Alterations in tissue content of iron and zinc in mice bearing hepatoma 22a and their correction by zinc sulphate supplementation
- Authors: Zelenskyi Е.А.1, Rutto K.V.1, Trulioff A.S.1, Magazenkova D.N.1, Sokolov A.V.1, Kisseleva Е.P.1,2
-
Affiliations:
- Institute of Experimental Medicine
- North-Western Medical University named after II Mechnikov
- Issue: Vol 110, No 7 (2024)
- Pages: 1128–1146
- Section: EXPERIMENTAL ARTICLES
- URL: https://ogarev-online.ru/0869-8139/article/view/266963
- DOI: https://doi.org/10.31857/S0869813924070057
- EDN: https://elibrary.ru/BDUWVC
- ID: 266963
Cite item
Full Text
Abstract
It is known that many tumors induce iron and zinc deficiency in the organism. We studied the content of these metals, as well as the specific activity of two antioxidant metal-dependent enzymes – catalase and superoxide dismutase of three distal organs (thymus, liver and spleen) in animals bearing transplantable hepatoma 22a. These alterations were compared to weight changes of organs. On day 21 of tumor growth, as compared to control group, nonheme iron content in all three organs was decreased, and zinc content – only in the thymus. The specific activities of catalase and superoxide dismutase were both increased in the thymus, while in the liver activity of superoxide dismutase decreased. At the same time point thymic involution and splenomegaly were developed. In order to normalize metal content mice bearing hepatoma 22a were supplemented with 22 mkg of zinc sulphate per ml of drinking water during 3 weeks. Zinc sulphate supplementation partly compensated zinc deficiency in the thymus, increased zinc content in the liver and restored iron content in three organs. It also normalized superoxide dismutase activity in the liver and had no influence on enzymes in other organs. Zinc supplementation did not influence the weight of spleen and liver, but prevented the development of thymic involution. Moreover, metal deficiency in the thymus was restored while the activity of antioxidant enzymes remained unchanged. Based on this we can conclude that thymus involution in hepatoma 22a mice was associated with iron and zinc deficiency in this organ and was not linked with antioxidant enzyme activity, while splenomegaly had no relation to both types of parameters in the spleen. Thus, zinc sulphate positively influences metabolism of two vital trace elements – zinc and iron in animals bearing hepatoma 22a, what contributes to maintaining of the central immune organ – the thymus, and along with this it improves antioxidant system of the liver.
Keywords
Full Text
Введение
Цинк и железо – два жизненно важных микроэлемента, между которыми в организме существует тесная взаимосвязь [1]. Имеются данные о снижении концентрации обоих микроэлементов в сыворотке крови при росте ряда опухолей у человека [2, 3] и животных [4]. Показано, что дефицит железа [5] и цинка [6, 7] у больных раком может оказывать неблагоприятное влияние на проводимую терапию и выживаемость. Это может являться следствием негативного влияния дефицита железа [8] и цинка [9, 10] на работу иммунной системы, что снижает способность организма сопротивляться инфекциям. Однако роль недостаточности этих микроэлементов в работе различных органов и систем при опухолевом росте мало изучена.
Анализ данных литературы указывает, что между изменениями, происходящими при опухолевом росте, имеется много общего с тем, что наблюдается в организме животных с пищевым дефицитом микроэлементов. Так, хорошо известно, что опухолевый рост сопровождается такими системными изменениями, как инволюция тимуса, сплено- и гепатомегалия, механизмы которых до сих пор остаются неизвестными [11]. У животных, находящихся на диете с недостаточным содержанием цинка, также развивается инволюция тимуса [12, 13]. Пищевой дефицит другого микроэлемента – железа вызывает у животных и атрофию тимуса и спленомегалию [14–16]. Нехватка цинка в организме рассматривается также в качестве одной из важных причин инволюции тимуса при старении [17].
Однако существует ли связь между дефицитом металлов и изменениями массы этих органов при опухолевом росте, неизвестно. Еще в 50-е годы XX века из гомогената опухолевой ткани животных был получен полипептид, названный «токсогормоном», который при введении интактным животным вызывал инволюцию тимуса, сплено- и гепатомегалию, а также гипоферремию, анемию и снижение активности каталазы в печени [18]. К сожалению, действующее начало «токсогормона» так и не было установлено [19].
Сходства между пищевым дефицитом микроэлементов и опухолевым ростом имеются также и в развитии системного окислительного стресса. Хорошо известно, что его вызывает дефицит цинка [20], а в последнее время появились указания на то, что этому способствует и дефицит железа [5, 8].
Системный окислительный стресс при опухолевом росте проявляется в повышенном содержании продуктов пероксидации липидов и дисбалансе антиоксидантных ферментов в крови пациентов [21], а также в печени и селезенке при росте экспериментальных опухолей [22, 23]. Предполагается, что повышение генерации активных форм кислорода (АФК) в удаленных от опухоли органах может являться причиной развития в них функциональных и морфологических нарушений. Так, например, усиление апоптоза тимоцитов [24] и появление дегенеративных изменений в печени [23] связывают с повышением генерации АФК в этих органах при росте карциномы Эрлиха.
Однако влияние опухолевого роста на развитие окислительного стресса в удаленных от опухоли органах изучено недостаточно, этому вопросу посвящены лишь единичные исследования. Между тем оценка нарушений антиоксидантной защиты в удаленных от опухоли тканях, в том числе и в органах иммунной системы, может иметь важное значение для их нормального функционирования. Например, существование связи между окислительным стрессом и атрофическими изменениями в тимусе широко обсуждается при старении [25], однако при опухолевом росте подобный механизм развития инволюции тимуса не изучался.
Приведенные данные позволили нам создать гипотезу о возможной связи изменения массы тимуса, селезенки и печени при опухолевом росте с нарушением содержания в этих органах двух важных микроэлементов – железа и цинка, а также со связанным с этим изменением тканевого окислительно-восстановительного потенциала.
Работу проводили на модели перевиваемой гепатомы 22а у мышей, рост которой, как показано нами ранее, сопровождается снижением концентрации железа и цинка в сыворотке крови [26, 27]. В задачи исследования входило изучение содержания микроэлементов (железа и цинка) и активности металлосодержащих антиоксидантных ферментов – каталазы и Cu, Zn-супероксиддисмутазы (СОД) в удаленных от опухоли органах (тимусе, селезенке и печени) при опухолевом росте, а также изменение этих показателей после дополнительного приема сульфата цинка с питьевой водой. Полученные результаты сопоставляли с изменениями масс органов.
Методы исследования
Животные. Работу проводили на мышах-самцах C3HA массой тела 16–18 г, полученных из питомника лабораторных животных «Рапполово» Национального исследовательского центра «Курчатовский институт» – ПИЯФ (Санкт-Петербург, Россия). Животные находились на стандартной диете и получали сухой комбикорм ПК-120 (Лабораткорм, Москва, Россия), содержащий 22.5 мг цинка и 18 мг железа на кг. Мыши имели свободный доступ к еде и питьевой воде ad libitum. Световой режим день/ночь был установлен по 12 ч, температура в помещении – 22 °C.
Клеточные культуры. Культура клеток гепатомы 22а (MH-22a/МГ-22а) была получена из коллекции клеточных культур Института цитологии РАН. Клетки культивировали в среде DMEM (Биолот, Россия) с добавлением 10% эмбриональной телячьей сыворотки (HyClone, Великобритания), 0.1 мг/мл гентамицина (Биолот, Россия) и 0.6 мг/мл глутамина (Биолот, Россия) при 5% CO2 и 37 °C.
Опухолевая модель. Для получения солидных опухолей животным подкожно инокулировали в область спины 2×105 живых клеток гепатомы 22а в 0.2 мл забуференного физиологического раствора (PBS, Биолот, Россия). Контрольные животные получали инъекцию только PBS (группа С, Control на рисунках). Для изучения действия цинка животные с опухолями получали ad libitum питьевую воду с добавлением сульфата цинка (Sigma, США) в концентрации 22 мкг/мл с первого дня после инокуляции клеток гепатомы 22а в течение всего периода эксперимента. Концентрация сульфата цинка, добавляемого к питьевой воде (22 мкг/мл), была подобрана нами ранее по эффективности восстановления содержания цинка в сыворотке крови у животных с гепатомой 22а [27]. Эта концентрация по расчетам соответствует нормальному содержанию цинка в корме и международным стандартам [28]. Таким образом, группа мышей фактически получала дозу цинка в два раза больше, чем физиологическая (с кормом и дополнительно с питьевой водой). Важно также упомянуть, что прием цинка не влиял на его концентрацию в сыворотке крови контрольных мышей без опухолей [27].
На 21-е сутки опухолевого роста животных выводили из эксперимента методом цервикальной дислокации, извлекали органы, взвешивали и определяли в них содержание микроэлементов и ферментов. Кроме того, в отдельной группе животных с гепатомой 22а определяли также массы органов в динамике с 7-х по 35-е сутки опухолевого роста.
Определение содержания негемового железа в тканях. Концентрацию железа определяли колориметрическим методом [29] с использованием хромогенного агента феррозина (Sigma-Aldrich, США). Гомогенаты тканей приготавливали в деионизированной воде 1 : 10 (масса/объем) и смешивали с равным объемом раствора, преципитирующего белки, состоящего из 1 M HCl (Реахим, Россия) и 10% трихлоруксусной кислоты (Реахим, Россия). Пробы нагревали при 95 ºC в течение 1 ч, затем охлаждали до комнатной температуры и центрифугировали при 8200 g в течение 10 мин. После этого 30 мкл супернатанта смешивали с 30 мкл хромогенного субстрата, состоящего из 0.508 мМ феррозина, 1.5 M ацетата натрия (Amresco, США) и 1.5% тиогликолевой кислоты (Sigma-Aldrich, США); в контрольные пробы феррозин не добавляли. Через 30 мин оптическую плотность раствора измеряли с помощью микропланшетного спектрофотометра (ClarioStar, BMG Labtech, Германия) при длине волны 562 нм. Построение калибровочных кривых проводили в день эксперимента с использованием 0–20 мкг/мл железа (в виде раствора NH4Fe(SO4)2·12 H2O (Sigma-Aldrich, США) в 0.4 M натрий-ацетатном буфере, pH 5.5, в качестве стандарта.
Содержание общего цинка в тканях определяли с помощью метода атомно-абсорбционной спектрометрии. Образцы растворяли в азотной кислоте (Реахим, Россия) и проводили измерение по отношению к стандартным растворам цинка (Центр стандартных образцов и высокочистых веществ, Санкт-Петербург, Россия) с помощью спектрометра ZEEnit 650P (Analytik Jena, Германия). Результат выражали в микрограммах Zn на 1 г массы сырой ткани.
Определение активности каталазы. Для оценки активности каталазы в гомогенатах органов использовали метод с регистрацией комплекса пероксида водорода с ванадатом аммония [30], адаптированный для микропланшетов. Для этого 50 мкл тканевого гомогената, разведенного в 2, 4 и 8 раз 50 мМ натрий-фосфатным буфером (pH 7.0) смешивали со 100 мкл 10 мМ H2O2 (Реахим, Россия). После инкубации в течение 2 мин на термошейкере при 270 об/мин и 37 °C реакцию останавливали путем добавления 50 мкл хромогенного раствора, содержащего 10 мМ NH4VO3 (Sigma-Aldrich, США) в 0.5 M H2SO4 (Реахим, Россия). Оптическую плотность раствора измеряли с помощью микропланшетного спектрофотометра при длине волны 452 нм. Для построения калибровочной кривой 100 мкл последовательных двукратных разведений 10 мМ H2O2 смешивали с 50 мкл 50 мМ натриево-фосфатного буфера, pH 7.0 (вместо тканевого гомогената) и через 2 мин добавляли 50 мкл 10 мМ NH4VO3 в 0.5 M H2SO4. После определения белка по Бредфорду (Bio-Rad, США) удельную активность каталазы в пробах выражали в микромолях поглощенной H2O2 в течение 1 мин на 1 мг общего белка.
Активность СОД оценивали с помощью модифицированного метода [31] с использованием 50 мкМ ресазурина (Sigma-Aldrich, США), который восстанавливался супероксидными анион-радикалами, генерируемыми 150 мкМ ксантином (Sigma-Aldrich, США) и 100 нМ ксантиноксидазой (Sigma-Aldrich, США) [32]. Для учета вклада Mn-СОД к контрольным пробам добавляли 2 мМ цианида натрия (Реахим, Россия), ингибирующего Cu, Zn-СОД. За 1 условную единицу (у. е.) СОД принимали количество фермента, которое вызывало 50%-ное понижение интенсивности флуоресценции продукта восстановления ресазурина с учетом ингибирования Cu, Zn-СОД в контрольной пробе. В пробах гомогенатов также определяли концентрацию белка по Бредфорду и рассчитывали удельную активность ферментов.
Статистическую обработку результатов проводили в программе Statistica 13.0 с использованием t-критерия Стьюдента. Различия считали статистически значимыми при p ≤ 0.05. Данные представлены в виде среднего значения ± ошибка среднего (M ± SEM).
Результаты исследования
Влияние роста гепатомы 22а на массу органов. Начиная с 21-х суток после инокуляции опухолевых клеток, наблюдали прогрессивное уменьшение массы тимуса (рис. 1a) и увеличение массы селезенки (рис. 1b). Увеличение массы печени начиналось несколько позже – с 28-х суток (рис. 1с).
Рис. 1. Влияние опухолевого роста на массу органов.
По оси ординат: масса органов, мг, (а) – тимуса, (b) – селезенки и (с) – печени (n = 15–20). По оси абсцисс: дни после инокуляции опухоли, сутки Обозначения: C (Control) – контрольные животные, Hep (Hepatoma 22a) – мыши с гепатомой 22а. Здесь и далее данные представлены в виде средней величины и ошибки среднего (M ± m), звездочками обозначены достоверные различия между опухолевой (Hep) и контрольной (С) группами животных: * – р < 0.05, ** – р < 0.01, *** – р < 0.001.
Для дальнейших исследований был выбран срок 21 сутки, когда уже были выражены изменения массы тимуса и селезенки, но еще не началась гепатомегалия, поэтому влияние дополнительного приема цинка на ее развитие не оценивали.
Размеры опухолей на этом сроке достигали около 15 мм в диаметре, масса опухолей составляла 1.2 ± 0.3 г. При этом масса тела мышей не изменялась и составляла 19.5 ± 0.6 г в контроле и 20.9 ± 1.4 г в группе мышей с гепатомой 22а (n = 6).
Влияние роста гепатомы 22а и дополнительного приема сульфата цинка на содержание эндогенного цинка в органах. При исследовании содержания общего цинка в органах выявлено, что на 21-е сутки опухолевого роста этот показатель не отличался от нормы в селезенке и печени в расчете на единицу массы, но был снижен в тимусе (рис. 2а).
Поскольку на этом сроке наблюдаются выраженные изменения массы тимуса и селезенки, были также рассчитаны показатели на весь орган. Оказалось, что в печени содержание цинка на весь орган не отличается от группы контроля (рис. 2d), в селезенке повышено (рис. 2c), а в тимусе – резко снижено, почти в 4 раза (рис. 2a).
В группе мышей с опухолями, получавшими сульфат цинка, содержание эндогенного цинка в селезенке оставалось таким же, как и у животных с гепатомой, не получавших цинк (рис. 2а, с), в печени – было выше контрольного уровня и также выше, чем у мышей с гепатомой 22а (рис. 2а, d). В тимусе содержание цинка в группе мышей, получавших цинк, было в 2 раза больше, чем у животных без препарата, однако оно оставалось значительно меньше, чем у контрольных животных (рис. 2b).
Рис. 2. Влияние опухолевого роста и приема сульфата цинка в течение 21 суток на содержание эндогенного цинка в органах. По оси ординат: (а) содержание цинка в расчете на единицу массы, µg/g сырой ткани, (b, c, d) содержание цинка в расчете на весь орган, µg/organ. В каждой группе по 10 мышей. По оси абсцисс: группы животных. Обозначения: С (Control) – контрольные животные, Hep (Hepatoma) – мыши с гепатомой 22а, Hep+Zn22 – мыши с гепатомой 22а, получавшие сульфат цинка (22 мкг/мл с питьевой водой). Звездочками обозначены достоверные различия каждой из опытных групп по отношению к группе (С) контрольных животных.
Чтобы ответить на вопрос, можно ли достигнуть большей компенсации сниженного содержания цинка в тимусе путем увеличения концентрации сульфата цинка в питьевой воде, были поставлены эксперименты с концентрацией цинка – 66 мкг/мл. Как показано на рис. 3, прием сульфата цинка в этой концентрации не приводил к большему увеличению содержания эндогенного цинка в тимусе по сравнению с концентрацией 22 мкг/мл. Снижение концентрации сульфата цинка до 11 мкг/мл также не давало преимуществ.
Рис. 3. Влияние разных концентраций сульфата цинка в питьевой воде на содержание эндогенного цинка в тимусе. По оси ординат: содержание эндогенного цинка в тимусе в расчете на орган, µg/organ. По оси абсцисс: группы животных C1 (Control1) – группа контрольных животных; C2 (Control2) – группа контрольных животных, получавших сульфат цинка в концентрации 22 мкг/мл в течение 21 суток; Hep (Hepatoma) – животные в гепатомой 22а; Hep+Zn11, Hep+Zn22, Hep+Zn66 – животные с гепатомой 22а, которые получали в течение 21 суток сульфат цинка в концентрациях 11, 22 и 66 мкг/мл соответственно. В каждой группе по 10 мышей. Звездочками обозначены достоверные различия между каждой из опытных групп по отношению к контрольной (С1) группе животных.
Таким образом, из трех органов содержание цинка при росте гепатомы 22а было существенно снижено только в тимусе (при расчете на весь орган), и дополнительный прием цинка частично компенсировал это снижение.
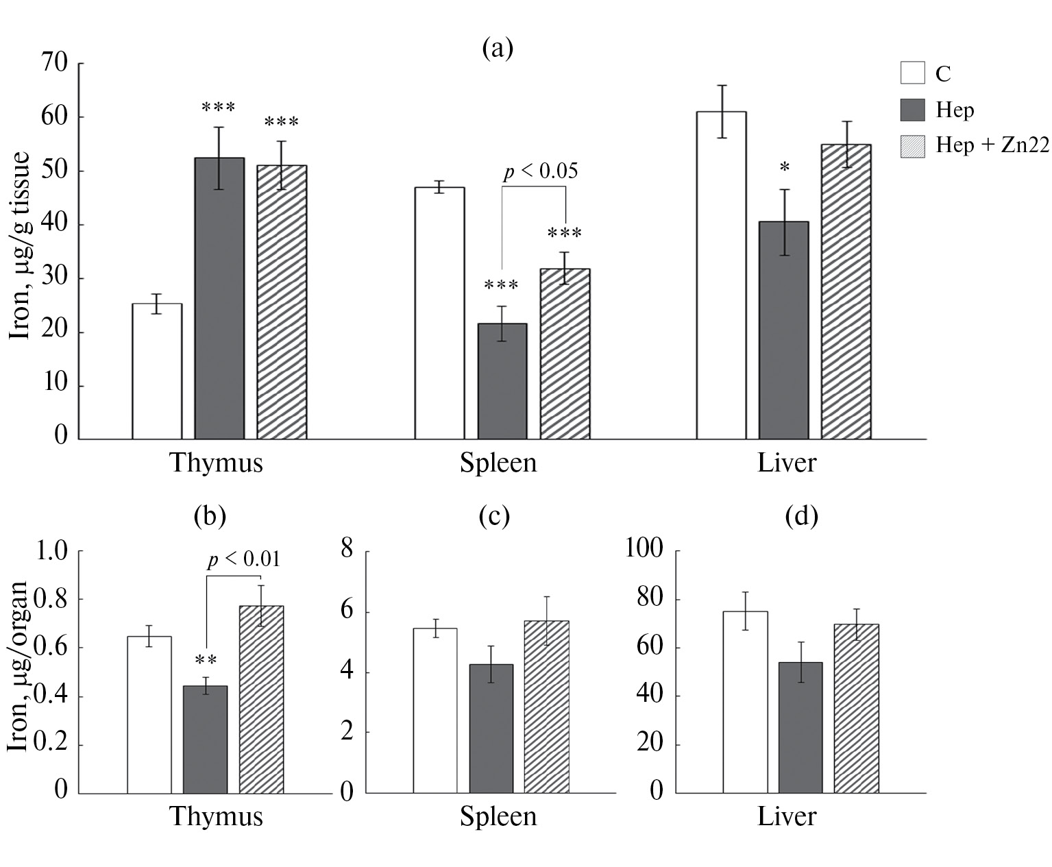
Влияние роста гепатомы 22а и дополнительного приема сульфата цинка на содержание негемового железа в органах и их массу. У животных на 21-е сутки опухолевого роста было выявлено удельное снижение содержания негемового железа в печени и селезенке при расчете на единицу массы ткани (рис. 4а), и те же тенденции сохранялись при расчете на весь орган (рис. 4с, d). Изменения в тимусе при расчете на единицу массы были полностью противоположными – было выявлено повышение (рис 4а), а при расчете на орган наблюдали выраженное снижение содержания железа (рис. 4b), хотя и не такое значительное, как уменьшение содержания другого микроэлемента – цинка (рис. 2b).
Рис. 4. Влияние опухолевого роста и приема сульфата цинка в течение 21 суток на содержание негемового железа в органах. По оси ординат: (а) содержание железа в расчете на единицу массы, µg/g сырой ткани, (b, c, d) содержание железа в расчете на весь орган, µg/organ. В каждой группе 15–20 мышей. По оси абсцисс: группы животных. Обозначения: С (Control) – контрольные животные, Hep (Hepatoma) – мыши с гепатомой 22а, Hep+Zn22 – мыши с гепатомой 22а, получавшие сульфат цинка (22 мкг/мл с питьевой водой). Звездочками обозначены достоверные различия каждой из опытных групп по отношению к группе контрольных животных (C).
Чтобы ответить на вопрос, предшествовали ли изменения содержания железа в тимусе процессу инволюции или сопровождали его, исследовали эти показатели в динамике опухолевого роста. Повышение удельного содержания железа в тимусе начиналось у животных с 21-х суток роста гепатомы 22а, так же, как и снижение содержания негемового железа на орган (рис. 5a, b). Тем самым было показано, что изменения содержания железа у мышей с опухолями не предшествовали уменьшению массы тимуса (рис. 1а), а развивались параллельно, что не позволяет нам установить причинно-следственные отношения между этими процессами. Однако при этом следует отметить, что показатели содержания железа в расчете на орган имели тенденцию к снижению по отношению к контрольному уровню на всех сроках исследования (рис. 5b).
Рис. 5. Влияние опухолевого роста на содержание негемового железа в тимусе. По оси ординат: (а) содержание железа в тимусе, µg/g сырой ткани; (b) содержание железа в тимусе в расчете на орган, µg/organ, C – у контрольных мышей и Hep – у мышей с гепатомой 22а. В каждой группе 15–20 мышей. По оси абсцисс: время после инокуляции гепатомы 22а, сутки.
В результате приема сульфата цинка у животных наблюдалось повышение содержания железа в селезенке и печени при расчете обоими способами (рис. 4a, c, d), а в тимусе только при расчете на весь орган (рис. 4b). При этом содержание негемового железа при расчете на орган восстанавливалось полностью до нормальных показателей в тимусе, печени и селезенке. Удельное содержание негемового железа в тимусе (при расчете на единицу массы) после приема цинка не изменялось и оставалось таким же повышенным, как и в группе мышей с гепатомой 22а, которые цинка не получали (рис. 4b).
Противоречивые результаты по содержанию железа в тимусе можно предположительно объяснить тем, что этот микроэлемент распределен в органе неравномерно и содержится в основном в стромальных клетках, а не тимоцитах [33, 34], хотя этот вопрос недостаточно изучен. При росте гепатомы 22а уменьшение массы органа происходит главным образом за счет убыли кортикальных тимоцитов [35]. Если допустить, что большая часть железа сохраняется в эпителиальных клетках и макрофагах тимуса, то при расчете на единицу массы может быть относительное повышение содержания железа, в то время как в целом органе его содержание будет снижено, например, вследствие недостаточного поступления или других причин. Мы предполагаем, что при развитии инволюции тимуса расчет содержания железа на орган будет более адекватно отражать происходящий процесс, чем на единицу массы, как это обычно принято в подобных исследованиях.
Таким образом, содержание негемового железа было снижено во всех трех органах, а с помощью сульфата цинка было достигнуто его восстановление до нормального уровня.
При исследовании влияния приема сульфата цинка на массу исследуемых органов оказалось, что это приводит к торможению развития инволюции тимуса и частичного сохранения его массы (рис. 6a), но при этом не оказывает влияния на массу селезенки и печени (рис. 6b, c).
Рис. 6. Влияние опухолевого роста и приема сульфата цинка в течение 21 суток на массу органов. По оси ординат: (а) масса тимуса, мг, (b) масса селезенки, мг, (c) масса печени, мг. В каждой группе по 10 мышей Обозначения: С (Control) – контрольные животные, Hep (Hepatoma) – мыши с гепатомой 22а, Hep+Zn22 – мыши с гепатомой 22а, получавшие сульфат цинка (22 мкг/мл питьевой воды). Звездочками обозначены достоверные различия каждой из опытных групп по отношению к группе (C) контрольных животных.
Влияние роста гепатомы 22а и дополнительного приема сульфата цинка на активность антиоксидантных ферментов в органах. Поскольку содержание железа и цинка оказывает существенное влияние на окислительно-восстановительный потенциал в тканях, была изучена активность железосодержащего антиоксидантного фермента каталазы и цинксодержащей СОД. На 21-е сутки роста гепатомы 22а наблюдали повышение активности обоих ферментов в тимусе и снижение активности СОД в печени (рис. 7а, b). Активность каталазы в печени и активность обоих ферментов в селезенке не отличались от показателей в контрольной группе.
Применение сульфата цинка не оказывало влияния на активность ферментов в органах за исключением СОД в печени, активность которой восстанавливалась до контрольного уровня (рис. 7b), что соответствовало повышенному уровню цинка в печени у животных этой группы (рис. 2a, d).
Рис. 7. Влияние опухолевого роста и приема сульфата цинка в течение 21 суток на специфическую активность антиокислительных ферментов в органах. По оси ординат: (а) – активность каталазы (CAT, catalase), µmol (мкмоль) H2O2, поглощенной за 1 мин на 1 мг общего белка (n = 10); (b) – активность супероксиддисмутазы (SOD, superoxide dismutase), у. е. на 1 мг общего белка (n = 10). По оси абсцисс: группы животных, С (Control) – контрольные животные, Hep (Hepatoma) – мыши с гепатомой 22а, Hep+Zn22 – мыши с гепатомой 22а, получавшие сульфат цинка (22 мкг/мл с питьевой водой). Звездочками обозначены достоверные различия каждой из опытных групп по отношению к группе контрольных животных (C).
Обсуждение результатов
В работе изучали влияние роста перевиваемой гепатомы 22а на изменения содержания цинка и негемового железа в трех удаленных от опухоли органах: тимусе, печени и селезенке. Во всех трех органах было обнаружено снижение содержания железа, а цинка – только в тимусе. На 21-е сутки опухолевого роста эти изменения сопровождались уменьшением массы тимуса, увеличением массы селезенки и отсутствием изменений этого показателя в печени. Изучение содержания железа и цинка в тимусе животных с другими перевиваемыми опухолями, судя по доступной нам литературе, ранее не проводилось.
Для нормализации содержания металлов в органах, а также для того, чтобы установить возможную связь между их нарушениями и изменениями массы органов, эти же показатели исследовали у животных в условиях экспериментального воздействия в виде дополнительного приема сульфата цинка с питьевой водой в течение трех недель. Исследования тимуса, печени и селезенки дали разные результаты.
Нормализация содержания железа в печени и селезенке, а также повышение содержания цинка в печени у животных в группе, получавшей сульфат цинка, по сравнению с мышами-опухоленосителями, цинка не получавшими, на массу этих органов никак не повлияла. Сходные результаты были получены у крыс при росте канцероген-индуцированной опухоли молочной железы, у которых нормализация сниженного содержания железа в селезенке в результате дополнительного приема цинка не влияла на массу этого органа, которая оставалась повышенной [36].
Эти результаты и полученные нами данные позволяют сделать заключение о том, что изменения содержания железа в селезенке не связаны с ее массой и, следовательно, спленомегалия при опухолевом росте не является результатом сниженного содержания железа в этом органе.
В отличие от селезенки изменения массы тимуса при росте гепатомы 22а происходили параллельно с восстановлением содержания микроэлементов в этом органе. Нами впервые показано, что в группе животных, получавших сульфат цинка, содержание железа и цинка в тимусе (при расчете на орган) было больше по сравнению с мышами-опухоленосителями, цинк не получавшими, и это сопровождалось достоверным увеличением массы тимуса.
Впервые возможность применение цинка для сохранения массы тимуса при росте экспериментальной опухоли (карциномы Льюиса) была продемонстрирована в работе Kaiserlian с соавт. [37]. Кроме того, описан положительный результат клинического применения высоких доз цинка для восстановления функций тимуса у больных множественной миеломой после пересадки гемопоэтических стволовых клеток [38]. Данные литературы свидетельствуют о высокой клинической востребованности новых стратегий по восстановлению и сохранению функций тимуса у онкологических больных [39], у которых применение цинка может оказаться весьма перспективным.
Из возможных механизмов действия сульфата цинка у мышей с гепатомой 22а следовало, прежде всего, исключить возможность его прямого действия на опухолевый рост и опосредованное этим влияние на тимус. Как было показано нами ранее, прием сульфата цинка не оказывал влияния на размеры опухолей и выживаемость мышей [27]. Таким образом, влияние цинка на тимус не было опосредовано торможением роста самой опухоли. Аналогичные данные были получены при внутрибрюшинном введении цинка мышам с карциномой Льюиса, которое не оказывало влияния на опухолевый рост, но, так же, как и в наших исследованиях задерживало инволюцию тимуса [37].
Следует признать, что атрофия тимуса при опухолевом росте является многофакторным процессом, в котором могут быть задействованы различные механизмы с участием гормонов, цитокинов, ростовых факторов, метаболитов, продуктов опухолевого распада и др., их сочетание может варьировать в зависимости от вида опухоли [11]. Полученные нами данные впервые позволяют дополнить этот список дефицитом железа и цинка как важным элементом в развитии инволюции тимуса при опухолевом росте (рис. 8).
Рис. 8. Позитивные изменения, происходящие в организме животных с гепатомой 22а, в результате приема сульфата цинка в концентрации 22 мкг/мл питьевой воды в течение 21 суток. Системные изменения у мышей с гепатомой 22а, начиная с 21-х суток ее роста, включают снижение содержания негемового железа в тимусе, печени и селезенке, а также снижение содержания цинка в тимусе, которые сопровождаются развитием инволюции тимуса и спленомегалии. Кроме того, у животных с гепатомой отмечены нарушения активности антиоксидантных ферментов: повышение активности каталазы и СОД в тимусе (не показано) и снижение активности СОД в печени. Прием сульфата цинка с питьевой водой животными с гепатомой 22а препятствует снижению содержания негемового железа в тимусе, печени и селезенке и повышает содержание цинка в тимусе и печени. При этом также восстанавливается активность СОД в печени. Прием сульфата цинка тормозит развитие инволюции тимуса и не влияет на массу других органов – селезенки и печени. Обозначения: ↑ повышение, ↓ снижение.
Коррекция дефицита цинка и железа может рассматриваться в качестве возможного механизма торможения инволюции тимуса при росте гепатомы 22а. Но это происходит лишь частично, поскольку основные причины развития инволюции тимуса, связанные с опухолевой прогрессией, не устраняются. Мы не можем свести метаболические изменения в организме, которые происходят при росте опухоли, к простому дефициту микроэлементов, хотя это и не лишено оснований, поскольку опухолевый рост часто сопровождается анорексией, нарушением всасывания и кровотечениями.
Трудно определить, какой из двух микроэлементов – железо или цинк важнее для нормального функционирования вилочковой железы. Оба микроэлемента необходимы для нормальной работы любых клеток, но особенно для клеток с высокой пролиферативной активностью, какими являются лимфоциты. Это связано с тем, что цинк содержится в ДНК- и РНК-полимеразах и тимидинкиназе [10], а железо служит кофактором рибонуклеотидредуктазы – ключевого фермента для биосинтеза дезоксинуклеотидов [8]. Кроме того, цинк особенно важен для созревания тимоцитов, поскольку он содержится в тимусной терминальной нуклеотидилтрансферазе (TdT), участвующей в реаранжировке генов Т-клеточного рецептора (TCR). Оба металла регулируют механизмы развития клеточной смерти: цинк – апоптоза и аутофагии [9], железо – ферроптоза [40], а также оказывают существенное влияние на формирование окислительно-восстановительного потенциала тканей.
Изменения, происходящие при росте гепатомы 22а, во многом похожи на те, которые происходят в организме животных с пищевым дефицитом железа и цинка, однако имеются и существенные различия. Если рассматривать изменения массы органов, то инволюция тимуса характерна для всех трех экспериментальных моделей [12, 13, 16, 17]; спленомегалия наблюдается при росте гепатомы 22а и дефиците железа [14, 16], но не цинка, при котором отмечают гипоплазию селезенки [41] (табл. 1). Гепатомегалия сопровождает только опухолевый рост и не развивается при дефиците этих металлов [14, 16, 42].
Таблица 1. Сравнительный анализ системных изменений, происходящих в организме животных с гепатомой 22а и животных, содержащихся на диетах с дефицитом по цинку или железу
Ткань | Параметр | Дефицит железа | Дефицит цинка | Гепатома 22а |
Тимус | Масса и число клеток | ↓ [27] | ||
Селезенка | Масса | ↓ [41] | ↑ | |
Печень | Масса | = [42] | ↑ | |
Тимус | Fe* | Нет данных | = [43] ↑ [44] | ↑ |
Zn* | Нет данных | = [43] = [44] | ↓ | |
Селезенка | Fe* | ↓ [14] | ↓ [43] ↑ [44] | ↓ |
Zn* | ↓ [46] = [14] | = [43] ↓ [44] | = | |
Печень | Fe* | ↑ [44] | ↓ | |
Zn* | ↓ [43; 44] | = | ||
Кровь | Fe | ↓ [14] | ↓ [43] | ↓ [26] |
Zn | ↓ [14] | ↓ [27] | ||
Глюкокортикоиды | ↑ [12] | = [35] |
Примечание: ↑ повышение, ↓ снижение, = нет изменений. * – содержание микроэлементов в органах на единицу массы.
Содержание микроэлементов в органах может значительно варьировать как при пищевом дефиците, так и при росте опухолей. В тимусе содержание металлов при пищевом дефиците железа не исследовали, а при дефиците цинка отмечали или нормальное содержание железа и цинка [43] или повышение содержания железа на единицу массы [44], как и при росте гепатомы 22а. К сожалению, в этих работах массу тимуса не определяли.
В печени и селезенке при пищевом дефиците железа содержание железа снижается [14, 16, 45], что может не сопровождаться изменениями содержания цинка в этих органах [14, 46].
В печени и селезенке при пищевом дефиците цинка содержание железа снижается [43, 44] и наблюдаются разные показатели содержания железа – повышение в печени и селезенке [44], отсутствие изменений в печени [43, 45] и снижение в селезенке [43].
При росте гепатомы 22а данные по содержанию двух микроэлементов в печени и селезенке в большей степени соответствуют изменениям при дефиците железа, чем цинка.
В крови уровни содержания железа и цинка в значительной степени влияют друг на друга – при пищевом дефиците железа гипоферремию сопровождает гипоцинкемия [14], а для дефицита цинка также характерно снижение содержания обоих металлов в циркуляции [43]. Как показано нами ранее, при росте гепатомы 22а концентрации и цинка, и железа в крови снижены [26, 27].
По данным литературы, существенным отличием дефицита цинка от дефицита железа является усиление апоптоза тимоцитов, которое связывают с подъемом концентрации глюкокортикоидов в крови [12, 13]. При дефиците железа апоптоз тимоцитов не усиливается [15], хотя повышение концентрации гормонов надпочечников в циркуляции тоже возможно [47, 48]. Рост гепатомы 22а, как и пищевой дефицит цинка, сопровождается усилением апоптоза тимоцитов, однако при этом концентрация кортикостерона в плазме мышей не отличается от контрольного уровня [35].
Если суммировать все данные и оценить, какие явления превалируют в организме мышей с гепатомой 22а – похожие в большей степени на дефицит цинка или железа, то окажется, что сходства и различия распределяются примерно поровну. Возможно, что изменения протекают по смешанному варианту. Из этих двух металлов лимитирующим фактором является цинк, поскольку в расчете на орган содержание негемового железа в тимусе мышей с гепатомой 22а посредством приема сульфата цинка нормализовалось полностью, а содержание цинка удалось сохранить лишь частично, так же как и массу тимуса. При этом дальнейшее повышение концентрации принимаемого животными сульфата цинка положительного эффекта не давало.
Между обменом железа и цинка в организме существует тесная взаимосвязь на уровне всасывания, транспорта, активности регуляторных белков и формирования запасов [1]. Неудивительно, что препараты цинка применяют для лечения железодефицитной анемии. Однако между цинком и железом существуют не только синергические, но и антагонистические взаимоотношения, например, при их совместном применении, и результат во многом определяется их концентрациями и соотношением [1]. В наших экспериментах концентрация сульфата цинка 22 мкг/мл оказалась достаточно эффективной, чтобы позитивно воздействовать на содержание железа в органах мышей. Полученные нами данные подтверждают возможность использования цинка для восстановления сниженного содержания железа в печени и селезенке, показанную у животных при росте других опухолей [36].
В работе также оценивали возможное антиоксидантное действие сульфата цинка в организме мышей с гепатомой 22а. Дефицит как цинка [20], так и железа [5, 8] может способствовать развитию окислительного стресса, в частности, из-за того, что эти микроэлементы необходимы для функционирования антиоксидантных ферментов.
Известно, что в самой опухолевой ткани повышена продукция АФК, что приводит к развитию окислительного стресса [49]. Считается, что внеклеточные АФК не только способствуют росту основного опухолевого узла in situ, но также могут участвовать в подготовке отдаленных тканей к метастазированию. Развитие оксидативного стресса сопровождает рост практически всех опухолей. Высокие уровни АФК вызывают неспецифические повреждения ДНК, белков и липидов. В крови больных с новообразованиями различных локализаций регистрируется повышенное содержание продуктов пероксидации липидов и снижение активности антиокислительных ферментов [21].
Повышение содержания продуктов пероксидации липидов в плазме крови показано также и у животных с экспериментальными опухолями [4, 50]. Внутрибрюшинное введение цинка подавляет развитие системного оксидативного стресса в организме опухоленосителей и снижает содержание малонового диальдегида в плазме крыс с канцероген-индуцированными опухолями молочных желез [4].
Признаки окислительного стресса обнаруживаются не только в циркуляции, но и в удаленных от опухоли нормальных органах. Показано повышение содержания малонового диальдегида в печени, а также наличие дисбаланса в работе ферментов антиоксидантной системы в печени и селезенке при развитии канцероген-индуцированных опухолей передней стенки желудка у мышей [22]. Обнаружено повышение содержания АФК и продуктов пероксидации липидов в печени и тимусе при росте карциномы Эрлиха [23, 24].
В настоящей работе были выявлены изменения в антиоксидантной защите тимуса и печени, что подтверждает данные литературы и в целом концепцию о развитии системного окислительного стресса при опухолевом росте. В тимусе обнаружено повышение активности каталазы и СОД, в печени – снижение активности СОД, в селезенке – отсутствие изменений. Прием сульфата цинка животными с опухолями не влиял на активность ферментов в тимусе (они оставались повышенными по сравнению с контролем) и селезенке, но восстанавливал активность СОД в печени.
На основании этих данных можно заключить, что прием сульфата цинка положительно влияет на антиоксидантную систему печени у животных с гепатомой 22а. При этом тормозящее действие цинка на развитие инволюции тимуса не связано с активностью каталазы и СОД в этом органе.
Таким образом, впервые показано, что инволюция тимуса при росте гепатомы 22а связана с дефицитом железа и цинка, а спленомегалия – не связана. Прием сульфата цинка с питьевой водой тормозит развитие инволюции тимуса и восстанавливает дефицит цинка и железа в этом органе. Кроме тимуса, прием сульфата цинка повышает содержание железа и в других органах – селезенке и печени, а также восстанавливает сниженную активность СОД в печени (рис. 8). В целом прием сульфата цинка оказывает позитивное влияние на метаболизм двух важнейших микроэлементов – железа и цинка в организме животных с гепатомой 22а и способствует сохранению тимуса, необходимого, как известно, для полноценной работы иммунной системы и защиты от инфекций.
Вклады авторов
Идея работы и планирование эксперимента (Е. П. К.), сбор данных (Е. А. З., Ф. С. Е., Д. Н. М.), обработка данных (Е. А. З., К. В. Р.), написание и редактирование рукописи (Е. П. К., А. В. С., Е. А. З.).
Финансирование работы
Данная работа финансировалась за счет средств бюджета исследований по плановой теме НИР Института экспериментальной медицины FGWG-2022–0005 (рег. № 122020300186–5). Никаких дополнительных грантов на проведение или руководство данным конкретным исследованием получено не было.
Соблюдение этических стандартов
Эксперименты с животными проводились в соответствии с международными рекомендациями по проведению биомедицинских исследований с лабораторными животными и были одобрены Комиссией по этике Института экспериментальной медицины, протокол № 1/21 от 28.01.2021 г.
Наблюдение за животными до их гибели при прогрессировании опухолевого процесса проводилось с соблюдением гуманных критериев, применяемых в экспериментальной онкологии [51].
Конфликт интересов
Авторы данной работы заявляют, что у них нет конфликта интересов.
About the authors
Е. А. Zelenskyi
Institute of Experimental Medicine
Author for correspondence.
Email: ekissele@yandex.ru
Russian Federation, Saint-Petersburg
K. V. Rutto
Institute of Experimental Medicine
Email: ekissele@yandex.ru
Russian Federation, Saint-Petersburg
A. S. Trulioff
Institute of Experimental Medicine
Email: ekissele@yandex.ru
Russian Federation, Saint-Petersburg
D. N. Magazenkova
Institute of Experimental Medicine
Email: ekissele@yandex.ru
Russian Federation, Saint-Petersburg
A. V. Sokolov
Institute of Experimental Medicine
Email: ekissele@yandex.ru
Russian Federation, Saint-Petersburg
Е. P. Kisseleva
Institute of Experimental Medicine; North-Western Medical University named after II Mechnikov
Email: ekissele@yandex.ru
Russian Federation, Saint-Petersburg; Saint-Petersburg
References
- Bjørklund G, Aaseth J, Skalny AV, Suliburska J, Skalnaya MG, Nikonorov AA, Tinkov AA (2017) Interactions of iron with manganese, zinc, chromium, and selenium as related to prophylaxis and treatment of iron deficiency. J Trace Elem Med Biol 41: 41–53. https://doi.org/10.1016/j.jtemb.2017.02.005
- Cunzhi H, Jiexian J, Xianwen Z, Jingang G, Shumin Z, Lili D (2003) Serum and tissue levels of six trace elements and copper/zinc ratio in patients with cervical cancer and uterine myoma. Biol Trace Elem Res 94(2): 113–122. https://doi.org/10.1385/BTER:94:2:113
- Idriss ME, Modawe GA, Shrif NE (2015) Assessment of serum zinc and iron among Sudanese women with breast cancer in Khartoum State. Int J Appl Sci Res Rev 2(2): 074–078.
- Gulbahce-Mutlu E, Baltaci SB, Menevse E, Mogulkoc R, Baltaci AK (2021) The effect of zinc and melatonin administration on lipid peroxidation, IL-6 Levels, and element metabolism in DMBA-induced breast cancer in rats. Biol Trace Elem Res 199(3): 1044–1051. https://doi.org/10.1007/s12011–020–02238–0
- Aksan A, Farrag K, Aksan S, Schroeder O, Stein J (2021) Flipside of the coin: iron deficiency and colorectal cancer. Front Immunol 12: 635899. https://doi.org/10.3389/fimmu.2021.635899
- Hoang BX, Han B, Shaw DG, Nimni M (2016) Zinc as a possible preventive and therapeutic agent in pancreatic, prostate, and breast cancer. Eur J Cancer Prevent 25(5): 457–461. https://doi.org/10.1097/CEJ.0000000000000194
- Gelbard A (2022) Zinc in cancer therapy revisited. Isr Med Assoc J 24(4): 258–262.
- Zohora F, Bidad K, Pourpak Z, Moin M (2018). Biological and immunological aspects of iron deficiency anemia in cancer development: a narrative review. Nutr Cancer 70(4): 546–556. https://doi.org/10.1080/01635581.2018.1460685
- John E, Laskow TC, Buchser WJ, Pitt BR, Basse PH, Butterfield LH, Kalinski P, Lotze MT (2010) Zinc in innate and adaptive tumor immunity. J Transl Med 8: 118. https://doi.org/10.1186/1479–5876–8–118
- Haase H, Rink L (2014) Zinc signals and immune function. Bio-Factors 40: 27–40. https://doi.org/10.1002/biof.1114
- Carrio R, Lopez DM (2013) Insights into thymic involution in tumor-bearing mice. Immunol Res 57(1–3): 106–114. https://doi.org/ 10.1007/s12026–013–8446–3
- King LE, Frentzel JW, Mann JJ, Fraker PJ (2005) Chronic zinc deficiency in mice disrupted T cell lymphopoiesis and erythropoiesis while B cell lymphopoiesis and myelopoiesis were maintained. J Am College Nutr 24(6): 494–502. https://doi.org/10.1080/07315724.2005.10719495
- Kido T, Suka M, Yanagisawa H (2022) Effectiveness of interleukin-4 administration or zinc supplementation in improving zinc deficiency-associated thymic atrophy and fatty degeneration and in normalizing T cell maturation process. Immunology 165(4): 445–459. https://doi.org/10.1111/imm.13452
- Yokoi K, Kimura M, Itokawa Y (1991) Effect of dietary iron deficiency on mineral levels in tissues of rats. Biol Trace Elem Res 29(3): 257–265. https://doi.org/10.1007/BF03032682
- Kuvibidila SR, Porretta C, Baliga BS, Leiva LE (2001) Reduced thymocyte proliferation but not increased apoptosis as a possible cause of thymus atrophy in iron-deficient mice. Br J Nutr 86: 157–162. https://doi.org/10.1079/BJN2001366
- Kuvibidila SR, Velez M, Gardner R, Penugonda K, Chandra LC, Yu L (2012) Iron deficiency reduces serum and in vitro secretion of interleukin-4 in mice independent of altered spleen cell proliferation. Nutr Res 32(2): 107–115. https://doi.org/10.1016/j.nutres.2011.12.005
- Mocchegiani E, Romeo J, Malavolta M, Costarelli L, Giacconi R, Diaz LE, Marcos A (2013) Zinc: dietar y intake and impact of supplementation on immune function in elderly. Age (Dordr) 35(3): 839–860. https://doi.org/10.1007/s11357–011–9377–3
- Nakahara W, Fukuoka F (1958) The newer concept of cancer toxin. Adv Cancer Res 5: 157–177. https://doi.org/10.1016/s0065–230x(08)60411-x
- Rubin H (2003) Cancer cachexia: its correlations and causes. Proc Natl Acad Sci U S A 100(9): 5384–5389. https://doi.org/10.1073/pnas.0931260100
- Jarosz M, Olbert M, Wyszogrodzka G, Młyniec K, Librowski T (2017) Antioxidant and anti-inflammatory effects of zinc. Zinc-dependent NF-κB signaling. Inflammopharmacology 25: 11–24. https://doi.org/10.1007/s10787–017–0309–4
- Katerji M, Filippova M, Duerksen-Hughes P (2019) Approaches and Methods to Measure Oxidative Stress in Clinical Samples: Research Applications in the Cancer Field. Oxid Med Cell Longev 2019: 1279250. https://doi.org/10.1155/2019/1279250
- Gagandeep, Rao AR., Kale RK (2005) Oxidative stress in tumour-bearing fore-stomach and distant normal organs of Swiss albino mice. Indian J Biochem Biophys 42(4): 216–221. PMID: 23923544
- Bhattacharyya A, Mandal D, Lahiry L, Bhattacharyya S, Chattopadhyay S, Ghosh UK, Sa G, Das T (2007) Black tea–induced amelioration of hepatic oxidative stress through antioxidative activity in EAC-bearing mice. J Environ Pathol Toxicol Oncol 26(4): 245–254. https://doi.org/10.1615/jenvironpatholtoxicoloncol.v26.i4.10
- Mandal D, Lahiry L, Bhattacharyya A, Chattopadhyay S, Siddiqi M, Sa G, Das T (2005) Black tea protects thymocytes in tumor-bearing animals by differential regulation of intracellular ROS in tumor cells and thymocytes. J Environ Pathol Toxicol Oncol 24(2): 91–104. https://doi.org/10.1615/jenvpathtoxoncol.v24.i2.30
- Barbouti A, Vasileiou PVS, Evangelou K, Vlasis KG, Papoudou-Bai A, Gorgoulis VG, Kanavaros P (2020) Implications of oxidative stress and cellular senescence in age-related thymus involution. Oxid Med Cell Longev 2020: 7986071. https://doi.org/10.1155/2020/7986071
- Zelenskyi EA, Rutto KV, Kudryavtsev IV, Sokolov AV, Kisseleva EP (2021) Iron content and cellular proliferation in thymus and spleen of hepatoma 22A bearing mice. Cell Tissue Biol 15(4): 393–401. https://doi.org/10.1134/S1990519X21040118
- Зеленский ЕА, Рутто КВ, Соколов АВ, Киселева ЕП (2021) Прием цинка тормозит развитие инволюции тимуса при опухолевом росте у мышей. Вопр онкол 67(3): 436–441. [Zelenskiy EA, Rutto KV, Sokolov AV, Kisseleva EP (2021) Zinc supplementation prevents the development of thymic involution induced by tumor growth in mice. Vopr onkol 67(3): 436–441. (In Russ)]. https://doi.org/10.37469/0507–3758–2021–67–3–436–441
- Mocchegiani E, Santarelli L, Muzzioli M, Fabris N (1995) Reversibility of the thymus involution and of age-related peripheral immune dysfunction by zinc supplementation in old mice. Int J Immunopharmacol 17(9): 703–718. https://doi.org/10.1016/0192–0561(95)00059-b
- Rebouche CJ, Wilcox CL, Widness JA (2004) Microanalysis of non-heme iron in animal tissues. J Biochem Biophys Methods 58(3): 239–251. https://doi.org/10.1016/j.jbbm.2003.11.003
- Hadwan MH, Ali SK (2018) New spectrophotometric assay for assessments of catalase activity in biological samples. Anal Biochem 542: 29–33. https://doi.org/10.1016/j.ab.2017.11.013
- Spitz DR, Oberley LW (1989) An assay for superoxide dismutase activity in mammalian tissue homogenates. Anal Biochem 179(1): 8–18. https://doi.org/10.1016/0003–2697(89)90192–9
- Samygina VR, Sokolov AV, Bourenkov G, Schneider TR, Anashkin VA, Kozlov SO, Kolmakov NN, Vasilyev VB (2017) Rat ceruloplasmin: new labile copper binding site and zinc/copper mosaic. Metallomics 9(12): 1828–1838. https://doi.org/10.1039/c7mt00157f
- Vigorita VJ, Hutchins GM (1978) The Thymus in hemochromatosis. Am J Pathol 93:661–666.
- Roberts RL, Sandra A (1994) Transport of transferrin across the blood-thymus barrier in young rats. Tissue and Cell 26 (5): 757–766.
- Kiseleva EP, Suvorov AN, Ogurtsov RP (1998) The role of apoptosis in the thymic involution during growth of the syngeneic transplanted tumor in mice. Biol Bull 25(2): 129–135.
- Skrajnowska D, Korczak BB, Tokarz A, Kazimierczuk A, Klepacz M, Makowska J, Gadzinski B (2015) The effect of zinc and phytoestrogen supplementation on the changes in mineral content of the femur of rats with chemically induced mammary carcinogenesis. J Trace Elem Med Biol 32: 79–85. https://doi.org/10.1016/j.jtemb.2015.06.004
- Kaiserlian D, Savino W, Dardenne M (1983) Studies of the thymus in mice bearing the Lewis lung carcinoma. II. Modulation of thymic natural killer activity by thymulin (FTS-Zn) and the antimetastatic effect of zinc. Clin Immunol Immunopathol 28: 192–204. https://doi.org/10.1016/0090–1229(83)90154-x
- Iovino L, Mazziotta F, Carulli G, Guerrini F, Morganti R, Mazzotti V, Maggi F, Macera L, Orciuolo E, Buda G, Benedetti E, Caracciolo F, Galimberti S, Pistello M, Petrini M (2018) High-dose zinc oral supplementation after stem cell transplantation causes an increase of TRECs and CD4+ naïve lymphocytes and prevents TTV reactivation. Leuk Res 70: 20–24. https://doi.org/10.1016/j.leukres.2018.04.016
- Cardinale A, De Luca CD, Locatelli F, Velardi E (2021) Thymic function and T-cell receptor repertoire diversity: implications for patient response to checkpoint blockade immunotherapy. Front Immunol 12: 752042. https://doi.org/10.3389/fimmu.2021.752042
- Zhou L, Zhao B, Zhang L, Wang S, Dong D, Lv H, Shang P (2018) Alterations in cellular iron metabolism provide more therapeutic opportunities for cancer. Int J Mol Sci 19(5): 1545. https://doi.org/10.3390/ijms19051545
- King LE, Fraker PJ (1991) Flow cytometric analysis of the phenotypic distribution of splenic lymphocytes in zinc-deficient adult mice. J Nutr 121(9): 1433–1438. https://doi.org/10.1093/jn/121.9.1433
- Beach RS, Gershwin ME, Hurley LS (1979) Altered thymic structure and mitogen responsiveness in postnatally zinc-deprived mice. Dev Comp Immunol 3(4): 725–738. https://doi.org/ 10.1016/s0145–305x(79)80065–8
- Cox DH, Schlicker SA, Chu RC (1969) Excess dietary zinc for the maternal rat, and zinc, iron, copper, calcium, and magnesium content and enzyme activity in maternal and fetal tissues. J Nutr 98(4): 459–466. https://doi.org/10.1093/jn/98.4.459
- Keen CL, Reinstein NH, Goudey-Lefevre J, Lefevre M, Lönnerdal B, Schneeman BO, Hurley LS (1985) Effect of dietary copper and zinc levels on tissue copper, zinc, and iron in male rats. Biol Trace Elem Res 8(2): 123–136. https://doi.org/10.1007/BF02917466
- Klecha AJ., Salgueiro J, Wald M, Boccio J, Zubillaga M, Leonardi NM, Gorelik G, Cremaschi GA (2005) In vivo iron and zinc deficiency diminished T- and B-selective mitogen stimulation of murine lymphoid cells through protein kinase C-mediated mechanism. Biol Trace Elem Res 104(2): 173–183. https://doi.org/10.1385/BTER:104:2:173
- Staniek H (2019) The сombined еffects of Cr(III) supplementation and iron deficiency on the сopper and zinc status in Wistar rats. Biol Trace Elem Res 190(2): 414–424. https://doi.org/10.1007/s12011–018–1568–7
- Campos MS, Barrionuevo M, Alférez MJ, Gómez-Ayala AE, Rodríguez-Matas MC, Lopez Aliaga I, Lisbona F (1998) Interactions among iron, calcium, phosphorus and magnesium in the nutritionally iron-deficient rat. Exp Physiol 83(6): 771–781. https://doi.org/10.1113/expphysiol.1998.sp004158
- Ranade SC, Nawaz S, Chakrabarti A, Gressens P, Mani S (2013) Spatial memory deficits in maternal iron deficiency paradigms are associated with altered glucocorticoid levels. Horm Behav 64(1): 26–36. https://doi.org/10.1016/j.yhbeh.2013.04.005
- Liao Z, Chua D, Tan NS (2019) Reactive oxygen species: a volatile driver of field cancerization and metastasis. Mol Cancer 18: 65. https://doi.org/10.1186/s12943–019–0961-y
- Rajendran J, Pachaiappan P, Subramaniyan S (2019) Dose-dependent chemopreventive effects of citronellol in DMBA-induced breast cancer among rats. Drug Dev Res 80(6): 867–876. https://doi.org/10.1002/ddr.21570
- Wallace J (2000) Humane endpoints and cancer research. ILAR J 41(2): 87–93. https://doi.org/10.1093/ilar.41.2.87
Supplementary files










