Взаимосвязь вязкости крови и артериального давления у нормотензивных и спонтанно гипертензивных крыс
- Авторы: Анищенко А.М.1,2, Сидехменова А.В.1, Алиев О.И.1, Уляхина О.А.1, Дунаева О.И.1, Плотников М.Б.1
-
Учреждения:
- Томский национальный исследовательский медицинский центр Российской академии наук
- Сибирский государственный медицинский университет Министерства здравоохранения Российской Федерации
- Выпуск: Том 110, № 9 (2024)
- Страницы: 1420-1429
- Раздел: ЭКСПЕРИМЕНТАЛЬНЫЕ СТАТЬИ
- URL: https://ogarev-online.ru/0869-8139/article/view/272684
- DOI: https://doi.org/10.31857/S0869813924090103
- EDN: https://elibrary.ru/AJLBIM
- ID: 272684
Цитировать
Полный текст
Аннотация
Повышенная вязкость цельной крови может вносить существенный вклад в увеличение общего периферического сопротивления, нарушение системной гемодинамики и расстройство микроциркуляции при артериальной гипертензии. Однако изменение вязкости крови (ВК) также приводит к изменению напряжения сдвига на эндотелии, что может оказать влияние на тонус сосудов. Исследований взаимосвязи изменений ВК и артериального давления у животных в условиях артериальной гипертензии не проводилось. Целью работы было исследование связи артериального давления с вязкостью крови в норме, а также в условиях снижения и повышения вязкости крови у нормотензивных крыс Вистар и спонтанно гипертензивных крыс линии SHR с использованием корреляционного анализа. Снижение/повышение ВК проводили с помощью изоволемической гемодилюции/гемоконцентрации. Среднее артериальное давление (СрАД) регистрировали с помощью системы MP150 (Biopac Systems, Inc., США). ВК измеряли на ротационном вискозиметре Brookfield DV–II+Pro (Brookfield Engineering Labs Inc., США) на скорости сдвига 450 с-1. У нормотензивных крыс отсутствовала статистически значимая корреляция между исходными значениями ВК и СрАД. После изоволемической гемодилюции или гемоконцентрации у нормотензивных крыс статистически значимых корреляций между ВК и СрАД также не было обнаружено. У крыс SHR, по сравнению с крысами Вистар, выявлена значимая положительная статистическая связь средней силы между исходными значениями ВК и СрАД (R = 0.643, p < 0.05). У этих животных сохранялись статистически значимые корреляционные связи средней силы между значениями ВК и СрАД как после гемодилюции (R = 0.530, p < 0.05), так и после гемоконцентрации (R = 0.689, p < 0.05). Анализ корреляционных связей показывает, что у крыс SHR, в отличие от крыс Вистар, артериальное давление пассивно следует за изменением вязкости крови, что, вероятно, обусловлено несостоятельностью механизмов эндотелийзависимой вазодилатации при артериальной гипертензии.
Полный текст
ВВЕДЕНИЕ
Регуляция артериального давления осуществляется сложной многокомпонентной системой как в норме, так и при патологии. Существует ряд высокоэффективных и хорошо переносимых лекарственных средств, которые действуют на различные элементы системы регуляции артериального давления. Однако показатели контроля артериального давления далеки от удовлетворительных [1].
Одним из важных звеньев патогенеза артериальной гипертензии (АГ) является синдром повышенной вязкости крови [2–4]. Доказано, что при АГ повышенная вязкость цельной крови может вносить существенный вклад в увеличение общего периферического сопротивления, нарушение системной гемодинамики и расстройство микроциркуляции [2–4]. Между вязкостью крови и артериальным давлением существуют сложные взаимосвязи [3, 5]. C одной стороны, повышение вязкости крови приводит к увеличению общего периферического сопротивления [6]. С другой стороны, вязкость крови определяет напряжение сдвига как механический стимул, который запускает сигнальный каскад, приводящий к активации NO-синтазы эндотелиальных клеток, что стимулирует вазодилатацию. [7]. Таким образом, увеличение вязкости крови может вызывать два противоположных эффекта: прямое увеличение гемодинамического сопротивления и косвенное – снижение сосудистого сопротивления, вызванное эндотелий-опосредованной, зависящей от скорости сдвига вазодилатацией [8]. Вязкость крови определяет напряжение сдвига на стенке сосуда, что является одним из механизмов, обеспечивающих адекватный приток крови к тканям. Поэтому характер взаимосвязи вязкости крови, тонуса сосудов и артериального давления в значительной степени определяет состояние системной гемодинамики и микроциркуляции при АГ [9].
Авторы, описывающие снижение тонуса сосудов и артериального давления при повышении вязкости крови, указывают, что этот феномен наблюдается у здоровых пациентов и в пределах нормальных вариаций вязкости крови [10]. При АГ повышенное артериальное давление оказывает повреждающее действие на сосудистый эндотелий [11–13], что приводит к снижению вазодилатирующей функции эндотелия в ответ на гуморальные стимулы [13–15] с развитием эндотелиальной дисфункции [16, 17]. Кроме того, у больных АГ формируется синдром повышенной вязкости крови [2–4], а повышенная вязкость отрицательно влияет на функцию эндотелия [18]. При этом остается неизученным вопрос: сохраняется ли при АГ механизм регуляции тонуса сосудов и артериального давления при изменении вязкости крови, реализующийся через изменение напряжения сдвига на эндотелии.
Изучение взаимосвязи вязкости крови и артериального давления у людей проводится с использованием корреляционной связи этих параметров, причем большинство исследований выполнено на практически здоровых субъектах [9, 19–23]. В экспериментальных работах изменение артериального давления в зависимости от изменения вязкости крови оценивали на нормотензивных животных (золотистых сирийских хомяках и мышах CD-1), а также на мышах с нокаутом гена эндотелиальной NO-синтазы и на моделях животных с использованием N-нитро-L-аргинин метилового эфира (L-NAME) [24]. Исследований взаимосвязи вязкости крови и артериального давления у животных в условиях эссенциальной АГ не проводилось.
Целью работы было исследование связи артериального давления с вязкостью крови в норме, а также в условиях снижения и повышения вязкости крови у нормотензивных крыс Вистар и спонтанно гипертензивных крыс линии SHR с использованием корреляционного анализа.
МЕТОДЫ ИССЛЕДОВАНИЯ
Эксперименты проведены на 40 аутбредных крысах – самцах Вистар в возрасте 12–13 недель, полученных из отдела экспериментальных биологических моделей Научно-исследовательского института фармакологии и регенеративной медицины им. Е.Д. Гольдберга Томского национального исследовательского медицинского центра, и 40 спонтанно гипертензивных крысах – самцах линии SHR в возрасте 12–13 недель, полученных из вивария Института биологической химии РАН, г. Пущино.
В виварии Научно-исследовательского института фармакологии и регенеративной медицины им. Е.Д. Гольдберга животные содержались в неполной барьерной системе при следующих параметрах окружающей среды: температура – 20–24 °С, относительная влажность – 50 ± 20%, воздухообмен 12–15 объемов помещения в час, световой режим – 12 / 12 ч. Эксперименты проводили под изофлурановым наркозом. Для ингаляции изофлурана использовали аппарат для наркоза Ugo Basile 21050 (Ugo Basile, Италия).
Снижение и повышение вязкости крови воспроизводили у крыс методами гемодилюции и гемоконцентрации. Снижение вязкости крови производили с помощью изоволемической гемодилюции, которую осуществляли путем эквиобъемной замены 10% объема циркулирующей крови на плазму, полученную от крысы-донора. Повышение вязкости крови производили с помощью изоволемической гемоконцентрации, которую осуществляли путем эквиобъемной замены 10% объема циркулирующей крови на эритроцитарную массу, полученную от крысы-донора. Объем циркулирующей крови определяли для каждой крысы из расчета 7.5% от массы тела животного [25]. Процедуры изоволемической гемодилюции или изоволемической гемоконцентрации проводили у крыс-реципиентов путем эксфузии крови из яремной вены и одновременной изоволемической трансфузии соответственно плазмы или эритроцитарной массы от крысы-донора в бедренную вену со скоростью 0.17 мл/мин. Забор крови у крыс-доноров производили через катетер из общей сонной артерии, в качестве антикоагулянта использовали гепарин. Кровь центрифугировали с ускорением 1600 g в течение 15 мин на центрифуге СМ-6 для получения плазмы и эритроцитарной массы.
Влияние условий эксперимента (наркоз, хирургические манипуляции, процедура эксфузии/трансфузии крови без изменения гематокрита) было изучено в отдельных контрольных группах. В группу контроль I входили нормотензивные крысы Вистар (n = 10). Группу контроль II составили крысы линии SHR (n = 6). Животным из контрольных групп I и II была проведена процедура гемотрансфузии без изменения гематокрита.
Было выделено 4 опытные группы: в группе опыт I исследовали влияние изоволемической гемодилюции у крыс Вистар (n = 10); в группе опыт II – влияние изоволемической гемоконцентрации у крыс Вистар (n = 10); в группе опыт III – влияние изоволемической гемодилюции у крыс SHR (n = 10); в группе опыт IV – влияние изоволемической гемоконцентрации у крыс SHR (n = 10).
Вязкость крови оценивали до и через 30 мин после трансфузии. Уровень среднего артериального давления (СрАД) регистрировали непрерывно в течение всего эксперимента. Вязкость цельной крови измеряли на ротационном вискозиметре Brookfield DV–II+Pro (Brookfield Engineering Labs Inc., США) на скорости сдвига 450 с-1 при температуре 36 °C. СрАД регистрировали в общей сонной артерии с использованием высокоскоростной системы сбора и анализа данных MP150 (Biopac Systems, Inc., США) с усилителем DA100C и датчиком TSD104A с программным обеспечением «AcqKnowledge 4.2 for MP150».
Статистическую обработку полученных результатов проводили с использованием пакета статистических программ Statistica 8.0. Данные представлены в виде среднего значения ± стандартная ошибка среднего значения. Для оценки статистической значимости различий использовали непараметрические критерии Kruskal–Wallis и Mann–Whitney U-test. Корреляционную связь вязкости крови и артериального давления оценивали с помощью коэффициента корреляции Спирмена (Spearman R).
РЕЗУЛЬТАТЫ ИССЛЕДОВАНИЯ
Вязкость крови в группах контроль I и контроль II до и после изоволемической гемотрансфузии статистически значимо не изменялась. В группе животных контроль I и контроль II через 30 мин после изоволемической гемотрансфузии происходило небольшое, но статистически значимое снижение СрАД на 9% и 11% соответственно по сравнению с исходными значениями, что, очевидно, связано с условиями эксперимента, в частности, действием изофлуранового наркоза [26].
Исходные значения вязкости крови и СрАД у нормотензивных крыс составляли 3.68 ± 0.03 мПа•с и 105 ± 1 мм рт. ст. соответственно. Снижение вязкости крови после гемодилюции (на 15%, р < 0.05) у крыс группы опыт I и повышение вязкости крови после гемоконцентрации (на 16%, р < 0.05) у крыс группы опыт II сопровождалось снижением артериального давления (на 10 и 5% соответственно), статистически значимо не отличавшимся от снижения в группе контроль I.
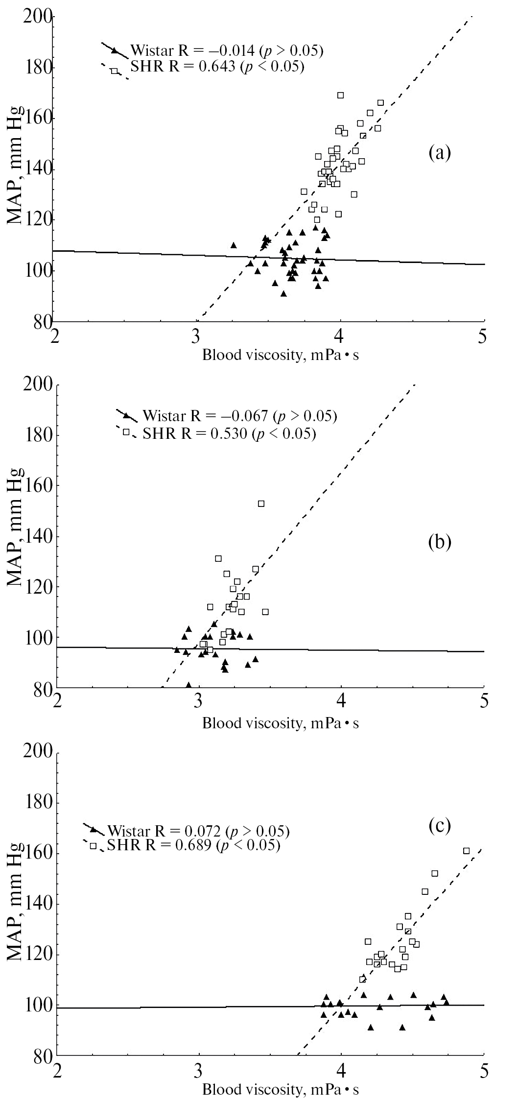
У нормотензивных крыс отсутствовала статистически значимая корреляция между исходными значениями исследуемых показателей (R = –0.014, p > 0.05) (рис. 1a). Статистически значимых корреляций между вязкостью крови и СрАД у нормотензивных крыс также не было обнаружено как после изоволемической гемодилюции (R = –0.067, p > 0.05), так и после изоволемической гемоконцентрации (R = –0.072, p > 0.05) (рис. 1b, c).
Рис. 1. Корреляционная зависимость вязкости крови (450 с-1) и СрАД у крыс Вистар и крыс SHR. (a) – исходные значения, (b) – после гемодилюции, (c) – после гемоконцентрации.
Исходные значения вязкости крови и СрАД у спонтанно гипертензивных крыс составляли 3.99 ± 0.02 мПа•с и 142 ± 2 мм рт. ст. соответственно и были статистически значимо выше, чем у нормотензивных животных. Снижение вязкости крови (на 19%, р < 0.05) у крыс в группе опыт III приводило к статистически более значимому снижению СрАД (на 20%, р < 0.05) по сравнению с группой контроль II.
У крыс в группе опыт IV повышение вязкости крови (на 11%, р < 0.05) приводило к снижению СрАД (на 11%, р < 0.05) и статистически значимо не отличалось от снижения давления в группе контроль II.
У крыс SHR, в отличие от крыс Вистар, наблюдалась значимая положительная статистическая связь средней силы между исходными значениями вязкости крови и СрАД (R = 0.643, p < 0.05) (рис. 1a) и сохранялись статистически значимые корреляционные связи средней силы между значениями вязкости крови и СрАД как после гемодилюции (R = 0.530, p < 0.05), так и после гемоконцентрации (R = 0.689, p < 0.05) (рис. 1b, c). Выявленные с помощью корреляционного анализа взаимосвязи у спонтанно гипертензивных крыс свидетельствуют о пассивном изменении артериального давления вслед за изменением вязкости крови на высокой скорости сдвига.
ОБСУЖДЕНИЕ РЕЗУЛЬТАТОВ
Анализ результатов исследования корреляционной связи между вязкостью крови и артериальным давлением у здоровых лиц свидетельствует о том, что они носят неоднозначный характер. В большинстве исследований выявлена положительная корреляция слабой степени. Так, Smith с соавт. показали, что вязкость крови положительно коррелировала с систолическим и диастолическим артериальным давлением независимо от возраста и индекса массы тела; коэффициент ранговой корреляции находился в пределах 0.16–0.21 (p < 0.001) [19]. Вязкость цельной крови у 105 здоровых доноров крови коррелировала с систолическим артериальным давлением (r = 0.29, p = 0.003) [20]. В исследовании, проведенном de Simone с соавт., систолическое, диастолическое и среднее артериальное давление коррелировали с вязкостью крови при всех скоростях сдвига (r = 0.24–0.26 для систолического артериального давления, r = 0.24–0.28 для диастолического артериального давления и r = 0.26–0.29 для среднего артериального давления; 0.007 < р < 0.001) [21]. В когортном исследовании Gori с соавт. в группе 3223 практически здоровых субъектов выявлена линейная положительная связь слабой степени между вязкостью и артериальным давлением [9]. Позже de Simone с соавт. показали наличие отрицательной корреляции слабой степени (R = –0.104, p < 0.05) вязкости крови и систолического артериального давления при отсутствии корреляции вязкости крови и диастолического артериального давления [22]. Irace с соавт. у 103 здоровых добровольцев (68 мужчин и 35 женщин) без факторов сердечно-сосудистого риска не выявили связи между вязкостью крови и систолическим артериальным давлением (r = 0.131, p > 0.05), в то время как была обнаружена положительная связь вязкости крови с диастолическим артериальным давлением (r = 0.285, p < 0.05) [23]. В исследовании Letcher с соавт. в объединенной группе здоровых лиц и больных АГ описана слабая, но статистически значимая положительная корреляция между значениями вязкости крови на высокой и низкой скоростях сдвига, с одной стороны, и значениями систолического, диастолического и среднего артериального давления – с другой [27]. Эти и другие авторы не проводили исследований корреляционной связи между вязкостью крови и параметрами артериального давления в группе больных АГ.
Изменение вязкости крови способно оказывать влияние на сосудистое сопротивление [2, 6]. Вязкость крови, определяющая напряжение сдвига на стенке сосуда, является ключевым модулятором продукции оксида азота эндотелиальной NO-синтазой [7, 28]. В норме при повышении напряжения сдвига на эндотелии увеличивается синтез оксида азота эндотелием, что приводит к расширению сосудов и снижению артериального давления [7, 28]. Вызванная блокатором NO-синтазы L-NAME дисфункция эндотелия приводила к пассивному следованию артериального давления за изменениями вязкости крови [24], что является доказательством существования феномена ауторегуляции тонуса сосудов и артериального давления при изменении вязкости крови в норме. Отсутствие статистически значимых корреляционных связей вязкости крови и артериального давления у нормотензивных крыс в наших экспериментах представляется вполне закономерным и может свидетельствовать о сохранении участия эндотелия в поддержании стабильного уровня артериального давления после снижения/повышения вязкости крови у нормотензивных крыс.
Эндотелиальные клетки играют ключевую роль в регуляции кровяного давления и кровотока благодаря их способности реагировать на гуморальные факторы крови и механическое воздействие, создаваемое кровотоком в виде напряжения сдвига на поверхности эндотелиоцитов [7, 29, 30]. Основным механизмом, регулирующим тонус периферических сосудов и артериальное давление в ответ на изменение напряжения сдвига в области эндотелия сосудов, является продукция оксида азота эндотелиальной NO-синтазой [31]. Существование этого механизма было подтверждено экспериментами, в которых введение L-NAME животным с нормальным уровнем артериального давления блокировало продукцию оксида азота эндотелием и выключало данную реакцию [24, 32]. В этих условиях всякое возрастание гематокрита и вязкости крови сопровождалось прогрессивным повышением артериального давления, снижением сердечного выброса и кровотока в мозге и почках. У мышей с нокаутом эндотелиальной NO-синтазы отсутствует индуцированная ацетилхолином вазодилатация и развивается АГ [33, 34]. В отличие от нормотензивных крыс Вистар, у крыс SHR (в норме, в условиях гемодилюции и гемоконцентрации) в наших экспериментах выявлена статистически значимая корреляция средней степени, отражающая существование отчетливой взаимосвязи артериального давления с вязкостью крови. Положительные значения этой связи свидетельствуют о том, что при возрастании вязкости крови связанное с этим увеличение сосудистого сопротивления является преобладающим над эндотелийзависимой вазодилатацией, обусловленной повышением напряжения сдвига на эндотелии.
У больных АГ выявлено снижение вазодилатирующей функции эндотелия в ответ на гуморальные стимулы и снижение доступности NO [14, 15]. Нами показано, что у крыс SHR в возрасте 12-ти недель наблюдается снижение индекса вазодилатирующей активности эндотелия за счет уменьшения сосудорасширяющей реакции на внутривенное введение эндотелийзависимого вазодилататора ацетилхолина [35, 36]. Можно предположить, что у крыс SHR в этом возрасте пассивное следование артериального давления за изменением вязкости крови обусловлено несостоятельностью механизмов эндотелийзависимой регуляции тонуса артериальных сосудов.
Таким образом, анализ корреляционных связей показывает, что у крыс SHR, в отличие от крыс Вистар, артериальное давление пассивно следует за изменением вязкости крови, что, вероятно, обусловлено несостоятельностью механизмов эндотелийзависимой вазодилатации при артериальной гипертензии.
ВКЛАДЫ АВТОРОВ
Идея работы и планирование исследования (А. М. А., М. Б. П., О. И. А.), выполнение экспериментальной работы (А. М. А., А. В. С., О. А. У., О. И. Д.), обработка данных (А. М. А., А. В. С., О. А. У., О. И. Д.), написание и редактирование рукописи (А. М. А., М. Б. П., О. И. А., А. В. С., О. А. У., О. И. Д.).
ФИНАНСИРОВАНИЕ РАБОТЫ
Данная работа финансировалась за счет средств гранта Российского научного фонда № 23–25–00175, https://rscf.ru/project/23–25–00175/. Никаких дополнительных грантов на проведение или руководство данным конкретным исследованием получено не было.
СОБЛЮДЕНИЕ ЭТИЧЕСКИХ СТАНДАРТОВ
Эксперименты с животными проводились в соответствии с международными рекомендациями по проведению биомедицинских исследований с лабораторными животными и были одобрены Комиссией по этике Научно-исследовательского института фармакологии и регенеративной медицины им. Е.Д. Гольдберга Томского национального исследовательского медицинского центра (протокол № 207А012023 от 30.01.2023 г.).
КОНФЛИКТ ИНТЕРЕСОВ
Авторы данной работы заявляют, что у них нет конфликта интересов.
Об авторах
А. М. Анищенко
Томский национальный исследовательский медицинский центр Российской академии наук; Сибирский государственный медицинский университет Министерства здравоохранения Российской Федерации
Email: sidehmenova@yandex.ru
Научно-исследовательский институт фармакологии и регенеративной медицины им. Е.Д. Гольдберга
Россия, Томск; ТомскА. В. Сидехменова
Томский национальный исследовательский медицинский центр Российской академии наук
Автор, ответственный за переписку.
Email: sidehmenova@yandex.ru
Научно-исследовательский институт фармакологии и регенеративной медицины им. Е.Д. Гольдберга
Россия, ТомскО. И. Алиев
Томский национальный исследовательский медицинский центр Российской академии наук
Email: sidehmenova@yandex.ru
Научно-исследовательский институт фармакологии и регенеративной медицины им. Е.Д. Гольдберга
Россия, ТомскО. А. Уляхина
Томский национальный исследовательский медицинский центр Российской академии наук
Email: sidehmenova@yandex.ru
Научно-исследовательский институт фармакологии и регенеративной медицины им. Е.Д. Гольдберга
Россия, ТомскО. И. Дунаева
Томский национальный исследовательский медицинский центр Российской академии наук
Email: sidehmenova@yandex.ru
Научно-исследовательский институт фармакологии и регенеративной медицины им. Е.Д. Гольдберга
Россия, ТомскМ. Б. Плотников
Томский национальный исследовательский медицинский центр Российской академии наук
Email: sidehmenova@yandex.ru
Научно-исследовательский институт фармакологии и регенеративной медицины им. Е.Д. Гольдберга
Россия, ТомскСписок литературы
- Mancia G, Kreutz R, Brunström M, Burnier M, Grassi G, Januszewicz A, Muiesan ML, Tsioufis K, Agabiti-Rosei E, Algharably EAE, Azizi M, Benetos A, Borghi C, Hitij JB, Cifkova R, Coca A, Cornelissen V, Cruickshank JK, Cunha PG, Danser AHJ, Pinho RM, Delles C, Dominiczak AF, Dorobantu M, Doumas M, Fernández-Alfonso MS, Halimi JM, Járai Z, Jelaković B, Jordan J, Kuznetsova T, Laurent S, Lovic D, Lurbe E, Mahfoud F, Manolis A, Miglinas M, Narkiewicz K, Niiranen T, Palatini P, Parati G, Pathak A, Persu A, Polonia J, Redon J, Sarafidis P, Schmieder R, Spronck B, Stabouli S, Stergiou G, Taddei S, Thomopoulos C, Tomaszewski M, Van de Borne P, Wanner C, Weber T, Williams B, Zhang ZY, Kjeldsen SE (2023) ESH Guidelines for the management of arterial hypertension The Task Force for the management of arterial hypertension of the European Society of Hypertension: Endorsed by the International Society of Hypertension (ISH) and the European Renal Association (ERA). J Hypertens 41(12): 1874–2071. https://doi.org/10.1097/HJH.0000000000003480
- Meiselman HJ, Baskurt OK (2006) Hemorheology and hemodynamics: Dove andare? Clin Hemorheol Microcirc 35(1–2): 37–43.
- Sloop G, Holsworth RE Jr, Weidman JJ, St Cyr JA (2015) The role of chronic hyperviscosity in vascular disease. Ther Adv Cardiovasc Dis 9(1): 19–25. https://doi.org/10.1177/1753944714553226
- Valeanu L, Ginghina C, Bubenek-Turconi S (2022) Blood Rheology Alterations in Patients with Cardiovascular Diseases. Rom J Anaesth Intensive Care 28(2): 41–46. https://doi.org/10.2478/rjaic-2021-0007
- Forconi S, Gori T (2009) The evolution of the meaning of blood hyperviscosity in cardiovascular physiopathology: should we reinterpret Poiseuille? Clin Hemorheol Microcirc 42(1): 1–6. https://doi.org/10.3233/CH-2009-1186
- Nader E, Skinner S, Romana M, Fort R, Lemonne N, Guillot N, Gauthier A, Antoine-Jonville S, Renoux C, Hardy-Dessources MD, Stauffer E, Joly P, Bertrand Y, Connes P (2019) Blood Rheology: Key Parameters, Impact on Blood Flow, Role in Sickle Cell Disease and Effects of Exercise. Front Physiol 10: 1329. https://doi.org/10.3389/fphys.2019.01329
- Davis MJ, Earley S, Li YS, Chien S (2023) Vascular mechanotransduction. Physiol Rev 103(2): 1247–1421. 10.1152/physrev.00053.2021' target='_blank'>https://doi: 10.1152/physrev.00053.2021
- Salazar Vázquez BY, Martini J, Chávez Negrete A, Tsai AG, Forconi S, Cabrales P, Johnson PC, Intaglietta M (2010) Cardiovascular benefits in moderate increases of blood and plasma viscosity surpass those associated with lowering viscosity: Experimental and clinical evidence. Clin Hemorheol Microcirc 44(2): 75–85. https://doi.org/10.3233/CH-2010-1261
- Gori T, Wild PS, Schnabel R, Schulz A, Pfeiffer N, Blettner M, Beutel ME, Forconi S, Jung F, Lackner KJ, Blankenberg S, Münzel T (2015) The distribution of whole blood viscosity, its determinants and relationship with arterial blood pressure in the community: cross-sectional analysis from the Gutenberg Health Study. Ther Adv Cardiovasc Dis 9(6): 354–365. https://doi: 10.1177/1753944715589887
- Salazar Vázquez BY, Martini J, Chávez Negrete A, Cabrales P, Tsai AG, Intaglietta M (2009) Microvascular benefits of increasing plasma viscosity and maintaining blood viscosity: counterintuitive experimental findings. Biorheology 46(3): 167–179. https://doi.org/10.3233/БИР-2009-0539
- Kim HL (2023) Arterial stiffness and hypertension. Clin Hyperten 29(1): 31. https://doi.org/10.1186/s40885-023-00258-1
- Drożdż D, Drożdż M, Wójcik M (2023) Endothelial dysfunction as a factor leading to arterial hypertension. Pediatr Nephrol 38(9): 2973–2985. https://doi.org/10.1007/s00467-022-05802-z 3233/BIR-2009-0539
- Tang EH, Vanhoutte PM (2010) Endothelial dysfunction: a strategic target in the treatment of hypertension? Pflugers Arch–Eur J Physiol 459(6): 995–1004. https://doi.org/10.1007/s00424-010-0786-4
- Weil BR, Stauffer BL, Greiner JJ, DeSouza CA (2011) Prehypertension is associated with impaired nitric oxide-mediated endothelium-dependent vasodilation in sedentary adults. Am J Hypertens 24: 976–981. https://doi.org/10.1038/ajh.2011.88
- Maio R, Suraci E, Caroleo B, Politi C, Gigliotti S, Sciacqua A, Andreozzi F, Perticone F, Perticone M (2021) New-Onset Diabetes, Endothelial Dysfunction, and Cardiovascular Outcomes in Hypertensive Patients: An Illness-Event Model Analysis. Biomedicines 9(7): 721. https://doi.org/10.3390/biomedicines9070721
- Gallo G, Volpe M, Savoia C (2022) Endothelial Dysfunction in Hypertension: Current Concepts and Clinical Implications. Front Med (Lausanne) 20(8): 798958. https://doi.org/10.3389/fmed.2021.798958
- Konukoglu D, Uzun H (2017) Endothelial dysfunction and hypertension. Adv Exp Med Biol 956: 511–540. https://doi.org/10.1007/5584_2016_90
- Sandhagen B, Lind L (2012) Whole blood viscosity and erythrocyte deformability are related to endothelium-dependent vasodilation and coronary risk in the elderly. The prospective investigation of the vasculature in Uppsala seniors (PIVUS) study. Clin Hemorheol Microcirc 50(4): 301–311.
- Smith WC, Lowe GD, Lee AJ, Tunstall-Pedoe H (1992) Rheological determinants of blood pressure in a Scottish adult population. J Hypertens 10(5): 467–472. https://doi.org/10.1097/00004872-199205000-00010
- Fossum E, Høieggen A, Moan A, Nordby G, Velund TL, Kjeldsen SE (1997) Whole blood viscosity, blood pressure and cardiovascular risk factors in healthy blood donors. Blood Press 6(3): 161–165. https://doi.org/10.3109/08037059709061932
- De Simone G, Devereux RB, Chien S, Alderman MH, Atlas SA, Laragh JH (1990) Relation of blood viscosity to demographic and physiologic variables and to cardiovascular risk factors in apparently normal adults. Circulation 81(1): 107–117. https://doi.org/10.1161/01.cir.81.1.107
- De Simone G, Devereux RB, Chinali M, Best LG, Lee ET, Welty TK (2005) Strong Heart Study Investigators. Association of blood pressure with blood viscosity in american indians: the Strong Heart Study. Hypertension 45(4): 625–630. https://doi.org/10.3233/CH-2011-1505
- Irace C, Carallo C, Scavelli F, Loprete A, Merante V, Gnasso A (2012) Lack of association between systolic blood pressure and blood viscosity in normotensive healthy subjects. Clin Hemorheol Microcirc 51(1): 35–41. https://doi.org/10.3233/CH-2011-1506
- Martini J, Carpentier B, Negrete AC, Frangos JA, Intaglietta M (2005) Paradoxical hypotension following increased hematocrit and blood viscosity. Am J Physiol Heart Circ Physiol 289(5): 2136–2143. https://doi.org/10.1152/ajpheart.00490.2005
- Западнюк ИП, Западнюк ВИ, Захария ЕА (1974) Лабораторные животные. Киев. Вища школа. [Zapadnyuk IP, Zapadnyuk VI, Zahariya EA Laboratory animals. Kiev. Vishcha shkola. (In Russ)].
- Sixtus RP, Gray C, Berry MJ, Dyson RM (2021) Nitrous oxide improves cardiovascular, respiratory, and thermal stability during prolonged isoflurane anesthesia in juvenile guinea pigs. Pharmacol Res Perspect 9(1): e00713. https://doi.org/10.1002/prp2.713
- Letcher RL, Chien S, Pickering TG, Sealey JE, Laragh JH (1981) Direct relationship between blood pressure and blood viscosity in normal and hypertensive subjects. Role of fibrinogen and concentration. Am J Med 70(6): 1195–1202. https://doi: 10.1016/0002-9343(81)90827-5
- Sloop GD, Pop G, Weidman JJ, St Cyr JA (2024) Hormonal Control of Blood Viscosity. Cureus 16(2): e55237. https://doi.org/10.7759/cureus.55237
- Baeyens N, Bandyopadhyay C, Coon BG, Yun S, Schwartz MA (2016) Endothelial fluid shear stress sensing in vascular health and disease. J Clin Invest 126(3): 821–828. https://doi.org/10.1172/JCI83083
- Iring A, Jin YJ, Albarrán-Juárez J, Siragusa M, Wang S, Dancs PT, Nakayama A, Tonack S, Chen M, Künne C, Sokol AM, Günther S, Martínez A, Fleming I, Wettschureck N, Graumann J, Weinstein LS, Offermanns S (2019) Shear stress-induced endothelial adrenomedullin signaling regulates vascular tone and blood pressure. J Clin Invest 129(7): 2775–2791. https://doi.org/10.1172/JCI123825. PMID: 31205027; PMCID: PMC6597232
- Garcia V, Sessa WC (2019) Endothelial NOS: perspective and recent developments. Br J Pharmacol 176(2): 189–196. https://doi.org/10.1111/bph.14522
- Bonnin P, Vilar J, Levy BI (2016) Effect of normovolemic hematocrit changes on blood pressure and flow. Life Sci 157: 62–66. https://doi.org/10.1016/j.lfs.2016.01.050
- Liao FF, Lin G, Chen X, Chen L, Zheng W, Raghow R, Zhou FM, Shih AY, Tan XL (2021) Endothelial Nitric Oxide Synthase-Deficient Mice: A Model of Spontaneous Cerebral Small-Vessel Disease. Am J Pathol 191(11): 1932–1945. https://doi.org/10.1016/j.ajpath.2021.02.022
- Allbritton-King JD, García-Cardeña G (2023) Endothelial cell dysfunction in cardiac disease: driver or consequence? Front Cell Dev Biol 11: 1278166. https://doi.org/10.3389/fcell.2023.1278166
- Anishchenko AM, Aliev OI, Sidekhmenova AV, Shamanaev AY, Plotnikov MB (2015) Dynamics of blood pressure elevation and endothelial dysfunction in SHR rats during the development of arterial hypertension. Bull Exp Biol Med 159: 591–593. https://doi.org/10.1007/s10517-015-3020-8
- Sidekhmenova AV, Aliev OI, Anishchenko AM, Dunaeva OI, Ulyakhina OA, Plotnikov MB (2024) Influence of a Decrease in Blood Viscosity on Arterial Pressure in Normotensive and Spontaneously Hypertensive Rats. Bull Exp Biol Med 176: 419–422. https://doi.org/10.1007/s10517-024-06038-7
Дополнительные файлы



