ИСПОЛЬЗОВАНИЕ ВОЛНОВЫХ ДВИЖИТЕЛЕЙ НА СУДНЕ С МАЛОЙ ПЛОЩАДЬЮ ВАТЕРЛИНИИ
- Авторы: Прокофьев В.В.1, Архангельский Е.А.1, Бойко А.В.1, Филатов Е.В.1
-
Учреждения:
- МГУ им. М.В. Ломоносова, Научно-исследовательский институт механики
- Выпуск: № 1 (2023)
- Страницы: 41-53
- Раздел: Статьи
- URL: https://ogarev-online.ru/1024-7084/article/view/135051
- DOI: https://doi.org/10.31857/S0568528122600564
- EDN: https://elibrary.ru/AJNUBP
- ID: 135051
Цитировать
Полный текст
Аннотация
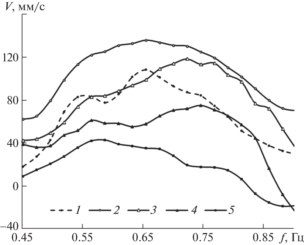
Экспериментально исследуется эффективность волновых движителей (ВД) двух типов (качающееся подпружиненное крыло и прямоточный ВД) на модели судна с малой площадью ватерлинии (СМПВ). В качестве рабочего элемента как качающегося, так и прямоточного ВД использовался профиль NACA0015. В случае прямоточного ВД плоский профиль был жестко закреплен относительно корпуса судна с наклоном хорды крыла 30°. Проведены исследования эффективности работы волновых движителей на волнах различной длины в зависимости от осадки корпусов СМПВ и, в случае качающегося подпружиненного крыла, также от глубины погружения движителя. С использованием результатов буксировочных испытаний проведена оценка силы тяги прямоточного ВД при различных условиях эксплуатации. Обнаружено, что с ростом глубины погружения корпусов судна эффективность прямоточного ВД растет, а качающегося ВД уменьшается, однако он в значительной мере сохраняет работоспособность, при условии, что рабочий элемент ВД остается на оптимальной глубине вблизи от поверхности воды.
Об авторах
В. В. Прокофьев
МГУ им. М.В. Ломоносова, Научно-исследовательский институт механики
Email: vlad.prokof@yandex.ru
Россия, Москва
Е. А. Архангельский
МГУ им. М.В. Ломоносова, Научно-исследовательский институт механики
Email: mailband@mail.ru
Россия, Москва
А. В. Бойко
МГУ им. М.В. Ломоносова, Научно-исследовательский институт механики
Email: mailband@mail.ru
Россия, Москва
Е. В. Филатов
МГУ им. М.В. Ломоносова, Научно-исследовательский институт механики
Автор, ответственный за переписку.
Email: mailband@mail.ru
Россия, Москва
Список литературы
- Прокофьев В.В., Филатов Е.В., Такмазьян А.К., Якимов А.Ю. Сравнительные исследования эффективности судовых волновых движителей различных типов // Инженерный журнал: наука и инновации. 2018. № 3. С. 1–17.
- Константинов Г.А., Якимов Ю.Л. Расчет тяги движителя судна, использующего энергию морских волн // Изв. РАН. МЖГ. 1995. № 3. С. 139–143.
- Очеретяный С.А., Прокофьев В.В., Такмазьян А.К., Филатов Е.В. Воздействие волн на погруженную в жидкость подвижную пластину: физический и численный эксперимент // Изв. РАН. МЖГ. 2013. № 4. С. 27–34.
- Прокофьев В.В., Такмазьян А.К., Филатов Е.В. Испытание и расчет движения модели судна c прямоточным волновым движителем // Изв. РАН. МЖГ. 2017. № 4. С. 24–38.
- Глушко В.Н. Исследование влияния параметров морского волнения на величину тяги, создаваемой волновым движителем в виде колеблющегося крыла с упругой заделкой // Прикладная гидромеханика. 2009. Т. 11. С. 47–53.
- Прокофьев В.В., Такмазьян А.К., Филатов Е.В. // Результаты испытаний судна с различными волновыми движителями в гидроканале // Изв. РАН. МЖГ. 2019. № 6. С. 38–47.
- Егоров Г.В. Проектирование и постройка коастеров и судов смешанного плавания. Одесса.: Издатель Николай Дубров. МИБ, 2008. 128 с.
Дополнительные файлы














