Experimental Investigation of the Structure of Disturbances from Two Pulsed Sources in the Flat-Plate Supersonic Boundary Layer
- Authors: Afanasev L.V.1, Yermolaev Y.G.1, Kosinov A.D.1, Kocharin V.L.1, Semionov N.V.1, Yatskikh A.A.1
-
Affiliations:
- Khristianovich Institute of Theoretical and Applied Mechanics, Siberian Branch of the Russian Academy of Sciences
- Issue: No 4 (2023)
- Pages: 27-36
- Section: Articles
- URL: https://ogarev-online.ru/1024-7084/article/view/135086
- DOI: https://doi.org/10.31857/S1024708423600070
- EDN: https://elibrary.ru/WLFQGI
- ID: 135086
Cite item
Full Text
Abstract
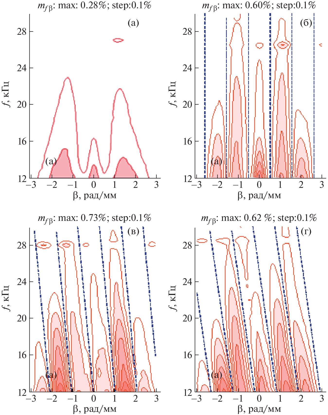
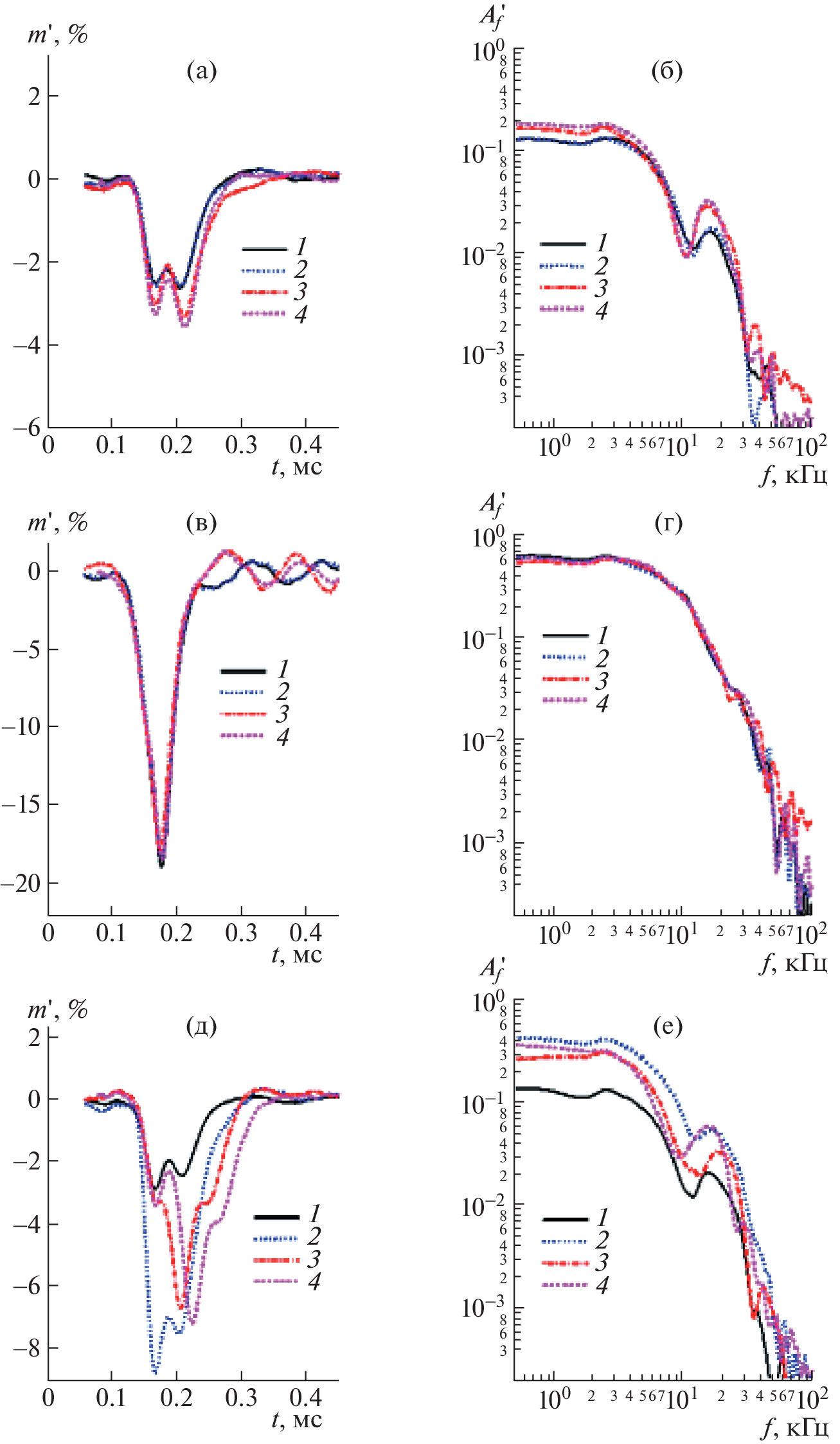
The work is devoted to the development of a new experimental method for entering controlled disturbances with a given frequency-wave structure into a supersonic boundary layer. Experimental data on the formation of disturbances from two pulsed sources (pulsed glow discharge) in the laminar flat-plate boundary layer at the Mach number equal to 2 are given. The experiments were carried out in the T-325 wind tunnel of ITAM SB RAS. The localized sources were spaced out at the same distance from the leading edge of the plate at 6 mm from each other spanwise. Flow pulsations were measured using a hot-wire probe of constant temperature anemometer, the signal was recorded synchronously with ignition of the discharges. This made it possible to distinguish the pulsations from the discharges against the background of random uncontrolled “natural” pulsations of the boundary layer. The spatial-temporal and frequency-wave structure of the generated disturbances from a single or two discharges, operating synchronously or with a time delay, are analyzed. It is found that the maximum difference in the structure of disturbances from one and two sources is observed in the central region, while at the side boundaries of the disturbances, the pulsations are close in all considered cases. In the wave spectra of disturbances from two discharges, nodes and antinodes are formed. Their position is determined by the distance between the sources and the time delay in their operation.
About the authors
L. V. Afanasev
Khristianovich Institute of Theoretical and Applied Mechanics, Siberian Branch of the Russian Academy of Sciences
Email: yatskikh@itam.nsc.ru
Novosibirsk, Russia
Yu. G. Yermolaev
Khristianovich Institute of Theoretical and Applied Mechanics, Siberian Branch of the Russian Academy of Sciences
Email: yatskikh@itam.nsc.ru
Novosibirsk, Russia
A. D. Kosinov
Khristianovich Institute of Theoretical and Applied Mechanics, Siberian Branch of the Russian Academy of Sciences
Email: yatskikh@itam.nsc.ru
Novosibirsk, Russia
V. L. Kocharin
Khristianovich Institute of Theoretical and Applied Mechanics, Siberian Branch of the Russian Academy of Sciences
Email: yatskikh@itam.nsc.ru
Novosibirsk, Russia
N. V. Semionov
Khristianovich Institute of Theoretical and Applied Mechanics, Siberian Branch of the Russian Academy of Sciences
Email: yatskikh@itam.nsc.ru
Novosibirsk, Russia
A. A. Yatskikh
Khristianovich Institute of Theoretical and Applied Mechanics, Siberian Branch of the Russian Academy of Sciences
Author for correspondence.
Email: yatskikh@itam.nsc.ru
Novosibirsk, Russia
References
- Косинов А.Д., Маслов А.А. Развитие искусственно вызванных возмущений в сверхзвуковом пограничном слое // Изв. АН СССР. МЖГ. 1984. № 5. С. 37–43.
- Kosinov A.D., Maslov A.A., Shevelkov S.G. Experiments on the stability of supersonic laminar boundary layers // J. Fluid Mech. 1990. V. 219. P. 621–633. https://doi.org/10.1017/S0022112090003111
- Bountin D., Shiplyuk A., Maslov A. Evolution of nonlinear processes in a hypersonic boundary layer on a sharp cone // J. Fluid Mech. 2008. V. 611. P. 427–442. https://doi.org/10.1017/S0022112008003030
- Ермолаев Ю.Г., Колосов Г.Л., Косинов А.Д., Семенов Н.В. Линейная эволюция контролируемых возмущений в сверхзвуковом пограничном слое скользящего крыла // Изв. РАН. МЖГ. 2014. № 2. С. 58–68.
- Kosinov A.D., Kolosov G.L., Semionov N.V., Yermolaev Y.G. Linear development of controlled disturbances in the supersonic boundary layer on a swept wing at Mach 2 // Phys. Fluids. 2016. V. 28. Art. No. 064101. 16 p. https://doi.org/10.1063/1.4952999
- Casper K.M., Beresh S.J., Schneider S.P. Pressure fluctuations beneath instability wavepackets and turbulent spots in a hypersonic boundary layer // J. Fluid Mech. 2014. V. 756. P. 1058–1091. https://doi.org/10.1017/jfm.2014.475
- Яцких А.А., Ермолаев Ю.Г., Косинов А.Д., Семенов Н.В. Эволюция волновых пакетов в сверхзвуковом пограничном слое плоской пластины // Теплофизика и аэромеханика. 2015. Т. 22. № 1. С. 17–28.
- Yatskikh A., Yermolaev Y., Kosinov A., Semionov N., Semenov A. Evolution of localized artificial disturbance in 2D and 3D supersonic boundary layers // Proceedings of the Institution of Mechanical Engineers, Part G: Journal of Aerospace Engineering. 2020. V. 234. № 1. P.115–123. https://doi.org/10.1177/0954410018787120
- Довгаль А.В., Катасонов М.М., Козлов В.В., Павленко А.М. Эволюция локализованных возмущений пограничного слоя в условиях ламинарно-турбулентного перехода (обзор) // Теплофизика и аэромеханика. 2022. Т. 29. № 4. С. 491–506.
- Mayer C.S., Wernz S., Fasel H.F. Numerical investigation of the nonlinear transition regime in a Mach 2 boundary layer // J. Fluid Mech. 2011. V. 668. P. 113–149. https://doi.org/10.1017/S0022112010004556
- Mayer C.S., Laible A.C., Fasel H.F. Numerical investigation of wave packets in a Mach 3.5 cone boundary layer // AIAA J. 2011. V. 49. № 1. P. 67–86. https://doi.org/10.2514/1.J050038
- Egorov I.V., Novikov A.V. Direct numerical simulation of laminar–turbulent flow over a flat plate at hypersonic flow speeds // Computational Mathematics and Mathematical Physics. 2016. V. 56. P. 1048–1064. https://doi.org/10.1134/S0965542516060129
- Чувахов П.В., Егоров И.В. Численное моделирование эволюции возмущений в сверхзвуковом пограничном слое над углом разрежения // Изв. РАН. МЖГ. 2021. № 5. С. 49–60. https://doi.org/10.31857/S0568528121050029
- Егоров И.В., Новиков А.В., Чувахов П.В. Численное моделирование развития турбулентных пятен в сверхзвуковом пограничном слое на пластине // Матем. моделирование. 2022. Т. 34. № 7. С. 63–72. https://doi.org/10.20948/mm-2022-07-04
- Хотяновский Д.В., Кудрявцев А.Н. Прямое численное моделирование перехода к турбулентности в сверхзвуковом пограничном слое на гладких и шероховатых поверхностях // Прикл. механика и техн. физика. 2017. Т. 58. № 5. С. 80–92. https://doi.org/10.15372/PMTF20170508
- Хотяновский Д.В., Кудрявцев А.Н. Прямое численное моделирование перехода к турбулентности в сверхзвуковом пограничном слое // Теплофизика и аэромеханика. 2015. Т. 22. № 5. С. 581–590.
- Чувахов П.В., Погорелов И.О. Источники турбулентности на прямом крыле сверхзвукового пассажирского самолёта // Матем. моделирование. 2022. Т. 34. № 8. С. 19–37. https://doi.org/10.20948/mm-2022-08-02
- Гилев В.М., Козлов В.В. Влияние периодического вдува-отсоса на процесс перехода в пограничном слое // Уч. записки ЦАГИ. 1986. Т. 17. № 3. С. 27–33.
- Borodulin V.I., Kachanov Y.S. On properties of the deterministic turbulence and reproducibility of its instantaneous and statistical characteristics // Theoretical and Applied Mechanics Letters. 2014. V. 4. № 6. Art. No. 062004. 19 p. https://doi.org/10.1063/2.1406204
- Бойко А.В., Иванов А.В., Качанов Ю.С., Мищенко Д.А. Исследование слабонелинейного развития нестационарных вихрей Гёртлера // Теплофизика и аэромеханика. 2010. Т. 17. № 4. С. 487–514.
- Borodulin V.I., Kachanov Y.S. Experimental evidence of deterministic turbulence // Eur. J. Mech. B/Fluids. 2013. V. 40. P. 34–40. https://doi.org/10.1016/j.euromechflu.2013.02.004
- Corke T.C., Cavalieri D.A., Matlis E. Boundary-layer instability on sharp cone at Mach 3.5 with controlled input // AIAA J. 2002. V. 40. P. 1015–1018. https://doi.org/10.2514/2.1744
- Kolosov G.L., Kosinov A.D., Semenov A.N., Yatskikh A.A. Experimental and numerical investigation of controlled disturbances development from two sources in supersonic boundary layer // Advances in Aerodynamics. 2019. V. 1. Art. № 14. 13 p. https://doi.org/10.1186/s42774-019-0017-4
- Яцких А.А., Афанасьев Л.В. Численное моделирование эволюции локализованных возмущений от двух синхронных разнесенных источников в сверхзвуковом пограничном слое // Теплофизика и аэромеханика. 2022. Т. 29. № 6. С. 923–934.
- Yatskikh A.A., Kosinov A.D., Semionov N.V., Smorodsky B.V., Ermolaev Yu.G., Kolosov G.L. Investigation of laminar-turbulent transition of supersonic boundary layer by scanning constant temperature hot-wire anemometer // AIP Conf. Proc. 2018. V. 2027. Art. No. 040041. 5 p. https://doi.org/10.1063/1.5065315
Supplementary files







