Tangential Shear Stress in Oscillatory Flow of a Viscoelastic Incompressible Fluid in a Plane Channel
- Authors: Navruzov K.1, Sharipova S.B.2
-
Affiliations:
- Urgench State University
- Urgench State UniversityUrgench State University
- Issue: No 3 (2023)
- Pages: 47-58
- Section: Articles
- URL: https://ogarev-online.ru/1024-7084/article/view/135073
- DOI: https://doi.org/10.31857/S1024708422600610
- EDN: https://elibrary.ru/VJZRHK
- ID: 135073
Cite item
Full Text
Abstract
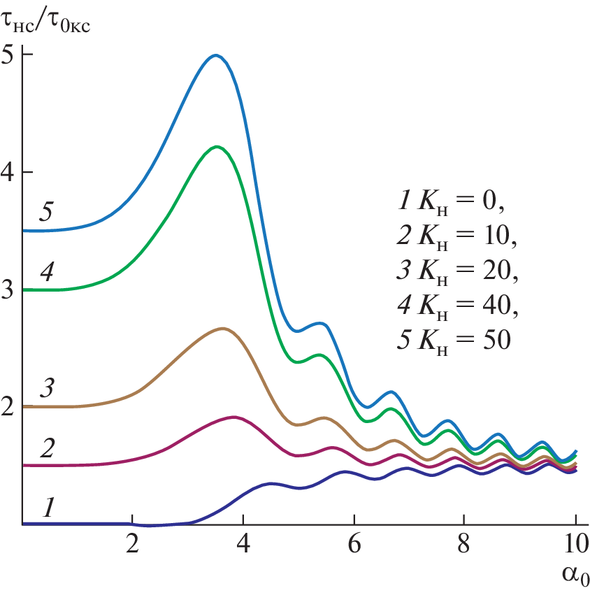
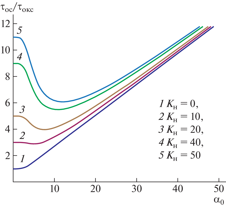
The problems of oscillatory flow of a viscoelastic incompressible fluid in a plane channel are solved for a given harmonic oscillation of the fluid flow rate. The transfer function (amplitude–phase frequency response) is determined. Using this function, the effect of the acceleration oscillation frequency and the relaxation properties of fluid on the ratio of the tangential shear stress on channel wall to the velocity averaged over the channel cross-section (cross-sectional velocity) is determined. It is shown that the viscoelastic properties of fluid, as well as its acceleration, are the limiting factors for using the quasi-stationary approach. The found formulas for determining the transfer function for viscoelastic fluid flow in the case of non-stationary stream make it possible to determine the dissipations of mechanical energy in a non-stationary flow of the medium which are of importance for calculation of the control of hydraulic and pneumatic systems.
About the authors
K. Navruzov
Urgench State University
Email: shohistasharipova0@gmail.com
Urgench, Uzbekistan
Sh. B. Sharipova
Urgench State UniversityUrgench State University
Author for correspondence.
Email: shohistasharipova0@gmail.com
Urgench, Uzbekistan
References
- Marx U., Wallis H., Hoffmann S., Linder G., Harland R., Sonntag F., Klotzbach U., Sakharov D., Tonevitskiy A., Lonster R. “Homan-on-a-Chip” developments: a translational cutting-edge alternative to systemic safety assessment and effecting evacuation in laboratory animals and man? // ATLA 2012. V. 40. P. 235–257.
- Inman W., Domanskiy K., Serdy J., Ovens B., Trimper D., Griffith L.G. Dishing modeling and fabrication of a constant flow pneumatic micropump //J. Micromech. Microeng. 2007. V. 17. P. 891–899.
- Акилов Ж.А. Нестационарные движения вязкоупругих жидкостей. Ташкент: Фан. 1982. 104 с.
- Хужаеров Б.Х. Реологические свойства смесей. Самарканд: Согдиана. 2000.
- Мирзаджанзаде А.Х., Караев А.К., Ширинзаде С.А. Гидравлика в бурении и цементировании нефтяных и газовых скважин. М.: Недра, 1977. 232 с.
- Громека И.С. К теории движения жидкости в узких цилиндрических трубках. Собр. соч. М.: 1952. С. 149–171.
- Громека И.С. О скорости распространения волнообразного движения жидкости в упругих трубах // Собр. соч. М.: 1952. С. 172–183.
- Crandall I.B. Theory of vibrating systems and sounds. D. Van. Nostrand Co., New York. 1926.
- Lambossy P. Oscillations foresees dun liquids incompressible et visqulux dans un tube rigide et horizontal calculi de IA force de frottement // Helv. Physiol. Acta. 25. 1952. P. 371–386.
- Womersly J.R. Method for the calculation of velocity rate of flow and viscous drag in arteries when the pressure gradient is known // J. Physiol. 1955. N 3. P. 553–563.
- Richardson E.G., Tyler E. The transverse Velocity gradient neat the mothe of pipes in which an alternating or continuous flow of air is established // Pros. Phys. Soc. London: 1929. V. 42.
- Попов Д.Н., Мохов И.Г. Экспериментальное исследование профилей местных скоростей в трубе при колебаниях расхода вязкой жидкости //Изв. Вузов. Машиностроение. 1971. № 7. С. 91–95.
- Uchida S. The pulsating viscous flow superposed on the stead laminar motion of incompressible fluid in a circular pipe // ZAMP 1956. vol. 7. № 5. P. 403–422.
- Ünsal B., Ray S., Durst F., Ertunç Ö. Pulsating laminar pipe flows with sinusoidal mass flux variations // Fluid Dynamics Research. 2005. vol. 37. P. 317–333.
- Зигель Р., Перлмуттер М. Теплоотдача при пульсирующем течении в канале // Теплопередача. М.: 1962. № 2. С. 18–32.
- Файзуллаев Д.Ф., Наврузов К. Гидродинамика пульсирующих потоков. Ташкент: Фан, 1986. 192 с.
- Валуева Е.П., Пурдин М.С. Гидродинамика и теплообмен пульсирующего ламинарного потока в каналах // Теплоэнергетика. 2015. № 9. С. 24–33.
- Валуева Е.П., Пурдин М.С. Пульсирующее ламинарное течение в прямоугольном канале // Теплофизика и аэродинамика. 2015. Т. 22. № 6. С. 761–773.
- Tsangaris S., Vlachakis N.W. Exact solution of the Navier–Stokes equations for the fully developed, pulsing flow in a rectangular duct with a constant cross-sectional velocity // J. Fluids Eng. 2003. V. 125. P. 382–385.
- Tsangaris S., Vlachakis N.W. Exact solution of the Navier-Stokes equations for the oscillating flow in a duct of a cross-section of right-angled isosceles triangle // ZAMP. 2003. V. 54. P. 1094–1100.
- Tsangaris S., Vlachakis N.W. Exact solution for the pulsating finite gap Dean flow // Appl. Math. Modelling. 2007. V. 31. P. 1899–1906. 21a. Георгиевский Д.В. Оценки экспоненциального затухания возмущений, наложенных на продольные гармонические колебания вязкого слоя // Дифференциальные уравнения. 2020. Т. 56. № 10. С. 1366–1375.
- Jons J.R., Walters T.S. Flow of elastic-viscous liquids in channels under the influence of a periodic pressure gradient // Part 1. Rheol. Acta. 1967. V. 6 P. 240–245.
- Khabakhpasheva E., Popov V., Kekalov A., and Mikhailova E. Pulsating flow of viscoelastic fluids in tubes // J. Non-Newtonian Fluid. Mech. 1989. V. 33(3). P. 289–304.
- Casanellas L., Ortin J. Laminar oscillatory flow of Maxwell and Oldroyd-B fluids// J. Non-Newtonian Fluid. Mechanics. 2011. 166. P. 1315–1326.
- Hassan A.Abu-El and El-Maghawru E.M. Unsteady axial viscoelastic pipe flows of an Oldroyd-B fluid in // Rheology-New concepic . Applications and Methods / Ed by Durairaj R. Published // Tech. 2013. Ch. 6. P. 91–106.
- Akilov Zh.A., Dzhabbarov M.S. and Khuzhayorov B.Kh. Tangential Shear Stress under the Periodic Flow of a Viscoelastic Fluid in a Cylindrical Tube// SSN 0015-4628. Fluid Dynamics. 2021. V. 56. № 2. P. 189–199.
- Ding Z., Jian Y. Electrokinetic oscillatory flow and energy microchannelis: a linear analysis // J. Fluid. Mech. 2021. V. 919. A20. P. 1–31.
- Попов Д.Н. Нестационарные гидромеханические процессы. М.: Машиностроение, 1982. 424 с.
- Астарита Дж., Марруччи Дж. Основы гидромеханики неньютоновских жидкостей. М.: Мир, 1978. 309 с.
- Лойцянский Л.Г. Механика жидкости и газа. М.: Дрофа, 2003. 840 с.
- Колесниченко В.И., Шарифулин А.Н. Введение в механику несжимаемой жидкости. Перим: Изд. Пермского нац. иссл. полит. ун-та, 2019. 127 с.
- Наврузов К. Гидродинамика пульсирующих течений в трубопроводах. Ташкент: Фан, 1986. 112 с.
Supplementary files






