Gas Injection and Suction Effect on the Instability of a Supersonic Boundary Layer
- Authors: Novikov A.V.1,2, Obraz A.O.1,2, Timokhin D.A.2
-
Affiliations:
- Central Aerohydrodynamic Institute (TsAGI)
- Moscow Institute of Physics and Technology
- Issue: No 3 (2023)
- Pages: 69-76
- Section: Articles
- URL: https://ogarev-online.ru/1024-7084/article/view/135080
- DOI: https://doi.org/10.31857/S0568528122600588
- EDN: https://elibrary.ru/NTEPQJ
- ID: 135080
Cite item
Full Text
Abstract
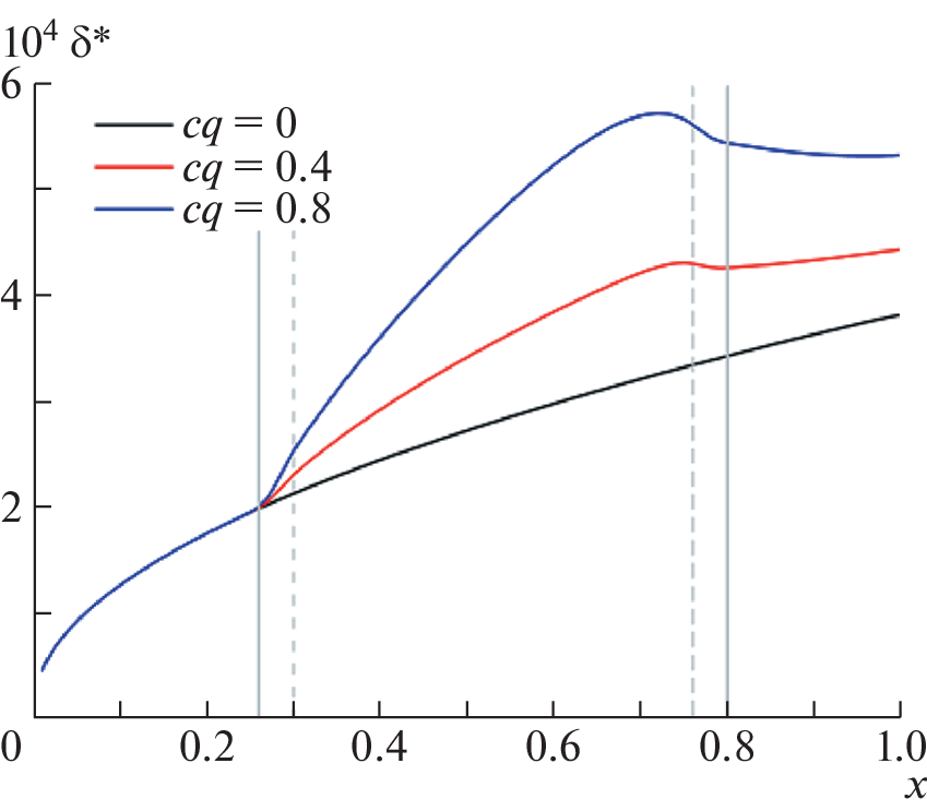
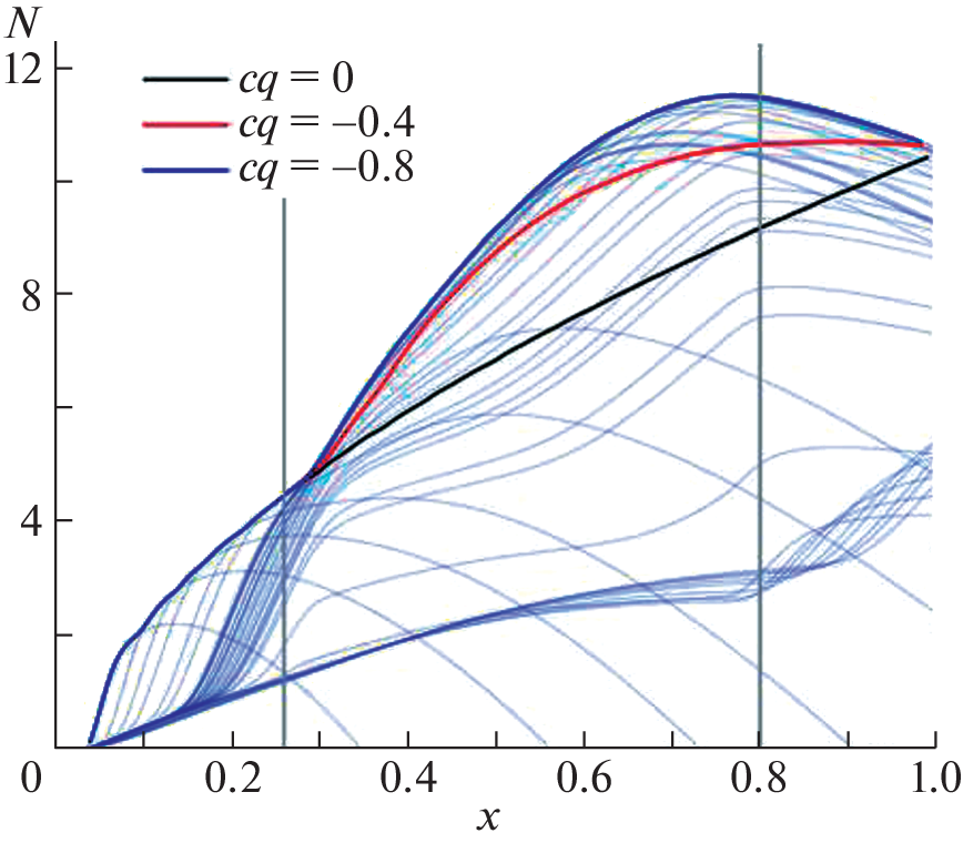
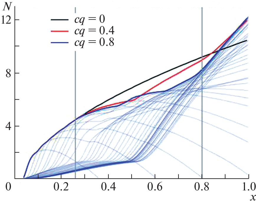
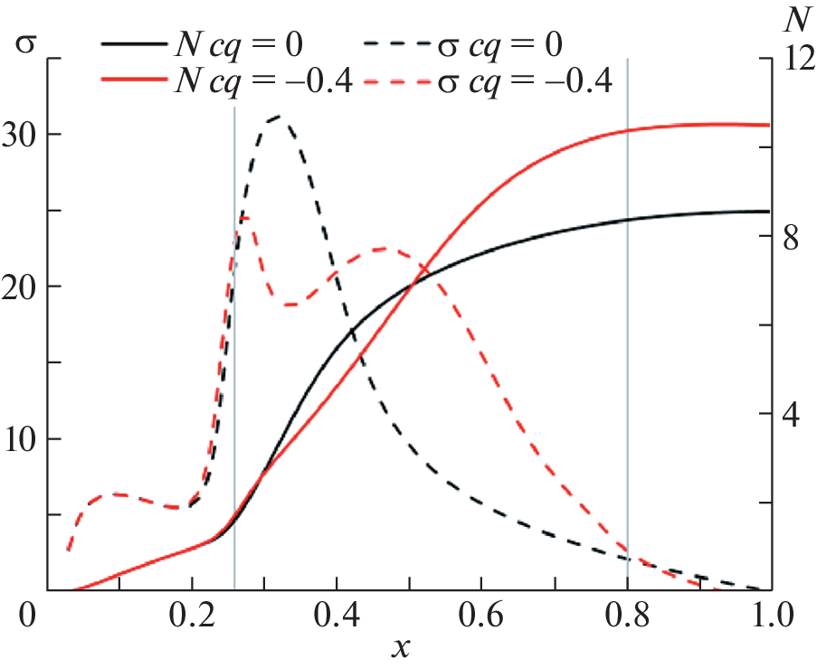
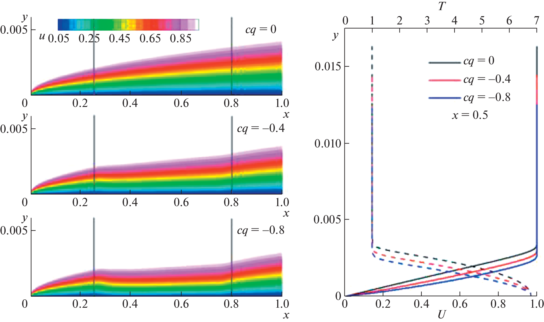
We present the results of an investigation of the boundary layer stability on a flat plate having a region of gas injection/suction normal to the wall at a large supersonic freestream Mach number. The laminar flow past a flat plate having a region of distributed injection/suction of fixed intensity is modeled numerically using the integration of Navier—Stokes equations. The unstable disturbances in the boundary layer distorted by injection/suction are analyzed within the framework of the linear stability theory and the method for compressible flows. High-frequency disturbances belonging to the plane second mode of the boundary layer, which are the most unstable at high velocities, are considered. It is shown that gas injection/suction leads to a nonmonotonic variation of disturbance growth rates with the appearance of stabilization/destabilization regions, as compared with the case in which injection/suction is absent.
Keywords
About the authors
A. V. Novikov
Central Aerohydrodynamic Institute (TsAGI); Moscow Institute of Physics and Technology
Email: novikov.av@mipt.ru
Zhukovsky, Russia; Dolgoprudny, Russia
A. O. Obraz
Central Aerohydrodynamic Institute (TsAGI); Moscow Institute of Physics and Technology
Email: obraz.ao@mipt.ru
Zhukovsky, Russia; Dolgoprudny, Russia
D. A. Timokhin
Moscow Institute of Physics and Technology
Author for correspondence.
Email: timokhin.da@phystech.edu
Dolgoprudny, Russia
References
- Joslin R.D. Overview of Laminar Flow Control // NASA Technical Paper NASA/TP-1998-208705. 1998.
- Mack L.M. On the Inviscid Acoustic-Mode Instability of Supersonic Shear Flows. Part I: Two-Dimensional Waves // AIAA J. V. 27. № 11. November 1989. P. 1487–1493.
- Mack L.M. Boundary-Layer Stability Theory // Special Course on Stability and Transition of laminar Flow/ Ed by R. Michel, AGARD Report. 1984. № 709. P. 3-1 to 3-81.
- Kimmel R.L. Aspects of Hypersonic Boundary-Layer Transition Control // 41st Aerospace Sciences Meeting and Exhibit 6-9 January 2003, Reno, Nevada, AIAA Paper № 2003-772.
- Malik M.R. Prediction and Control of Transition in Supersonic and Hypersonic Boundary layers // AIAA J. V. 27. № 11. November 1989. P. 1487–1493.
- Al-Maaitah A.A., Nayfeh A.H., Masad J.A. Effect of Suction on the Stability of Supersonic Boundary Layers. Part I – Second-Mode Waves // Journal of Fluids Engineering Dec. 1991. V. 113(4). P. 591–597. https://doi.org/10.1115/1.2926520
- Balakumar P. Control of Supersonic Boundary Layers Using Steady Suction // 36th AIAA Fluid Dynamics Conference and Exhibit, Conference Paper 20060022120.
- Егоров И.В., Новиков А.В., Фёдоров А.В. Прямое численное моделирование ламинарно-турбулентного перехода при гиперзвуковых скоростях потока на супер-ЭВМ // ЖВМиМФ. 2017. Т. 57. № 8. С. 1347–1373. https://doi.org/10.7868/S0044466917080063
- Образ А.О., Фёдоров А.В. Пакет программ HSFS для анализа устойчивости сжимаемых пограничных слоев. // Уч. зап. ЦАГИ. 2017. Т. XLVIII. № 3. С. 11–28. https://doi.org/10.1615/TsAGISciJ.2017022797
- Bountin D., Chimitov T., Maslov A., Novikov A., Egorov I., Fedorov A., Utyuzhnikov S. Stabilization of a hypersonic boundary layer using a wavy surface // AIAA J. 2013. V. 51. № 5. P. 1203–1210. https://doi.org/10.2514/1.J052044
- Шлихтинг Г. Теория пограничного слоя. М.: Наука, 1974. 703 с.
Supplementary files









