and characterization of a cough // Indoor Air. 2009. V. 19. № 6. P. 517–525. https://doi.org/10.1111/j.1600-0668.2009.00619.x
- Bourouiba L. The fluid dynamics of disease transmission // Annual Review of Fluid Mechanics. 2021. V. 53. P. 473–508. https://doi.org/10.1146/annurev-fluid-060220-113712
- Mazzino A., Rosti M.E. Unraveling the secrets of turbulence in a fluid puff // Phys. Rev. Lett. 2021. V. 127. № 9. P. 1–6. https://doi.org/10.1103/PhysRevLett.127.094501
- Fabregat A., Gisbert F., Vernet A., Dutta S., Mittal K., Pallarès J. Direct numerical simulation of the turbulent flow generated during a violent expiratory event // Physics of Fluids. 2021. V. 33. P. 1–12. https://doi.org/10.1063/5.0042086
- Fabregat A., Gisbert F., Vernet A., Ferré J.A., Mittal K., Dutta S., Pallarès J. Direct numerical simulation of turbulent dispersion of evaporative aerosol clouds produced by an intense expiratory event // Physics of Fluids. 2021. V. 33. P. 1–13. https://doi.org/10.1063/5.0045416
- Ghaem-Maghami E., Johari H. Concentration field measurements within isolated turbulent puffs // ASME. J. Fluids Eng. 2007. V. 129. P. 194–199. https://doi.org/10.1115/1.2409348
- Ахметов Д.Г. Вихревые кольца. Ин-т гидродинамики СО РАН. Новосибирск. Академ. изд-во “Гео”. 2007. 151 с.
- Никулин В.В. Массообмен между атмосферой турбулентного вихревого кольца и окружающей средой // Изв. РАН. МЖГ. 2021. № 4. С. 33–40. https://doi.org/10.31857/S0568528121040101
- Andriani R., Coghe A., Cossali G.E. Near-field entrainment in unsteady gas jets and diesel sprays: A comparative study // Symposium (International) on Combustion. 1996. V. 26. № 2. P. 2549–2556. https://doi.org/10.1016/s0082-0784(96)80087-7
- Kovasznay L.S.G., Fujita H., Lee R.L. Unsteady Turbulent Puffs // Adv. Geophys. 1975. V. 18. Part B. P. 253–263. https://doi.org/10.1016/S0065-2687(08)60584-1
- Richards J.M. Puff motions in unstratified surroundings // J. Fluid Mech. 1965. V. 21. № 1. P. 97–106. https://doi.org/10.1017/S002211206500006X
- Sangras R., Kwon O.C., Faeth G.M. Self-preserving properties of unsteady round nonbuoyant turbulent starting jets and puffs in still fluids // ASME. J. Heat Transfer. 2002. V. 124. № 3. P. 460–469. https://doi.org/10.1115/1.1421047
- Ghaem-Maghami E., Johari H. Velocity field of isolated turbulent puffs // Physics of Fluids. 2010. V. 22. P. 1–13. https://doi.org/10.1063/1.3504378
- Засимова М.А., Иванов Н.Г., Рис В.В. Нестационарная диффузия вирусных частиц в импульсной струе, формируемой в процессе кашля // XVI Минский международный форум по тепло- и массообмену. Тез. докл. и сообщений. Минск: ИТМО им. А.В. Лыкова. 2022. С. 251–255.
- Zasimova M., Ris V., Ivanov N. CFD modelling of a pulsed jet formed during an idealized isolated cough // E3S Web of Conferences 2022. V. 356. P. 1–4. https://doi.org/10.1051/e3sconf/202235605024
- Засимова М.А., Иванов Н.Г., Рис В.В. URANS и LES моделирование начальной стадии распространения каплесодержащей воздушной струи, характерной для острых респираторных явлений // М.: Изд. МЭИ. Материалы 8-ой РНКТ. 2022. Т. 1. С. 435–438.
- Pallarès J., Fabregat A., Lavrinenko A., et al. Numerical simulations of the flow and aerosol dispersion in a violent expiratory event: Outcomes of the “2022 International Computational Fluid Dynamics Challenge on violent expiratory events” // Physics of Fluids. 2023. V. 35. P. 1–22. https://doi.org/10.1063/5.0143795
- Yakhot V., Orszag S.A. Renormalization group analysis of turbulence. I. Basic theory // Journal of Scientific Computing. 1986. V. 1. P. 3–51. https://doi.org/10.1007/BF01061452
- Yakhot V., Orszag S.A., Thangam S., Gatski T.B., Speziale C.G. Development of turbulence models for shear flows by a double expansion technique // Physics of Fluids. 1992. V. 4. P. 1510–1520. https://doi.org/10.1063/1.858424
- Бэтчелор Дж. Введение в динамику жидкости. Пер. с англ. М.: изд-во “Мир”. 1973. 760 с.
- Glezer A., Coles D. An experimental study of a turbulent vortex ring // J. Fluid Mech. 1990. V. 211. P. 243–283. https://doi.org/10.1017/S0022112090001562
Supplementary files











