Investigation of Flow and Spectral Characteristics in a Flow-Flow Hydrodynamic Generator of the Flat Type with Changes in the Degree of Flow Blockage
- Authors: Ganiev S.R.1, Kryukov A.I.1, Rudakov V.P.1, Shmyrkov O.V.1
-
Affiliations:
- Blagonravov Mechanical Engineering Research Institute of the Russian Academy of Sciences
- Issue: No 2 (2023)
- Pages: 3-8
- Section: Articles
- URL: https://ogarev-online.ru/1024-7084/article/view/135060
- DOI: https://doi.org/10.31857/S0568528122100176
- EDN: https://elibrary.ru/NSNGTU
- ID: 135060
Cite item
Full Text
Abstract
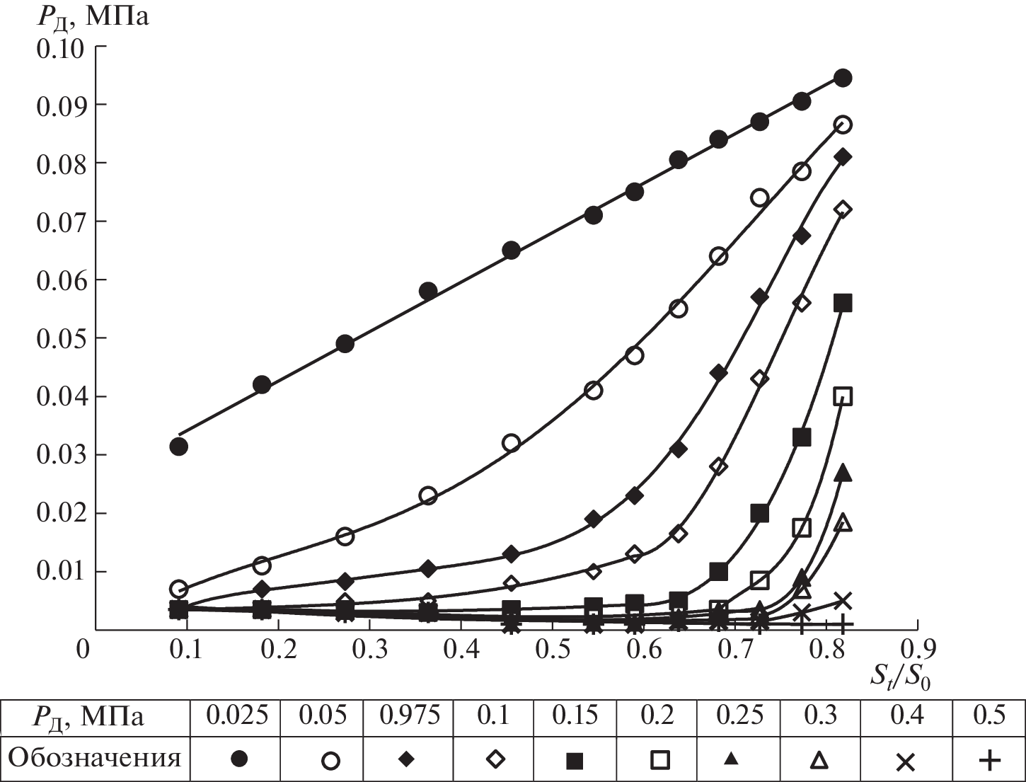
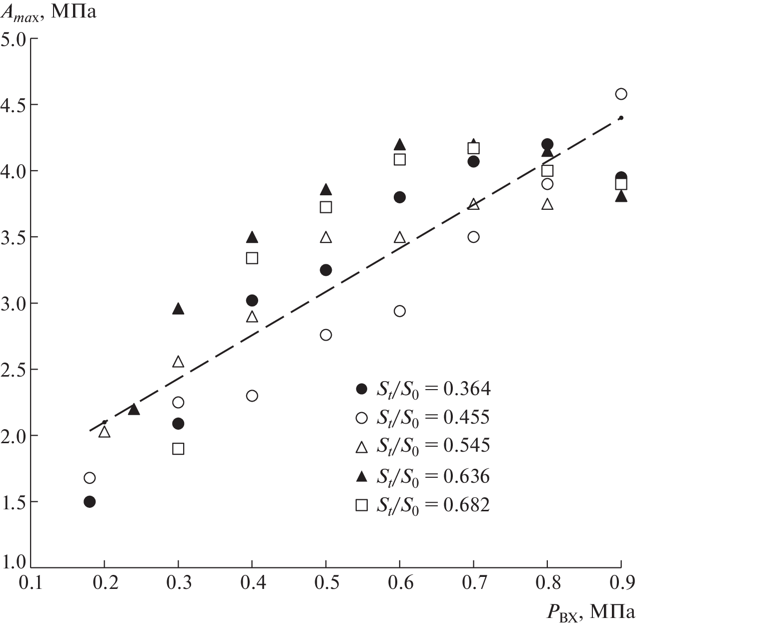
The paper presents the results of studying the flow past cylindrical bodies located in a flattype flow-through hydrodynamic generator. The result were obtained on the hydrodynamic test bench of the experimental base of the Scientific Center of the Mechanical Engineering Research Institute of the Russian Academy of Sciences with the degree of flow blockage by the bluff bodies St /S0 = 10– 82%, the Re numbers (0.5–5) × 105 , and the inlet pressure Рin= 0.1–0.9 MPa. It was found that at certain values of the inlet/outlet pressure ratio, which are constant for each of the degrees of flow blockage, powerful resonant-type pressure peaks arise at frequencies of 0.5–5 kHz with the amplitude more than 4–5 times higher than the maximum inlet pressure.
Keywords
About the authors
S. R. Ganiev
Blagonravov Mechanical Engineering Research Institute of the Russian Academy of Sciences
Email: lle@bk.ru
Moscow, Russia
A. I. Kryukov
Blagonravov Mechanical Engineering Research Institute of the Russian Academy of Sciences
Email: lle@bk.ru
Moscow, Russia
V. P. Rudakov
Blagonravov Mechanical Engineering Research Institute of the Russian Academy of Sciences
Email: v.p.rudakov@mail.ru
Moscow, Russia
O. V. Shmyrkov
Blagonravov Mechanical Engineering Research Institute of the Russian Academy of Sciences
Author for correspondence.
Email: lle@bk.ru
Moscow, Russia
References
- Ганиев Р.Ф., Украинский Л.Е. Нелинейная волновая механика и технологии. М.: Науч.-изд. Центр РХД, 2008. 712 с.
- Ганиев Р.Ф. Волновые машины и технологии (введение в волновую технологию). М.: Науч.-изд. Центр РХД, 2008. 192 с.
- Ганиев Р.Ф. Нелинейные резонансы и катастрофы. Надежность, безопасность и бесшумность. Науч.-изд. Центр РХД, 2013. 592 с.
- Ганиев Р.Ф., Кормилицын В.И., Украинский Л.Е. и др. Патент 2 306 972 МПК В01F 5/00. Устройство для гомогенизации и приготовления смесей. 2007. Бюл. № 27.
- Шальнев К.К. Критерий возникновения срывной кавитации круглого профиля // ДАН СССР. Гидромеханика. 1948 . Т. LXI. Вып. 5. С. 799–802.
- Шальнев К.К. Кинетическая структура срывной кавитации круглого профиля // ДАН СССР. Гидромеханика. 1954. Т. XCVII. Вып. 5. С. 785–788.
- Шальнев К.К. Давление и эрозия в области срывной кавитации круглого профиля // Изв. АН СССР. ОТН. 1954. Вып. 6. С. 111–119.
- Шальнев К.К. Условия интенсивности кавитационной эрозии // Изв. АН СССР, ОТН. 1956. Вып. 1. С. 3–20.
- Daily J.W. Cavitation Characteristics and Infinites Aspect – Ratio Characteristics of a Hydrofoil Section. Trans // ASME. 1949. V. 70. № 3.
- Эпштейн Л.А. Динамика каверн при течениях жидкости в трубке с пережатием // Тр. ЦАГИ им. проф. Н.Е. Жуковского. 1972.
- Пилипенко В.В. Кавитационные автоколебания. Киев: Наукова Думка, 1989. 314 с.
- Шмырков О.В., Юшков Н.Б., Кормилицын В.И. Исследование характеристик плоского генератора проточного типа с различными телами обтекания // Инж. журн. 2013. № 2. С. 12–19.
- Кормилицын В.И., Шмырков О.В., Юшков Н.Б. Особенности течения жидкости в плоском канале переменного сечения при высокой загроможденности препятствиями различного вида // ДАН. 2015. Т. 461. № 3. С. 277–280.
Supplementary files








