Behavioural and electrophysiological features of WAG/Rij rats with different forms of genetic epilepsy
- Authors: Abbasova К.R.1, Kuzhuget S.М.1, Tsyba Е.Т.1
-
Affiliations:
- Lomonosov Moscow State University
- Issue: Vol 110, No 10 (2024)
- Pages: 1733-1751
- Section: EXPERIMENTAL ARTICLES
- URL: https://ogarev-online.ru/0869-8139/article/view/274790
- DOI: https://doi.org/10.31857/S0869813924100116
- EDN: https://elibrary.ru/VQSNGW
- ID: 274790
Cite item
Full Text
Abstract
WAG/Rij rats are widely used as a genetic model of absence epilepsy. Approximately 15–50% rats of the strain are susceptible to audiogenic seizures. WAG/Rij rats demonstrate depressive-like behavior. After preliminary sound provocation an increased level of anxiety was found in audiogenic susceptible WAG/Rij subgroup. Electrophysiological and behavioral studies suggest the involvement of the dopaminergic system in both absence and audiogenic epilepsy. An increased binding density to dopamine receptors was found in the dorsal striatum subregions in audiogenic prone rats compared to non-audiogenic. The study aims were (1) to determine whether behavioral changes in WAG/Rij rats were genetically determined or induced by prior sound stimulation; (2) how regions of the dorsal striatum with different density of dopamine receptors in subpopulations of WAG/Rij rats are involved in the absence epilepsy control. The study was conducted using two rat groups: WAG/Rij-nonAGS (absence epilepsy) and WAG/Rij-AGS (mixed epilepsy). The study was performed using tests: “Elevated plus maze”, “Forced swimming” and “Three chamber sociability test”. High-frequency deep brain stimulation was performed for evaluation of dorsal striatum involvement in the absence seizure control. After experiments animals were tested for the susceptibility to audiogenic seizures. It demonstrated that the increased level of anxiety in WAG/Rij-AGS rats is genetically determined, while depressive-like behavior in WAG/Rij rats is not dependent on a predisposition to audiogenic seizures. Deviations in social behavior were observed in WAG/Rij-AGS rats. Stimulation of the dorsal striatum indicates differences in the control of absence and mixed forms of epilepsy in the
Full Text
ВВЕДЕНИЕ
Примерно 50% больных, страдающих эпилепсией, имеют сопутствующие аффективные состояния, такие как депрессия, тревожное состояние, психоз и расстройства аутистического спектра [1]. Распространенность депрессии и тревоги у пациентов с эпилепсией, по данным разных исследований, варьирует от 20 до 55% [2]. Крысы линии WAG/Rij являются общепризнанной линией крыс с неконвульсивной генерализованной формой абсансной эпилепсии [3]. Как оказалось, 15–50% от общего числа крыс линии WAG/Rij предрасположены к аудиогенным судорогам (конвульсивная форма) [4]. Это перекликается и с клиническими данными: у 40% больных с абсансной эпилепсией регистрируются конвульсивные формы эпилепсии [5]. Субпопуляцию крыс линии WAG/Rij с генетически детерминированной абсансной эпилепcией и предрасположенностью к аудиогенной эпилепсии (WAG/Rij-AGS) рассматривают как модель смешанной формы эпилепсии [4]. Экспериментальные исследования показывают связь между конвульсивными формами эпилепсии и тревожностью [6, 7]. Сравнение субпопуляций крыс линии WAG/Rij показало повышенный уровень тревожности у WAG/Rij-AGS со смешанной формой эпилепсии, так же как и для крыс Wistar с предрасположенностью к аудиогенной эпилепсии. Для определения предрасположенности к аудиогенной эпилепсии в этих экспериментах животные предварительно подвергались двухразовой звуковой стимуляции. Нельзя исключить, что предварительное воздействие аудиогенной стимуляции могло повлиять на результаты поведенческих тестов, особенно на уровень тревожности. Предполагается, что стрессовая звуковая стимуляция может влиять на уровень тревожности [8]. Депрессивноподобное поведение обнаружено у всех крыс линии WAG/Rij независимо от их предрасположенности к аудиогенным судорогам [8]. Таким образом, было предположено, что повышенный уровень тревожности связан с фактором «аудиогенность», а депрессивноподобное поведение крыс линии WAG/Rij связано с фактором «абсансность» [8]. Вопрос, являются ли наблюдаемые поведенческие нарушения генетическими или могут быть последствиями судорожного опыта вследствие звуковой стимуляции и могли повлиять на результаты экспериментов, остается открытым.
Электрофизиологические и поведенческие исследования показывают вовлеченность дофаминергической системы как в абсансную, так и в аудиогенную эпилепсию. Предполагается, что депрессивноподобное поведение, обнаруженное у крыс линии WAG/Rij в поведенческих тестах, связано с гипофункцией дофаминергической системы: острое введение селективного антагониста D2/D3-рецепторов раклоприда усиливало выраженность депрессии и подавляло антидепрессивный эффект при хроническом введении имипрамина. Введение неселективного агониста D1- и D2-подобных дофаминовых рецепторов апоморфина подавляло абсансную активность, в то время как введение неселективного антагониста D1- и D2-подобных дофаминовых рецепторов галоперидола оказывало противоположное действие [9].
Показано, что стриатум способен модулировать активность верхнего двухолмия (SC) [10], тем самым участвуя в регуляции аудиогенной эпилепсии. Передача возбуждения на глубинные слои SC критически необходима для формирования двигательного возбуждения при аудиогенном припадке [11]. Введение субконвульсивной дозы антагониста ГАМК-рецепторов пикротоксина в верхнее двухолмие (SC) на фоне фокальных микроинъекций апоморфина в стриатум стимулировало развитие дикого бега [12], который является первой фазой аудиогенного припадка.
В инициации и поддержании абсансной эпилепсии критическую роль отводят кортико-таламическому контуру [13, 14]. Экспериментальные исследования показали, что базальные ганглии и их основной нейротрансмиттер дофамин играют роль “системы дистанционного управления абсансной эпилепсии” [15]. Результаты экспериментальных исследований и клинические данные подтверждают, что связанные с эпилепсией изменения в аминергическом балансе мозга могут быть субстратом для ряда психических и поведенческих сопутствующих заболеваний [16, 17]. У крыс линии WAG/Rij плотность как D1-, так и D2-рецепторов в дорсальном стриатуме ниже по сравнению с ACI – линией крыс, устойчивой к эпилепсии. В то же время во фронтальной и теменной областях коры плотность D2-рецепторов у WAG/Rij выше, чем у ACI [18].
Ранее нами было показано различие в плотности распределения дофаминовых рецепторов в стриатуме у четырех групп крыс: у аудиогенных крыс линии Kрушинского – Молодкиной (КМ), WAG/Rij-nonAGS (крысы линии WAG/Rij с абсансной эпилепсией), WAG/Rij-AGS (крысы линии WAG/Rij с абсансной и аудиогенной эпилепсией) и у крыс Wistar без абсансной и аудиогенной эпилепсии. В дорсальном стриатуме была обнаружена область, где плотность дофаминовых рецепторов у аудиогенных крыс (когорты KM и у WAG/Rij-AGS) была выше, чем у неаудиогенных крыс контроля (WAG/Rij-nonAGS и Wistar) [9]. Отличие уровня тревожности у WAG/Rij-nonAGS и WAG/Rij-AGS, корреляция между каталепсией и уровнем тревожности у WAG/Rij-AGS, а также вовлеченность дофаминовой системы в модуляцию абсансной эпилепсии позволили нам предположить, что стриатные области с разной плотностью дофаминовых рецепторов у WAG/Rij-nonAGS и WAG/Rij-AGS могут по-разному контролировать судороги различного типа. Для проверки этого предположения мы использовали метод прямой высокочастотной электрической стимуляции структур мозга, вызывающей десинхронизацию контуров, вовлеченных в эпилептическую активность.
Целью данного исследования было выяснить, во-первых, являются ли сопутствующие коморбидные состояния, наблюдаемые в поведенческих тестах у обеих субпопуляций крыс линии WAG/Rij, генетически обусловленными или вызваны предварительными звуковыми стимуляциями. И во-вторых, как вовлечены области дорсального стриатума с разной плотностью D1- и D2-подобных дофаминовых рецепторов у двух субпопуляций крыс линии WAG/Rij (только с абсансной или и с абсансной, и с аудиогенной активностью) в контроль судорог разного типа.
МЕТОДЫ ИССЛЕДОВАНИЯ
Объект исследования
Исследование проведено на половозрелых самцах крыс линии WAG/Rij (n = 32) в возрасте 6–7 месяцев и крыс стока Wistar (n = 13) того же возраста и пола. Исследование субпопуляций крыс WAG/Rij было поделено на два этапа: исследование поведения (WAG/Rij, n = 20, Wistar, n = 13) и электрофизиологическое исследование областей стриатума с разной плотностью дофаминовых рецепторов (WAG/Rij, n = 12). Тестирование на предрасположенность к аудиогенной эпилепсии проводилось после проведения всех экспериментов.
Крысы линии WAG/Rij были рождены и выращены на биологическом факультете МГУ имени М. В. Ломоносова, крысы стока Wistar приобретены в питомнике лабораторных животных «Столбовая». Все животные содержались в виварии в стандартных условиях с 12-часовым световым циклом (09:00–21:00) при комнатной температуре 20 ± 2 оC и относительной влажности воздуха около 60%. Животных размещали в стандартных пластиковых клетках группами по 4–5 животных в клетке. Все животные получали стандартный пищевой рацион (сухой полнорационный гранулированный экструдированный комбикорм, ООО “ЛАБОРАТОРКОРМ”, Россия) и имели свободный доступ к пище и воде. В постоперационный период животных содержали в специальных индивидуальных боксах размером 30 х 30 х 30 см со свободным доступом к воде и корму. После проведения всех серий экспериментов по результатам тестирования на предрасположенность к аудиогенной эпилепсии животные были разделены на группы: AGS – предрасположенные к аудиогенной эпилепсии крысы, nonAGS – не предрасположенные.
Поведенческое исследование
Поведение животных (WAG/Rij, n = 20, Wistar, n = 13) исследовали при помощи следующих тестов: «Приподнятый крестообразный лабиринт» (ПКЛ), «Вынужденное плавание» (ВП), социальное поведение оценивали в тесте «Трехкамерный социальный лабиринт» (ТСЛ). Тесты проводились в разные дни с интервалом не менее 3 дней и были упорядочены по возрастанию стрессогенности (ПКЛ – ТСЛ – ВП). Тестирование крыс на предрасположенность к аудиогенной эпилепсии проводили после завершения всех поведенческих тестов (рис. 1), чтобы исключить предварительное влияние звуковых стимуляций.
Рис. 1. Схема исследования.
Поведенческие тесты: Приподнятый крестообразный лабиринт, Трехкамерный социальный лабиринт, Вынужденное плавание. Интервал между тестами – 3 дня. Спустя 7 дней после завершения исследования поведения проводили тестирование на аудиогенную эпилепсию.
Тест «Приподнятый крестообразный лабиринт». Оценку уровня тревожности животных проводили в тесте ПКЛ [19]. Экспериментальная камера лабиринта состояла из четырех расходящихся из центра рукавов (длина рукавов – 50 см, ширина – 15 см, высота стенок – 30 см). Два противоположных рукава были закрыты с торцов стенками (освещенность 10 лк); два других – открыты и ярко освещены (400 лк). Лабиринт был установлен на высоте 55 см от пола. Животное помещали в центр лабиринта напротив закрытого рукава и в течение 5 мин оценивали следующие показатели: латентный период захода в закрытый отсек, общее время нахождения на открытых рукавах, количество выходов на открытые рукава, количество свешиваний с открытых рукавов, количество выглядываний из закрытых рукавов, вертикальную двигательную активность (стойки), количество актов груминга.
Тест «Трехкамерный социальный лабиринт». Тест ТСЛ изначально был описан для мышей [20], а позже адаптирован для крыс [21]. Для оценки социального взаимодействия был использован Т-образный лабиринт с двумя отсеками (центральный отсек был закрыт). Тест состоял из двух сессий длительностью 10 мин. Перед экспериментом испытуемую крысу предварительно помещали в лабиринт с двумя пустыми камерами для адаптации в течение 2 мин.
В первую сессию (оценка социального поведения) в один из боковых отсеков Т-образного лабиринта, отделенных двойной решеткой, помещали крысу того же возраста и пола, ранее незнакомую для испытуемого животного (стимул), а второй боковой отсек оставляли пустым. Во время второй сессии (оценка стремления к социальной новизне) в ранее пустой боковой отсек помещали другую незнакомую крысу, которая представляла собой «новый стимул», а крыса с первой сессии оставалась на том же месте и являлась «старым стимулом». Между сессиями испытуемое животное отсаживали в переноску. После каждого животного пол лабиринта тщательно очищали 10%-ным раствором этанола. Во время эксперимента оценивалось время, проведенное у каждого бокового отсека, количество контактов (просовывание носа между прутьями решетки), количество стоек и актов груминга.
Тест «Вынужденное плавание». В тесте ВП, основанном на методе Порсолта [22] в модификации Щетинина с соавт. [23], оценивали депрессивноподобное поведение. Для этого крыс помещали в цилиндр высотой в 50 см и диаметром 25 см, заполненный водопроводной водой до уровня 35 см. Температура воды составляла 25 ± 1 оС. Экспериментальные сессии длились 10 мин. Оценивали следующие параметры:
- латентный период первого акта активного плавания – крыса совершает энергичные движения всеми лапами, активно перемещаясь внутри емкости (включая карабканье);
- суммарную длительность активного плавания – крыса совершает активные плавательные движения, перемещаясь внутри емкости (включая карабканье);
- латентный период и длительность первого акта неподвижности – отсутствие плавательных движений;
- суммарную длительность периодов неподвижности – животное практически неподвижно, движения направлены только на поддержание тела на поверхности воды.
Электрофизиологическое исследование
Для регистрации ЭЭГ-сигналов, а также стимуляции с обратной связью (импульсы подаются в момент появления разрядов на ЭЭГ) экспериментальным животным (WAG/Rij, n = 12, самцы) унилатерально имплантировали биполярные электроды. Электрод состоял из основания в виде скрученной нихромовой проволоки диаметром 0.25 мм, спаянного в двух местах с медной проволокой, остающейся на поверхности черепа. Перед операцией животное помещали в камеру, в которую на протяжении 3 мин подавали ингаляционный наркоз Изофлуран (Baxter, США) в концентрации 5%. Затем крысу помещали в стереотаксис, продолжая подавать Изофлуран через маску, закрепленную поверх зубного держателя, постепенно снижая концентрацию с 2.5% до 1.5%. В качестве местной анестезии использовали 2%-ный раствор новокаина для инъекций. После успешной анальгезии над поверхностью черепа состригали шерсть, с помощью ножниц и 30%-ного раствора перекиси водорода удаляли кожу и мягкие ткани. Далее тщательно высушивали череп и, используя бур, просверливали небольшие отверстия для электродов и крепежных винтов. Электроды припаивали к наружному контакту одним быстрым движением и закрепляли с помощью самозатвердевающего полимерного материала «Белакрил»-М ХО Р («ВладМиВа», Россия). Электроды, используемые в эксперименте, были изготовлены из нихрома в лаковой изоляции.
Координаты для вживления электродов определяли с помощью стереотаксического атласа мозга крысы [24]. Биполярные электроды вживляли в соматосенсорную кору (SSC) (AP = –1.5; ML = +4.5; H = –2) и дорсальный стриатум (DS) (AP = +1; ML = +2.6; H = –4.2). В затылочную кость вживляли электрод заземления и крепежный винт. После операции и в течение всего эксперимента животных содержали в индивидуальных прозрачных пластиковых боксах размером 30 х 30 х 30 см с доступом к воде и корму ad libitum. Реабилитационный период после операции составлял не менее 7 дней.
Регистрация ЭЭГ и стимуляция с обратной связью. После семидневного реабилитационного периода проводили регистрацию ЭЭГ и стимуляцию структур. Биполярные электроды использовали как для регистрации ЭЭГ, так и для стимуляции структур от координат, представленных в статье. К электродам присоединяли кабель, соединенный с регистрирующим устройством и стимулятором. Запись осуществляли при помощи датчика BioRecorder 8Channels (BioRecorder, Россия), полученные данные от устройства визуализировали в программе EDFbrowser (Teunis van Beelen, Нидерланды).
В первый день регистрировали базовую ЭЭГ. Запись базовой ЭЭГ проводили через те же биполярные электроды. На следующий день осуществляли поиск порога стимуляции для исследуемых структур. Для этого в ответ на начало разряда вручную подавали короткую пачку импульса частотой 130 Гц длительностью 1 с. Задержка после появления разряда составляла не менее 1 с (для генерализации приступа) и не более 3 с. Длительность импульса составляла 300 мкс. Стимуляцию начинали со значения амплитуды импульса 25 мкА, затем постепенно повышали с шагом 25 мкА. Пороговыми считались те параметры, в ответ на воздействие которых последовательно прерывалось три разряда. Диапазон значений составил 150–250 мкА.
В последующие дни записи поочередно проводили высокочастотную (130 Гц) стимуляцию с обратной связью для соматосенсорной коры и дорсального стриатума с перерывом между стимуляциями не менее 7 дней. В день записи первый час регистрировали базовую запись, во второй час проводили высокочастотную стимуляцию выбранной структуры (соматосенсорной коры или дорсального стриатума), далее – регистрировали возможные отставленные эффекты в течение 3 ч. Схема эксперимента приведена на рис. 2. Сравнивали процент прерванных разрядов во время стимуляции между аудиогенной и неаудиогенной группами крыс, а также количество, среднюю продолжительность разрядов для базовой записи во время и после стимуляции. После окончания экспериментов крысы тестировались на предрасположенность к аудиогенной эпилепсии, как и после поведенческих тестов.
Рис. 2. Схема электрофизиологического эксперимента. SSC – соматосенсорная кора, DS – дорсальный стриатум.
После окончания эксперимента проводили морфоконтроль. Крыс наркотизировали комбинацией препаратов Золетил (5 мг/100г) + Ксилазин и проводили транскардиальную перфузию физиологическим раствором и 4%-ным раствором формальдегида. Затем мозг извлекали. Для дополнительной фиксации мозг помещали в 4%-ный раствор формальдегида на неделю, затем перемещали в 30%-ный раствор сахарозы. Когда мозг погружался на дно сосуда, его извлекали и нарезали на микротоме, соединенном с криотомом. Под микроскопом уточняли место локализации кончиков электродов во вживляемых структурах, делали снимки в программе ScopePhoto. Анализировали данные только тех крыс, у которых было подтверждено верное положение кончиков электродов.
Тестирование на аудиогенную эпилепсию
После проведения всех экспериментов для тестирования на предрасположенность к аудиогенной эпилепсии крыс однократно помещали в звукоизолированную камеру и подвергали действию звука громкостью 120 дБ максимально в течение 90 с. Звуковой стимул прерывали в том случае, если у животного развивались судороги. Если в ответ на звуковой стимул не было судорог, то длительность звукового стимула составляла 90 с. Во время тестирования регистрировали латентный период начала припадка, длительность двигательного возбуждения. Тяжесть судорог оценивали по шкале Крушинского:
0 – отсутствие реакции;
1 – «дикий бег»;
2 – падение на брюшко и клонические судороги;
3 – падение на бок с тоническим напряжением мышц туловища и резко
выраженными клоническими судорогами конечностей;
4 – тонические судороги всей мускулатуры и приостановка дыхания.
Крысы, у которых в ответ на звуковую стимуляцию не развивалось никакой реакции (отсутствие двигательного возбуждения и судорог), считались неаудиогенными (nonAGS), а крысы, у которых регистрировали развитие судорожного припадка, считались предрасположенными к аудиогенной эпилепсии (AGS).
Статистическая обработка результатов
Статистический анализ проводили в программе GraphPad Prism 8.4.3 (PraphPad Software, Inc., 2020, США). Для проверки нормальности распределения данных использовали критерий Шапиро – Уилка. Данные экспериментов оформлены и представлены в виде среднего значения ± стандартной ошибки среднего (M ± SEM) при нормальном распределении и в виде медианы ± интерквартильного размаха (Me ± IQR) при распределении, отличном от нормального. В тексте значения представлены в виде M ± SEM, в ином случае вид указан в скобках. Для статистической обработки в случае нормального распределения использовали t-критерий Стьюдента, а при распределении, отличном от нормального – тест Манна – Уитни. При сравнении трех и выше групп применяли дисперсионный анализ. Для установления влияния одного фактора использовали однофакторный дисперсионный анализ One-way ANOVA, а для установления влияния двух факторов – двухфакторный дисперсионный анализ Two-way ANOVA. Для исключения статистических выбросов использовали критерий ROUT при Q > 1%. Как статистически значимый уровень доверительной вероятности приняли p < 0.05.
РЕЗУЛЬТАТЫ ИССЛЕДОВАНИЯ
При тестировании на предрасположенность к аудиогенной эпилепсии у 40% от общего числа исследуемых крыс линии WAG/Rij в ответ на звуковой стимул развились судороги низкой интенсивности, характеризующиеся разделением первой фазы припадка двигательного возбуждения на две волны тормозной паузой длительностью 15.1 ± 5.4 с. Длительный латентный период начала аудиогенного припадка (14.2 ± 2.9 с) указывает на его низкую интенсивность.
Поведенческое исследование
Оценка параметров поведения в тесте ПКЛ выявила повышенный уровень тревожности у субпопуляции крыс линии WAG/Rij, предрасположенных к аудиогенной эпилепсии (WAG/Rij-AGS). One-way ANOVA показал статистически значимые отличия по фактору «Группа» во времени пребывания в закрытых рукавах лабиринта (F2, 26 = 4.7, p < 0.05) и во времени на свету (суммарное время, проведенное в центральном отсеке и в открытых рукавах) (F2, 26 = 4.7, p < 0.05). Крысы WAG/Rij-AGS достоверно больше времени провели в закрытых рукавах ПКЛ (рис. 3a) по сравнению с крысами WAG/Rij-nonAGS (Wistar-nonAGS: 230.4 ± 2.1 c, n = 9; WAG/Rij-nonAGS: 222.3 ± 15.1 с, n = 12; WAG/Rij-AGS: 270.0 ± 6.7 с, n = 8; сравнение WAG/Rij-nonAGS и WAG/Rij-AGS: p < 0.05, One-way ANOVA с поправкой Тьюки на множественное сравнение). Не обнаружили достоверных отличий во времени в закрытых рукавах между группами «Wistar-nonAGS» и «WAG/Rij-nonAGS» (p = 0.8), «Wistar-nonAGS» и «WAG/Rij-AGS» (p = 0.07). Время пребывания на свету (рис. 3b) у WAG/Rij-AGS было достоверно короче, чем у неаудиогенных WAG/Rij-nonAGS (Wistar-nonAGS: 69.6 ± 2.1 с, n = 9; WAG/Rij-nonAGS: 77.8 ± 15.1 с, n = 12; WAG/Rij-AGS: 30.0 ± 6.7 с, n = 8; сравнение WAG/Rij-nonAGS и WAG/Rij-AGS: p < 0.05, One-way ANOVA с поправкой Тьюки на множественное сравнение). Достоверных отличий во времени на свету между группами «Wistar-nonAGS» и «WAG/Rij-nonAGS» (p = 0.8), «Wistar-nonAGS» и «WAG/Rij-AGS» (p = 0.07) не обнаружили. Тест Крускала – Уоллиса показал значимое отличие по фактору «Группа» в количестве свешиваний с открытых рукавов лабиринта (p < 0.05). Крысы WAG/Rij-AGS совершали меньшее количество свешиваний (рис. 3c) с открытых рукавов ПКЛ (Wistar-nonAGS: 2.0 ± 7.5 (Me ± IQR), n = 9; WAG/Rij-nonAGS: 7.0 ± 10.0 (Me ± IQR), n = 12; WAG/Rij-AGS: 2.0 ± 1.8 (Me ± IQR), n = 8; сравнение WAG/Rij-nonAGS и WAG/Rij-AGS: p < 0.05, тест Данна). Не обнаружили достоверных отличий в количестве свешиваний между группами «Wistar-nonAGS» и «WAG/Rij-nonAGS» (p = 0.07), «Wistar-nonAGS» и «WAG/Rij-AGS» (p > 1). Достоверных отличий между группами по количеству выглядываний из закрытого рукава, количеству стоек и количеству актов груминга не обнаружили.
Рис. 3. Тест «Приподнятый крестообразный лабиринт». Сравнение групп «Wistar-nonAGS», «WAG/Rij-nonAGS» и «WAG/Rij-AGS». (a) – время в закрытых рукавах, * p < 0.05, One-way ANOVA с поправкой Тьюки на множественное сравнение, данные представлены в виде M ± SEM; (b) – время на свету, * p < 0.05, One-way ANOVA с поправкой Тьюки на множественное сравнение, M ± SEM; (c) – количество свешиваний с открытых рукавов, *p < 0.05, критерий Крускала – Уоллиса с использованием теста Данна для множественного сравнения, Me ± IQR.
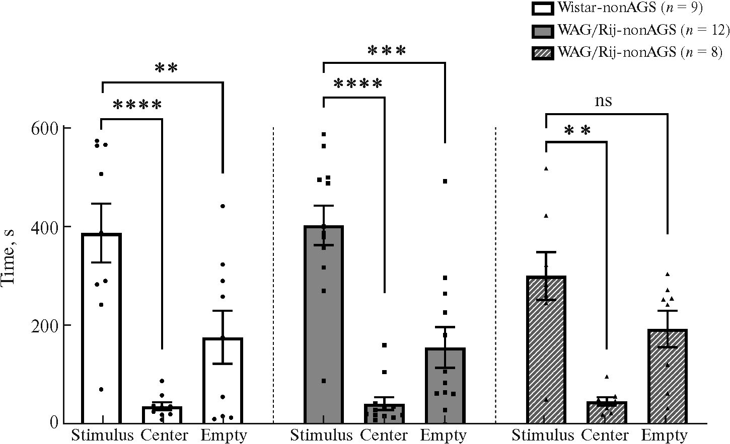
В тесте ТСЛ в первой посадке теста с помощью Two-way ANOVA (факторы анализа – «Группа» и «Отсек») обнаружили статистически значимое отличие по фактору «Отсек» (F2, 36 = 24.02, p < 0.0001). Крысы WAG/Rij-nonAGS и Wistar-nonAGS значимо больше времени проводили рядом со стимульной крысой по сравнению с пустым отсеком, в то время как крысы WAG/Rij-AGS не отдавали значимого предпочтения отсеку рядом с животным (рис. 4). Результаты представлены в табл. 1.
Рис. 4. Тест «Трехкамерный социальный лабиринт», первая посадка. * – достоверные отличия от времени, проведенного в отсеке рядом со стимулом (Two-way ANOVA, поправка Сидака для множественного сравнения). Данные представлены в виде среднего значения и стандартной ошибки среднего.
Таблица 1. Результаты первой посадки теста «Трехкамерный социальный лабиринт»
Отсек | Wistar-nonAGS n = 9 | WAG/Rij-nonAGS n = 12 | WAG/Rij-AGS n = 8 |
stimulus | 386.6 ± 67.2 | 402.1 ± 40.1 | 300.0 ± 55.5 |
center | 37.1 ± 8.9**** | 42.3 ± 13.0**** | 46.7 ± 9.9** |
empty | 176.3 ± 60.5** | 155.7 ± 41.1*** | 184.3 ± 41.4 ns |
Примечание. Данные представлены в виде среднего значения и стандартной ошибки среднего. * – время, проведенное в отсеке (в секундах), сравнивали со временем в стимульном отсеке для каждой группы. Использовали Two-way ANOVA с поправкой Сидака для множественного сравнения.
При сравнении времени, проведенного в каждом отсеке, между группами статистически значимых отличий не обнаружили. По количеству контактов, количеству стоек и актов груминга группы Wistar-nonAGS, WAG/Rij-nonAGS и WAG/Rij-AGS не отличались. Во время второй посадки (оценка стремления к социальной новизне) различий между исследованными группами не обнаружили.
В тесте ВП One-way ANOVA показал статистически значимые отличия по фактору «Группа» во времени активного плавания (F2, 26 = 7.2, p < 0.001) и в длительности периодов неподвижности (F2, 26 = 6.1, p <0.001). Результаты представлены в табл. 2. Крысы WAG/Rij-nonAGS не отличались от крыс WAG/Rij-AGS по времени активного плавания и неподвижности, но обе группы отличались от крыс Wistar-nonAGS (рис. 5a, b). Было проведено сравнение крыс линии WAG/Rij с крысами стока Wistar без деления по признаку аудиогенности (рис. 5c, d), при этом у крыс линии WAG/Rij (WR) зафиксировали меньшее время активного плавания и большее время неподвижности по сравнению с крысами Wistar (WS).
Таблица 2. Результаты теста «Вынужденное плавание»
Параметр | Wistar-nonAGS n = 9 | WAG/Rij-nonAGS n = 12 | WAG/Rij-AGS n = 8 | Wistar n = 13 | WAG/Rij n = 20 |
Время активного плавания, с | 90.7 ± 15.8 | 42.9 ± 5.6** | 39.0 ± 9.8** | 80.3 ± 12.4 | 44.1 ± 5.0## |
Длительность периодов неподвижности, с | 267.9 ± 23.9 | 356.8 ± 15.4 ** | 348.8 ± 21.6* | 260.4 ± 21.7 | 352.2 ± 12.5### |
Примечание. Данные представлены в виде среднего значения и стандартной ошибки среднего. * – сравнение с Wistar-nonAGS (One-way ANOVA с поправкой Тьюки), # – сравнение Wistar и WAG/Rij (непарный t-критерий).
Рис. 5. Тест «Вынужденное плавание». Сравнение времени активного плавания (a) и времени неподвижности (b) у крыс Wistar-nonAGS, WAG/Rij-nonAGS и WAG/Rij-AGS. * – достоверные отличия от Wistar-nonAGS (One-way ANOVA c поправкой Тьюки), значимых отличий между крысами WAG/Rij-nonAGS и WAG/Rij-AGS не обнаружили. Сравнение времени активного плавания (c) и времени неподвижности (d) у крыс Wistar (WS) и WAG/Rij (WR). # – достоверные отличия, непарный t-критерий. Данные представлены в виде среднего значения и стандартной ошибки среднего.
Электрофизиологическое исследование
При высокочастотной стимуляции соматосенсорной коры и дорсального стриатума оценивали эффективность прерывания характерных для абсансной эпилепсии пик-волновых разрядов (ПВР). Для этого количество прерванных ПВР делили на общее количество ПВР во время стимуляции без учета пропущенных приступов. Результаты представлены в табл. 3.
Таблица 3. Процент прерванных разрядов во время высокочастотной стимуляции соматосенсорной коры (SSC) и дорсального стриатума (DS) для крыс линии WAG/Rij с предрасположенностью к аудиогенным судорогам (WAG/Rij-AGS) и без нее (WAG/Rij-nonAGS)
Стимулируемые структуры | WAG/Rij-nonAGS | WAG/Rij-AGS |
SSC 130 Гц | 70.2% (n = 6) | 51.5% (n = 6) |
DS 130 Гц | 0% (n = 6) | 92.6% (n = 6) |
Было показано, что высокочастотная стимуляция (130 Гц) дорсального стриатума эффективно прерывает ПВР только у крыс линии WAG/Rij-AGS, предрасположенных к аудиогенной эпилепсии. У крыс WAG/Rij-nonAGS данный режим стимуляции не прерывал ПВР (AGS: 92.6 ± 19.9%, n = 6; non-AGS: 0 ± 0%, n = 6, р = 0.03, тест Манна – Уитни, табл. 3) (рис. 6a, b). Высокочастотная стимуляция соматосенсорной коры прерывала ПВР у обеих субпопуляций крыс линии WAG/Rij. При высокочастотной стимуляции соматосенсорной коры достоверных различий между аудиогенными и неаудиогенными группами крыс получено не было (p > 0.05, тест Уэлча) (рис. 6c, d).
Рис. 6. Средняя продолжительность разрядов до (baseline), во время (130 Hz) и после (1/2/3h) высокочастотной стимуляции дорсального стриатума (a, b) и соматосенсорной коры (c, d) у неаудиогенной и у аудиогенной группы крыс линии WAG/Rij. *p < 0.05, **p < 0.01 (DS – однофакторный дисперсионный анализ ANOVA, тест Холма – Сидака; SSC – критерий Фридмана). Данные представлены в виде среднего значения и стандартной ошибки среднего.
В течение высокочастотной стимуляции дорсального стриатума у аудиогенной группы (рис. 6b) однофакторный дисперсионный анализ показал значимый эффект фактора «Стимуляция» (F1.6, 7.8 = 17.8), а проведенный апостериорный тест Холма – Сидака выявил различия между средними значениями групп «baseline» (9.1 ± 1.2 с) и «stimulation 130 Hz» (4.3 ± 1.7 с), p < 0.01. Также в течение высокочастотной стимуляции соматосенсорной коры у неаудиогенной (рис. 6c) группы крыс линии WAG/Rij наблюдали достоверное снижение средней продолжительности разрядов (baseline: 4.5 ± 1.3 с; stimulation 130 Hz: 3.1 ± 1.0 с, p < 0.05). Анализ данных в течение трех часов после стимуляции достоверных различий не показал. По параметру «количество разрядов» статистически значимых отличий не было обнаружено.
ОБСУЖДЕНИЕ РЕЗУЛЬТАТОВ
Поведенческое исследование
Результаты нашего исследования показали повышенный уровень тревожности у субпопуляции крыс линии WAG/Rij, чувствительных к аудиогенной эпилепсии, по сравнению с неаудиогенными крысами WAG/Rij до запуска эпилептического контура, участвующего в развитии аудиогенного припадка. На это указывают статистически значимо повышенное время нахождения аудиогенных крыс линии WAG/Rij в темных рукавах ПКЛ, сниженное время нахождения на свету и меньшее количество свешиваний с открытых рукавов по сравнению с неаудиогенными крысами. Можем предположить, что повышенная тревожность у аудиогенной субпопуляции крыс не является следствием воздействия звуковых стимуляций на структуры, участвующие в генерации аудиогенного припадка, а обусловлена генетическими особенностями развития и функционирования мозга. Связанное с аудиогенностью повышение плотности связывания с D1DR и D2DR было показано в дорсальном стриатуме и моторной коре [9]. Из клинических исследований известна положительная корреляция между эффективностью когнитивно-поведенческой терапии и снижением показателя связывания меченого антагониста D2-рецепторов у пациентов с социальной тревожностью [25]. Это может указывать на связь между высоким уровнем рецепторной активности D2-рецепторов и проявлениями тревожности.
В тесте ВП, где оценивали депрессивноподобное поведение, при сравнении двух субпопуляций крыс WAG/Rij различий не зарегистрировали, однако обнаружили отличие обеих групп от неаудиогенных крыс Wistar. Тест ВП является одним из наиболее часто используемых тестов для оценки депрессивноподобного поведения у грызунов, в том числе в моделях психических расстройств [26]. Но в последнее время интерпретация результатов этого теста подвергается сомнению. Предполагается, что тест ВП оценивает стратегии преодоления острого неизбегаемого стресса, а не депрессивноподобное поведение у животных [27]. В этом случае неподвижность отражает пассивную стратегию, а активное плавание – активную стратегию преодоления стресса, вызванного неизбегаемым плаванием [27, 28]. Было высказано предположение, что неподвижность в тесте ВП является адаптивной реакцией и отражает переход от активных стратегий выживания к пассивным, а увеличение длительности активного поведения связано с повышенной тревожностью [28]. Тест ВП позволяет зарегистрировать поведенческую реакцию на действие неизбегаемого стрессора, которая может быть нарушена при депрессии и ряде других расстройств. Состояния, которые, как считается, способствуют развитию депрессии у людей, как правило, смещают показатели теста ВП у грызунов в сторону пассивной стратегии преодоления [29]. Мы предполагаем, что увеличение длительности неподвижности, зарегистрированное в наших экспериментах, может свидетельствовать о депрессивноподобном поведении крыс WAG/Rij обеих субпопуляций.
Ранее было показано, что проявления депрессивноподобного поведения у крыс линии WAG/Rij снижаются при фармакологическом подавлении ПВР. Крысы WAG/Rij, получавшие длительное лечение в раннем возрасте противоабсансным препаратом Ethosuximide, не проявляли симптомов депрессивноподобного поведения, в отличие от крыс WAG/Rij того же возраста, не получавших лечения [30]. У них также снижалась абсансная активность. Другими словами, снижение абсансной активности приводило к отмене депрессивноподобного поведения. Известны три генетические животные модели депрессии: Flinders Sensitive (FSL) [31], Maudsley Reactive [32] и римская модель низкого избегания [33]. Крысы WAG/Rij более схожи с крысами FSL: у обеих линий депрессивноподобные изменения поведения не связаны с повышенной тревожностью. Особенностью животных FSL является то, что у них депрессивноподобное поведение появляется после хронического легкого стресса [34]. Наши результаты показывают, что крысы линии WAG/Rij обладают признаками депрессивноподобного поведения в исходных условиях, т. е. депрессивноподобное поведение генетически обусловлено и не зависит от предрасположенности к аудиогенной эпилепсии и экспозиции звуковой стимуляции.
В нашем исследовании статистически значимые отклонения в социальном поведении крыс WAG/Rij-AGS были зарегистрированы только в первой сессии теста ТСЛ. Крысы WAG/Rij-nonAGS, как и крысы Wistar-nonAGS, проявляли заинтересованность в социальном объекте, в то время как у крыс WAG/Rij-AGS подобного социального предпочтения не обнаружили. Во время второй сессии (оценка стремления к социальной новизне) различий между группами Wistar-nonAGS, WAG/Rij-nonAGS и WAG/Rij-AGS не обнаружили. У крыс линии КМ, выведенной из материнского стока Wistar по признаку аудиогенности, были зарегистрированы отклонения в социальном поведении в обеих сессиях – в условиях латентной аудиогенной эпилепсии [35]. Позже было показано, что после предварительного трехразового предъявления аудиогенной стимуляции у крыс КМ также наблюдается социальный дефицит без существенных изменений [36].
Наши результаты показывают, что у крыс линии WAG/Rij с латентной аудиогенной эпилепсией наблюдаются отклонения в социальном поведении, однако нарушения в стремлении к социальной новизне, подобные обнаруженным у аудиогенных крыс КМ [35], отсутствуют. Можем предположить, что социальные нарушения у крыс линии WAG/Rij генетически обусловлены, но выраженность проявления зависит от степени развития аудиогенной эпилепсии. Действительно, у крыс WAG/Rij-AGS в ответ на звуковой стимул развивались судороги низкой интенсивности с разделением на две волны с тормозной паузой, длительным латентным периодом, что указывает на низкую интенсивность аудиогенного припадка. Крысы КМ, в отличие от WAG/Rij-AGS, демонстрируют судороги максимальной интенсивности с коротким латентным периодом начала без тормозной паузы.
Электрофизиологическое исследование
В этой серии экспериментов проводилась высокочастотная электрическая стимуляция соматосенсорной коры и дорсального стриатума. Область стимуляции соматосенсорной коры групп WAG/Rij-AGS и WAG/Rij-nonAGS не отличалась по плотности дофаминовых рецепторов, а область дорсального стриатума крыс WAG/Rij-AGS имела большую плотность дофаминовых рецепторов по сравнению с крысами WAG/Rij-nonAGS. Соматосенсорную кору можно рассматривать как область сравнения. С одной стороны, эта критическая область, где инициируется абсансная активность, с другой стороны, отличий по плотности дофаминовых рецепторов в данном регионе обнаружено не было. В нашем исследовании высокочастотная стимуляция (130 Гц) соматосенсорной коры у субпопуляции WAG/Rij-nonAGS эффективно прерывала 70.2% ПВР. На эффективность прерывания указывало статистически достоверное снижение продолжительности разрядов во время стимуляции. У крыс группы WAG/Rij-AGS количество прерываемых разрядов было ниже: высокочастотная стимуляция соматосенсорной коры была эффективна в 51.5% случаев. Таким образом, высокочастотная стимуляция соматосенсорной коры подавляла ПВР у обеих субпопуляций крыс линии WAG/Rij.
Реакция на десинхронизирующую высокочастотную стимуляцию области дорсального стриатума с разной плотностью дофаминовых рецепторов у WAG/Rij-AGS и WAG/Rij-nonAGS различалась между группами. Было показано, что электрическая стимуляция дорсального стриатума эффективно прерывает 92.6% ПВР у крыс с предрасположенностью к аудиогенной эпилепсии. Данная область дорсального стриатума отличалась высокой плотностью дофаминовых рецепторов по сравнению с крысами WAG-Rij-nonAGS и Wistar. При этом высокочастотная стимуляция этой же области не прерывала ни одного разряда у крыс линии WAG/Rij-nonAGS. Предполагается, что нигростриарная дофаминергическая проекция является частью дистанционного управления абсансных припадков: разрушение нигростриарного дофаминергического пути приводило к достоверному снижению как общей продолжительности пик-волновых разрядов, так и к снижению продолжительности каждого из пик-волновых разрядов [15].
Для абсансной эпилепсии характерны функциональные корреляции между уровнями метаболизма дофамина и серотонина в стриатуме, что подчеркивает тесную взаимосвязь между этими системами мозга у абсансных крыс вне зависимости от предрасположенности к аудиогенным судорогам. Было показано, что часто повторяющиеся ПВР оказывают большее влияние на аминергическую систему мозга, чем аудиогенные припадки или генетическая предрасположенность к ним [37]. У крыс линии WAG/Rij показана низкая дофаминергическая реактивность нигростриарной проекции. В оптогенетическом исследовании была показана роль нигростриарного пути и разных проекций от сетчатой части черной субстанции (SNpr) в контроле судорог разного типа. Ингибирование SNpr приводило к прекращению нескольких видов генерализованных припадков, в том числе абсансных и аудиогенных за счет подавления проекции в средние и глубокие слои верхнего двухолмия (DLSC). Селективное ингибирование проекций на педункулопонтинное ядро (PPN) показало неоднозначные результаты: ослабевали абсансные припадки, а на аудиогенную эпилепсию это воздействие не влияло. PPN имеет проекции в базальные ганглии и таламус. Активация DLSC или PPN приводит к десинхронизации активности коры [38]. Результаты нашего исследования также указывают на вовлеченность дорсального стриатума в контроль судорог разного типа. В настоящее время продолжаются исследования влияния низкочастотной стимуляции дорсального стриатума, а также вентрального стриатума с низко- и высокочастотной стимуляцией у крыс линии WAG/Rij обеих субпопуляций групп. Таким образом, результаты нашего исследования показывают, что сопутствующие эпилепсии состояния, такие как тревожность, депрессивноподобное поведение и социальный дефицит, не обусловлены предварительной звуковой стимуляцией. Показано, что существуют различия вовлеченности дорсального стриатума в контроль абсансной и смешанной форм эпилепсии.
Тревожность и депрессия – самые распространенные коморбидные состояния у больных эпилепсией. Вопрос о том, как этиологически могут быть связаны проявления эпилепсии и коморбидные ей состояния, до сих пор остается мало изученным. Эти состояния оказывают существенное влияние не только на качество жизни пациентов, но и осложняют фармакотерапию [39]. Ряд антиконвульсантов обладает негативным психотропным профилем, утяжеляя проявления депрессии и тревожности [40], а отмена вальпроатов приводит к отягощению депрессии [41]. Показано, что именно депрессия снижает качество жизни у фармакорезистентных пациентов, а не частота эпилептических приступов [42]. Депрессия снижает эффективность лечения, увеличивает риск развития побочных эффектов как из-за нежелательных явлений, вызванных противоэпилептическими препаратами, так и на фоне лекарственного взаимодействия. Помимо этого, проблема гиподиагностики депрессии у эпилептических пациентов остается актуальной. Результаты проведенных ретроспективных экспериментов указывают на вовлеченность стриатума как в поведенческие нарушения, так и в контроль абсансной активности у крыс линии WAG/Rij. В настоящее время продолжаются исследования влияния низкочастотной стимуляции дорсального стриатума, а также вентрального стриатума с низко- и высокочастотной стимуляцией у крыс линии WAG/Rij обеих групп. Возможно, фармакологические исследования с введением агонистов и антагонистов дофаминовых рецепторов двум группам крыс WAG/Rij и оптогенетические исследования, направленные на активацию или торможение исследованных структур, позволят расширить понимание наблюдаемых нарушений. Исследования в этом направлении могут обеспечить более дифференцированный подход к лечению больных эпилепсией с коморбидными психическими симптомами, а дофаминергическая система может рассматриваться как терапевтическая мишень.
ВКЛАДЫ АВТОРОВ
Идея и планирование эксперимента – А. К. Р., проведение экспериментов и обработка данных, подготовка иллюстраций – А. К. Р., К. С. М., Ц. Е. Т., обсуждение результатов – А. К. Р., К. С. М., Ц. Е. Т., подготовка и редактура рукописи – А. К. Р., К. С. М., Ц. Е. Т.
ФИНАНСИРОВАНИЕ РАБОТЫ
Данная работа финансировалась за счет средств Государственного задания Правительства Российской Федерации Московскому государственному университету имени М. В. Ломоносова № 121032300071-8. Никаких дополнительных грантов на проведение или руководство данным конкретным исследованием получено не было.
СОБЛЮДЕНИЕ ЭТИЧЕСКИХ СТАНДАРТОВ
Эксперименты с животными проводились в соответствии с международными рекомендациями по проведению биомедицинских исследований с лабораторными животными и были одобрены Комиссией по биоэтике МГУ имени М. В. Ломоносова, протоколы 154-ж от 26.04.2023 г. и 155-ж от 10.05.2023 г.
КОНФЛИКТ ИНТЕРЕСОВ
Авторы данной работы заявляют, что у них нет конфликта интересов.
About the authors
К. R. Abbasova
Lomonosov Moscow State University
Author for correspondence.
Email: abbasovakr@my.msu.ru
Russian Federation, Moscow
S. М. Kuzhuget
Lomonosov Moscow State University
Email: abbasovakr@my.msu.ru
Russian Federation, Moscow
Е. Т. Tsyba
Lomonosov Moscow State University
Email: abbasovakr@my.msu.ru
Russian Federation, Moscow
References
- Yuen AWC, Keezer MR, Sander JW (2018) Epilepsy is a neurological and a systemic disorder. Epilepsy Behav 78: 57–61. https://doi.org/10.1016/j.yebeh.2017.10.010
- Alsaadi T, El Hammasi K, Shahrour TM, Shakra M, Turkawi L, Almaskari B, Diab L, Raoof M (2015) Prevalence of depression and anxiety among patients with epilepsy attending the epilepsy clinic at Sheikh Khalifa Medical City, UAE: A cross-sectional study. Epilepsy Behav 52(Pt A): 194–199. https://doi.org/10.1016/j.yebeh.2015.09.008
- Coenen AM, Van Luijtelaar EL (2003) Genetic animal models for absence epilepsy: a review of the WAG/Rij strain of rats. Behav Genet 33(6): 635–655. https://doi.org/10.1023/a:1026179013847
- Midzyanovskaya IS, Kuznetsova GD, Vinogradova LV, Shatskova AB, Coenen AML, van Luijtelaar G (2004) Mixed forms of epilepsy in a subpopulation of WAG/Rij rats. Epilepsy Behav 5: 655–661. https://doi.org/10.1016/j.yebeh.2004.06.021
- Hughes JR (2009) Absence seizures: A review of recent reports with new concepts. Epilepsy Behav 15(4): 404–412. https://doi.org/10.1016/j.yebeh.2009.06
- Clément Y, Bondoux D, Launay JM, Chapouthier G (1997) Convulsive effects of a benzodiazepine receptor inverse agonist: are they related to anxiogenic processes? J Physiol (Paris) 91(1): 21–29. https://doi.org/10.1016/s0928-4257(99)80162-4
- Depaulis A, Helfer V, Deransart C, Marescaux C (1997) Anxiogenic-like consequences in animal models of complex partial seizures. Neurosci Biobehav Rev 21(6): 767–774. https://doi.org/10.1016/s0149-7634(96)00060-7
- Sarkisova KY, Kulikov MA (2006) Behavioral characteristics of WAG/Rij rats susceptible and non-susceptible to audiogenic seizures. Behav Brain Res 166(1): 9–18. https://doi.org/10.1016/j.bbr.2005.07.024
- Tsyba E, Midzyanovskaya I, Birioukova L, Tuomisto L, van Luijtelaar G, Abbasova K (2023) Striatal Patchwork of D1-like and D2-like Receptors Binding Densities in Rats with Genetic Audiogenic and Absence Epilepsies. Diagnostics 13: 587. https://doi.org/10.3390/diagnostics13040587
- Ross KC, Coleman JR (2000) Developmental and genetic audiogenic seizure models: behavior and biological substrates. Neurosci Biobehav Rev 24(6): 639–653. https://doi.org/10.1016/s0149-7634(00)00029-4
- Gale K, Proctor M, Veliskova J, Nehlig A (2008) BASAL GANGLIA AND BRAINSTEM ANATOMY AND PHYSIOLOGY. Epilepsy Comprehensive Textbook 3: 367. https://www.researchgate.net/publication/281392567
- Cools AR, Coolen JMM, Smit JCA, Ellenbroek BA (1984) The striato-nigro-collicular pathway and explosive running behaviour: Functional interaction between neostriatal dopamine and collicular GABA. Eur J Pharmacol 100(1): 71–77. https://doi.org/10.1016/0014-2999(84)90316-9
- Meeren H, van Luijtelaar G, Lopes da Silva F, Coenen A (2005) Evolving concepts on the pathophysiology of absence seizures: the cortical focus theory. Arch Neurol 62(3): 371–376. https://doi.org/10.1001/archneur.62.3.371
- Abbasova KR, Chepurnov SA, Chepurnova NE, van Luijtelaar G (2010) The role of perioral afferentation in the occurrenceof spike-wave discharges in the WAG/Rij model of absence epilepsy. Brain Res 1366: 257–262. https://doi.org/10.1016/j.brainres.2010.10.007
- Tugba EK, Medine GIO, Ozlem A, Deniz K, Filiz OY (2022) Prolongation of absence seizures and changes in serotonergic and dopaminergic neurotransmission by nigrostriatal pathway degeneration in genetic absence epilepsy rats. Pharmacol Biochem Behav 213: 173317. https://doi.org/10.1016/j.pbb.2021.173317
- Kanner AM (2008) Mood disorder and epilepsy: a neurobiologic perspective of their relationship. Dialogues Clin Neurosci 10(1): 39–45. https://doi.org/10.31887/DCNS.2008.10.1/amkanner
- Jones NC, O'Brien TJ (2013) Stress, epilepsy, and psychiatric comorbidity: how can animal models inform the clinic? Epilepsy Behav 26(3): 363–369. https://doi.org/10.1016/j.yebeh.2012.09.002
- Birioukova LM, Midzyanovskaya IS, Lensu S, Tuomisto L, van Luijtelaar G (2005) Distribution of D1-like and D2-like dopamine receptors in the brain of genetic epileptic WAG/Rij rats. Epilepsy Res 63(2–3): 89–96. https://doi.org/10.1016/j.eplepsyres.2004.12.001
- Pellow S, Chopin P, File SE, Briley M (1985) Validation of open:closed arm entries in an elevated plus-maze as a measure of anxiety in the rat. J Neurosci Methods 14(3): 149–167. https://doi.org/10.1016/0165-0270(85)90031-7
- Landauer MR, Balster RL (1982) A new test for social investigation in mice: Effects of d-amphetamine. Psychopharmacology (Berl) 78(4): 322–325. https://doi.org/10.1007/BF00433734
- Wee B (1995) Mate preference and avoidance in female rats following treatment with scopolamine. Physiol Behav 58(1): 97–100. https://doi.org/10.1016/0031-9384(95)00029-i
- Porsolt RD, Anton G, Blavet N, Jalfre M (1978) Behavioural despair in rats: a new model sensitive to antidepressant treatments. Eur J Pharmacol 47(4): 379–391. https://doi.org/10.1016/0014-2999(78)90118-8
- Щетинин ЕВ, Батурин ВА, Арушанян ЕБ, Ованесов КБ, Попов АВ (1989) Биоритмологический подход к оценке вынужденного плавания как экспериментальная модель «депрессивного» состояния. Журн высш нерв деятельн им ИП Павлова 39(5): 958–964. [Shchetinin EV, Baturin VA, Arushanian EB, Ovanesov KB, Popov AV (1989) A biorhythmologic approach to evaluating forced swimming as an experimental model of a "depressive" state. Zh Vyssh Nerv Deiat Im IP Pavlova 39(5): 958-964. (In Russ)].
- Paxinos G, Watson C (2005) The Rat Brain in Stereotaxic Coordinates. The New Coronal Set. 5th Edition.
- Cervenka S, Hedman E, Ikoma Y, Djurfeldt DR, Rück C, Halldin C, Lindefors N (2012) Changes in dopamine D2-receptor binding are associated to symptom reduction after psychotherapy in social anxiety disorder. Transl Psychiatry 2(5): e120. https://doi.org/10.1038/tp.2012.40
- Bogdanova OV, Kanekar S, D'Anci KE, Renshaw PF (2013) Factors influencing behavior in the forced swim test. Physiol Behav 118: 227–239. https://doi.org/10.1016/j.physbeh.2013.05.012
- Molendijk ML, de Kloet ER (2022) Forced swim stressor: Trends in usage and mechanistic consideration. Eur J Neurosci 55: 2813–2831. https://doi.org/10.1111/ejn.15139
- Anyan J, Amir S (2018) Too Depressed to Swim or Too Afraid to Stop? A Reinterpretation of the Forced Swim Test as a Measure of Anxiety-Like Behavior. Neuropsychopharmacology 43: 931–933. https://doi.org/10.1038/npp.2017.260
- Commons KG, Cholanians AB, Babb JA, Ehlinger DG (2017) The Rodent Forced Swim Test Measures Stress-Coping Strategy, Not Depression-like Behavior. ACS Chem Neurosci 8(5): 955–960. https://doi.org/10.1021/acschemneuro.7b00042
- Sarkisova KY, Kuznetsova GD, Kulikov MA, van Luijtelaar G (2010) Spike-wave discharges are necessary for the expression of behavioral depression-like symptoms. Epilepsia 51(1): 146–160. https://doi.org/10.1111/j.1528-1167.2009.02260.x
- Overstreet DH (1993) The Flinders sensitive line rats: a genetic animal model of depression. Neurosci Biobehav Rev17(1): 51–68. https://doi.org/10.1016/s0149-7634(05)80230-1
- Broadhurst PL (1975) The Maudsley reactive and nonreactive strains of rats: a survey. Behav Genet 5(4): 299–319. https://doi.org/10.1007/BF01073201
- Broadhurst PL, Bignami G (1965) Correlative effects of psychogenetic selection: a study of the Roman high and low avoidance strains of rats. Behav Res Ther 3: 273–280. https://doi.org/10.1016/0005-7967(64)90033-6
- Overstreet DH, Friedman E, Mathé AA, Yadid G (2005) The Flinders Sensitive Line rat: a selectively bred putative animal model of depression. Neurosci Biobehav Rev 29(4–5): 739–759. https://doi.org/10.1016/j.neubiorev.2005.03.015
- Rebik AA, Riga VD, Smirnov KS, Sysoeva OV, Midzyanovskaya IS (2022) Social Behavioral Deficits in Krushinsky-Molodkina Rats, an Animal Model of Audiogenic Epilepsy. J Pers Med 12(12): 2062. https://doi.org/10.3390/jpm12122062
- Rebik A, Broshevitskaya N, Kuzhuget S, Aleksandrov P, Abbasova K, Zaichenko M, Midzyanovskaya I (2023) Audiogenic Seizures and Social Deficits: No Aggravation Found in Krushinsky – Molodkina Rats. Biomedicines 11(9): 2566. https://doi.org/10.3390/biomedicines11092566
- Midzyanovskaya IS, Shatskova AB, MacDonald E, Van Luijtelaar G, Tuomisto L (2020) Brain Aminergic Deficiency in Absence Epileptic Rats: Dependency on Seizure Severity and Their Functional Coupling at Rest. J Behav Brain Sci 10: 29–45. https://doi.org/10.4236/jbbs.2020.101003
- Wicker E, Beck VC, Kulick-Soper C, Kulick-Soper CV, Hyder SK, Campos-Rodriguez C, Khan T, N'Gouemo P, Forcelli PA (2019) Descending projections from the substantia nigra pars reticulata differentially control seizures. Proc Natl Acad Sci U S A 116(52): 27084–27094. https://doi.org/10.1073/pnas.1908176117
- Lu E, Pyatka N, Burant CJ, Sajatovic M (2021) Systematic Literature Review of Psychiatric Comorbidities in Adults with Epilepsy. J Clin Neurol 17(2): 176–186. https://doi.org/10.3988/jcn.2021.17.2.176
- Gómez-Arias B, Crail-Meléndez D, López-Zapata R, Martínez-Juárez IE (2012) Severity of anxiety and depression are related to a higher perception of adverse effects of antiepileptic drugs. Seizure 21(8): 588–594. https://doi.org/10.1016/j.seizure.2012.06.003
- Nanau RM, Neuman MG (2013) Adverse drug reactions induced by valproic acid. Clin Biochem 46(15): 1323–1338. https://doi.org/10.1016/j.clinbiochem.2013.06.012
- Boylan LS, Flint LA, Labovitz DL, Jackson SC, Starner K, Devinsky O (2004) Depression but not seizure frequency predicts quality of life in treatment-resistant epilepsy. Neurology 62(2): 258–261. https://doi.org/10.1212/01.wnl.0000103282.62353.85
Supplementary files








