Cobalt microinjections into the infralimbic cortex of the anesthetized rat suppresses circulatory and respiratory reactions to the microelectrostimulation of the lateral orbital cortex
- Authors: Gubarevich Е.А.1, Kokurina Т.N.1, Rybakova G.I.1, Tumanova Т.S.1,2, Aleksandrov V.G.1
-
Affiliations:
- Pavlov Institute of Physiology of the Russian Academy of Science
- Herzen State Pedagogical University of Russia
- Issue: Vol 110, No 2 (2024)
- Pages: 216-229
- Section: EXPERIMENTAL ARTICLES
- URL: https://ogarev-online.ru/0869-8139/article/view/260929
- DOI: https://doi.org/10.31857/S0869813924020058
- EDN: https://elibrary.ru/DJPVIL
- ID: 260929
Cite item
Full Text
Abstract
The central autonomous network that controls visceral systems, including circulatory and respiratory systems, includes the visceromotor infralimbic cortex (IL), which is one of the areas of the prefrontal cortex and is located on the medial surface of the large hemispheres. At the same time, there is evidence that areas of the prefrontal cortex located on the orbitofrontal surface, including the lateral orbital cortex (LO), can participate in the control of autonomous functions. The purpose of this work was to experimentally test the hypothesis according to which the participation of LO in the control of respiratory and circulatory functions is realized through IL. To this end, in acute experiments on laboratory rats anesthetized with urethane, the effect of microinjections of cobalt chloride solution (CoCl2) in IL on the reactions of circulatory and respiratory systems caused by microelectrostimulation of LO was investigated. It is known that Co2+ ions are non-specific blockers of synaptic transmission, therefore microinjections of CoCl2 solutions lead to disruption of conduction in the structures of the central nervous system. In the first, control series of experiments, micro-electrical stimulation of LO caused specific responses of the circulatory and respiratory systems, which were consistently reproduced throughout the experiment. In the second, experimental series, the introduction of CoCl2 solution into IL suppressed responses to micro-electrical stimulation of LO, and this effect turned out to be reversible. The obtained results confirmed the hypothesis put forward about the possible participation of IL in the implementation of autonomous LO functions. The elucidation of the mechanisms that ensure the interaction of LO and IL in the context of autonomous control should be the subject of further experimental research.
Full Text
ВВЕДЕНИЕ
Согласно современным представлениям, центральный контроль автономных функций осуществляет так называемая центральная автономная сеть (central autonomic network, CAN), в состав которой, наряду с подкорковыми структурами и автономными центрами ствола головного мозга, обычно включают области префронтальной коры, расположенные на медиальной и латеральной поверхностях больших полушарий [1–3]. В частности, инфралимбическая кора (infralimbic cortex, IL) образует проекции к стволовым автономным центрам вплоть до бульбарного уровня [4–6], а при ее микроэлектростимуляции наблюдаются изменения активности автономных систем, в том числе систем кровообращения и дыхания [7–10]. Эти и другие факты, а также некоторые клинические наблюдения и исследования дали основания для того, чтобы рассматривать IL в качестве висцеромоторной зоны [11–14].
С другой стороны, имеются экспериментальные данные, которые указывают на то, что в контроле автономных функций могут принимать участие поля префронтальной коры, расположенные на орбитофронтальной поверхности больших полушарий [15]. Установлено, в частности, что микроэлектростимуляция латеральной орбитальной коры (lateral orbital, LO) крысы вызывает специфические реакции систем кровообращения и дыхания, отличные от тех, которые наблюдаются в аналогичных условиях в ответ на стимуляцию IL [10], однако вопрос о механизмах, реализующих участие LO в контроле автономных функций, остается открытым. Установлено, что орбитофронтальная кора (orbitofrontal cortex, OFC), в состав которой входит LO, не образует прямых нисходящих проекций к структурам продолговатого мозга, осуществляющим регуляцию кровообращения и дыхания, но имеет связи с другими структурами, входящими в состав CAN, а именно: с миндалевидным комплексом [16–18], гипоталамусом и центральным серым веществом [19, 20]. Вместе с тем показано, что поля OFC образуют реципрокные связи с висцеромоторной IL [21–24]. Наличие подобных связей предполагает возможность взаимодействия LO и IL, в том числе и при реализации функции контроля кровообращения и дыхания. Такая возможность предусматривается, в частности, в рамках иерархической модели нейровисцеральной интеграции (neurovisceral integration, NVI). Авторы этой модели предполагают, что поля орбитофронтальной коры, входящие в состав так называемой орбитальной сети [25], тесно взаимодействуют с полями префронтальной коры, расположенными на медиальной и латеральной поверхностях больших полушарий, совместно контролируя выходы из CAN [26]. Однако следует признать, что конкретные нейрофизиологические механизмы этого взаимодействия изучены явно недостаточно.
Принимая во внимание несомненное наличие у IL висцеромоторной функции, а также существование связей между OFC и IL, можно было предположить, что участие LO в контроле функций дыхания и кровообращения реализуется, в том числе, путем взаимодействия с IL. Цель настоящей работы заключалась в экспериментальной проверке этого предположения. Основной задачей экспериментального исследования стало изучение влияния микроинъекций раствора хлорида кобальта (CoCl2) в IL анестезированной крысы на специфические реакции систем кровообращения и дыхания, которые, как было показано нами ранее [10], можно вызвать, подвергая микроэлектростимуляции LO. Введение неселективного блокатора синаптической передачи CoCl2 является методическим приемом, который применяют в нейрофизиологических исследованиях для блокирования проведения в структурах центральной нервной системы [27]. Поэтому возможное изменение реакций систем кровообращения и дыхания на микроэлектростимуляцию LO после введения CoCl2 в IL предполагалось рассматривать как доказательство справедливости выдвинутой гипотезы.
МЕТОДЫ ИССЛЕДОВАНИЯ
Для решения поставленной задачи были проведены острые эксперименты на самцах крыс Wistar массой 250–300 г, предоставленных Центром коллективного пользования “Биоколлекция” Института физиологии им. И.П. Павлова РАН. Животные были случайным образом разделены на две группы: экспериментальную (n = 6) и контрольную (n = 6).
Оперативная подготовка животного
Перед проведением хирургических манипуляций животных анестезировали внутрибрюшинным введением раствора уретана в дозировке 1600 мг/кг. Глубину наркоза оценивали по степени выраженности болевого и роговичного рефлексов; температуру тела животного поддерживали на протяжении всего эксперимента на уровне 36.5–37.5°C. Проводили трахеостомию и катетеризацию правой бедренной артерии.
Регистрация и обработка пневмотахограммы и артериального давления
К трахеостомической трубке присоединяли пневмометрический датчик (MLT10L, ADInstruments, Австралия), подключенный ко входу пневмотахометра (FE141), который формировал сигнал пневмотахограммы (pneumotachogram, PTG). Артериальный катетер, заполненный гепаринизированным (50 МЕ/мл) физиологическим раствором, соединяли с камерой датчика артериального давления (MLT1199). Этот датчик подключали ко входу мостового усилителя (FE224), который формировал сигнал артериального давления (arterial pressure, AP). Сигналы PTG и AP поступали на вход устройства сбора данных (PowerLab 35/8), работавшего под управлением персонального компьютера с установленным на нем специализированным пакетом программ LabChart 7. Пакет программ обеспечивал обработку сигналов, их запись в файл, а также вывод на экран монитора сигналов и результатов их обработки. В режимах on- и off-line определяли и выводили на экран среднее AP (mean arterial pressure, MAP), частоту сердечных сокращений (HR), дыхательный объем (VT) и длительность дыхательного цикла (Тtot), а также максимальные величины потоков на вдохе (Vimax) и выдохе (Vemax).
Экспериментальные воздействия
Микроинъектор и микроэлектрод вводили соответственно в IL и LO левого полушария при помощи стереотаксического аппарата (SR-6R-HT, Narishige, Япония), снабженного микроманипулятором (SM-15L). Координаты IL и LO определяли, используя стереотаксический атлас мозга крысы [28]. Конец микроинъектора, который представлял собой стальную трубку с внешним диаметром 100 мкм, был локализован в точке с координатами: 4.1 мм от поверхности мозга, 2.5 мм ростральнее уровня bregma, 0.5–0.7 мм латеральнее сагиттальной плоскости. Металлический монополярный электрод сопротивлением 0.1 МОм вводили в точку с координатами: 4.2 мм от поверхности мозга, 3.2 мм ростральнее уровня bregma, 3.2 мм латеральнее сагиттальной плоскости; индифферентный электрод погружали в мышцы шеи. Микроинъектор при помощи гибкой полиэтиленовой трубки соединяли с микрошприцом (CR-700-20, Hamilton, США); микроинъектор и соединительная трубка были заполнены 2мМ раствором CoCl2 или, в контрольных экспериментах, физиологическим раствором. В течение 3 мин в IL вводили 1 мкл раствора, затем, через 3–4 мин после окончания введения, микроинъектор извлекали. Для раздражения LO использовали электростимулятор (модель 4100, A-M Systems, США), который генерировал серии прямоугольных импульсов тока отрицательной полярности силой 150–200 мкА, длительностью 1 мс, частотой 50 имп./с; длительность серий составляла 10 с.
Экспериментальный протокол
К стимуляции LO приступали через 30 мин после завершения хирургической подготовки животного и начала регистрации. В дальнейшем, на фоне непрерывной регистрации AP и PTG наносили стимулы каждые 15 мин так, что между первым и последним стимулами проходило 90 мин; всего в каждом эксперименте наносилось 7 стимулов (рис. 1). Микроинъекцию раствора CoCl2 (или физиологического раствора) в LO выполняли однократно в каждом эксперименте через 10 мин после третьего предъявления электрического стимула, то есть на 70-й мин эксперимента.
Рис. 1. Схема эксперимента. По оси – время от начала регистрации.
Статистическая обработка экспериментальных данных
Для количественного описания эффектов микроэлектростимуляции средствами пакета программ LabChart 7.0 производили посекундное измерение регистрируемых и рассчитываемых параметров перед началом и на фоне раздражения. Полученные значения переносили в таблицы MS Excel, а затем определяли средние значения и стандартную ошибку среднего (M ± SEM) всех учитываемых параметров. Величину параметров после начала микроэлектростимуляции коры выражали в процентах к их значениям непосредственно перед началом раздражения. Полученные величины также усредняли, определяли ошибку среднего и использовали при построении графиков, отражающих изменения учитываемых параметров под влиянием микроэлектростимуляции.
Для дальнейшей статистической обработки использовали пакет программ Statistica (версия 7.0, StatSoft, США). Сравниваемые выборки проверяли на соответствие нормальному распределению при помощи теста Шапиро–Уилка. Достоверность различий между величинами определяли, используя метод однофакторного дисперсионного анализа (ANOVA). Критический уровень значимости при проверке нулевой гипотезы принимался равным 0.05.
Гистологический контроль
После нанесения последнего, седьмого стимула животное усыпляли путем передозировки уретана, проводили краниотомию и извлекали мозг для последующего гистологического контроля. На замороженных срезах мозга по трекам, остававшимся после извлечения микроинъектора и электрода, идентифицировали места введения CoCl2 и микроэлектростимуляции коры.
РЕЗУЛЬТАТЫ ИССЛЕДОВАНИЯ
Результаты измерения фоновых величин MAP и HR, а также VT и Ttot перед нанесением первого стимула в контрольной и экспериментальной группах приведены в табл. 1.
Таблица 1. Исходные величины параметров активности систем кровообращения и дыхания
параметр группа | MAP, мм рт. ст. | HR, уд./мин | VT, мл | Ttot, с |
контрольная | 99 ± 7 | 405 ± 14 | 2.2 ± 0.2 | 0.38 ± 0.02 |
экспериментальная | 107 ± 3 | 407 ± 20 | 2.4 ± 0.3 | 0.38 ± 0.03 |
p | 0.281 | 0.960 | 0.609 | 0.921 |
p – вероятность случайности различия величин в контрольной и экспериментальной группах. В каждой группе n = 6.
Расчеты показали отсутствие достоверных различий между указанными параметрами в экспериментальной и контрольной группах. Кроме того, было установлено, что в обеих группах фоновые параметры кровообращения и дыхания не претерпевали достоверных изменений по ходу экспериментов. Эти результаты доказывают, что состояние систем кровообращения и дыхания животных контрольной и экспериментальных групп было стабильным и не менялось под влиянием микроинъекций растворов в IL.
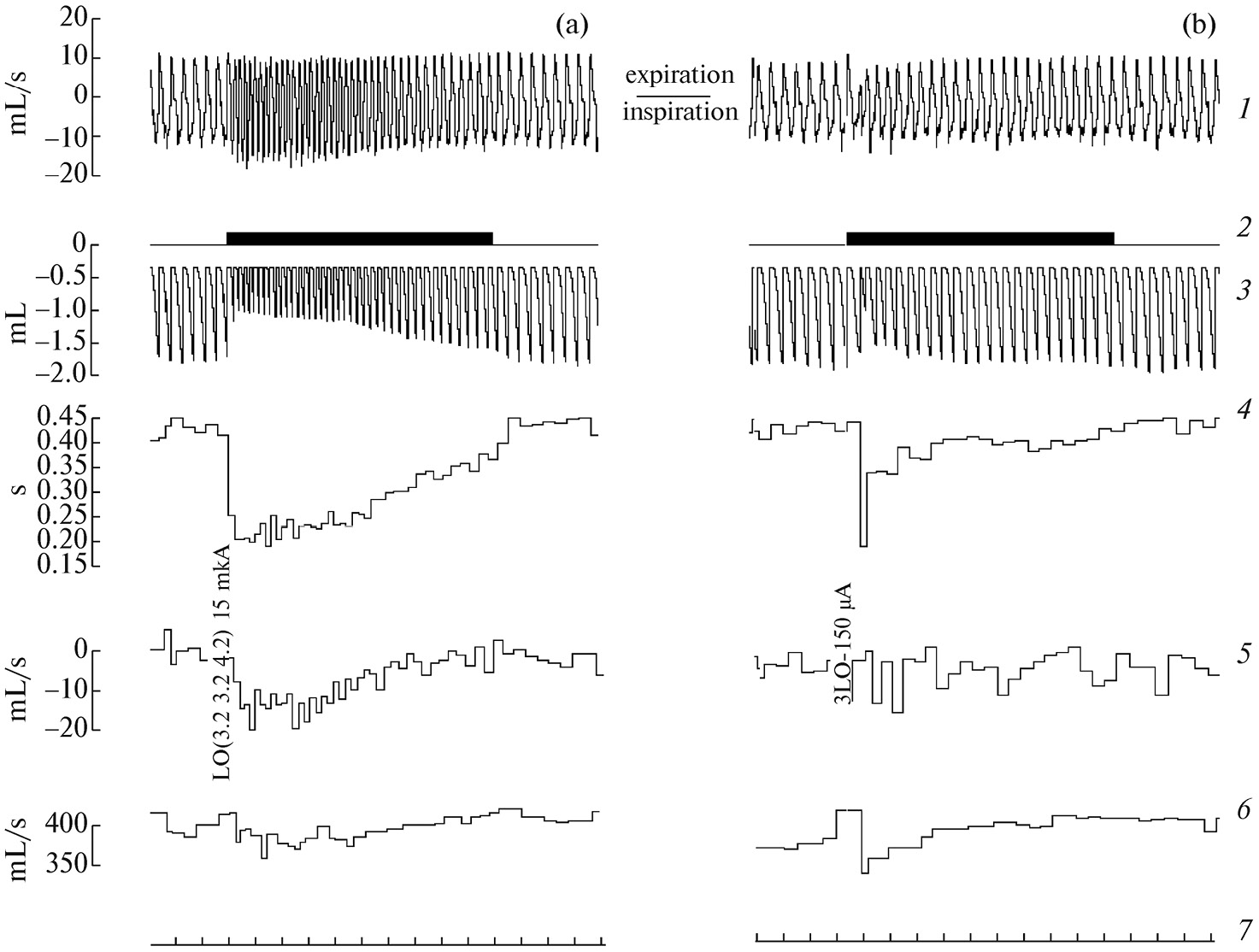
Микроэлектростимуляция LO не вызывала изменения HR, но приводила к тому, что MAP в течение первых 3 секунд стимуляции снижалось, а затем стабилизировалось на фоне продолжающегося раздражения, причем такая реакция наблюдалась как в экспериментальной (рис. 2a), так и в контрольной группах.
Рис. 2. Нативные записи и результаты обработки депрессорных ответов на микроэлектростимуляцию LO в эксперименте с микроинъекцией раствора CoCl2 в IL. (a) – 60-я минута эксперимента (10 мин до микроинъекции), (b) – 75-я минута эксперимента (5 мин после микроинъекции). 1, 2, 3, 4, 5 – соответственно: нативная запись AP, отметка раздражения, MAP, HR, отметка времени (1 с).
Изменения амплитуды депрессорных ответов в ходе эксперимента характеризовали процентным соотношением величины MAP на 3-й секунде стимуляции LO к величине MAP непосредственно перед нанесением стимула. Очевидно, что возрастание этой величины указывало на ослабление реакции. Расчеты показали, что на 75-й минуте эксперимента, то есть уже через 5 мин после введения раствора CoCl2 в IL, амплитуда депрессорных ответов достоверно уменьшалась по сравнению с их фоновыми значениями (рис. 3, 1).
Рис. 3. Изменение амплитуды депрессорных ответов на микроэлектростимуляцию LO. По оси ординат – величина MAP на 3-й секунде стимуляции, выраженная в процентах к величине MAP на последней секунде перед началом стимуляции; по оси абсцисс – время от начала эксперимента. 1 – эксперименты с введением раствора CoCl2, 2 – контрольные эксперименты. * – достоверные отличия от значений, полученных до введения раствора CoCl2; # – достоверные отличия от значений, полученных в контрольных экспериментах (p < 0.05, n = 6). Стрелкой обозначен момент введения растворов.
Достоверное уменьшение реакции на микростимуляцию LO наблюдалось также на 90-й и 105-й минутах эксперимента, а на 120-й минуте, то есть в конце эксперимента, эффект Co2+ ослабевал, величина ответов возвращалась на исходный уровень. В контрольных экспериментах достоверных изменений амплитуды депрессорных ответов не наблюдалось (рис. 3, 2).
В обеих сериях экспериментов микроэлектростимуляция LO вызывала не только падение MAP, но и характерные перестройки паттерна дыхания (рис. 4a). Происходило резкое, в течение первой секунды стимуляции, снижение VT (рис. 4а, 3) и Ttot (рис. 4a, 4). Кроме того, наблюдалось увеличение Vimax (рис. 4а, 5), при том что Vemax не изменялась (рис. 4а, 6). Затем изменения объемно-временных параметров дыхания стабилизировались и постепенно слабели на фоне продолжающегося раздражения LO. Амплитуду колебаний VT и Ttot в ответ на микроэлектростимуляцию LO измеряли на 3-й секунде стимуляции. При первом предъявлении стимула VT уменьшалась в среднем на 0.54 ± 0.09 мл в экспериментах с микроинъекцией раствора CoCl2 и на 0.38 ± 0.08 мл в контрольных экспериментах; Ttot уменьшалась соответственно на 0.14 ± 0.01 и 0.16 ± 0.01 секундах. Разницы между амплитудами колебаний VT и Ttot, полученными в разных сериях экспериментов, оказались статистически недостоверными. Было установлено, что уже через 5 мин после микроинъекции CoCl2 респираторные эффекты стимуляции LO резко ослабевали (рис. 4b). В контрольных экспериментах микроинъекции физиологического раствора в IL не оказывали подобного действия на респираторные эффекты микроэлектростимуляции LO.
Рис. 4. Перестройки паттерна дыхания при микроэлектростимуляции LO в экспериментах с введением раствора CoCl2 в IL. Нативная запись ПТГ и результаты ее обработки. (a) – Эффект микростимуляции на 60-й минуте эксперимента (10 мин до введения раствора CoCl2); (b) – эффект микростимуляции на 75-й минуте того же эксперимента (5 мин после введения раствора CoCl2). 1, 2, 3, 4, 5, 6, 7 – соответственно: ПТГ, отметка раздражения, VT, Ttot, Vimax, Vemax, отметка времени (1 с).
Изменения показателей респираторной реакции на микроэлектростимуляцию LO в ходе эксперимента, так же как и в случае депрессорных ответов, характеризовали процентным соотношением величин VT и Ttot на 3-й секунде стимуляции LO к их величине непосредственно перед нанесением стимула (рис. 5). До микроинъекции растворов в IL реакции VT (рис. 5a) и Ttot (рис. 5b) на микроэлектростимуляцию LO характеризовались стабильностью и отсутствием достоверных различий между экспериментальными группами. Через 5 мин после введения раствора CoCl2 реакция VT достоверно ослабевала, а через 50 мин амплитуда реакции возвращалась к исходному уровню. В контрольной группе эта величина не претерпевала достоверных изменений. Амплитуда реакции Ttot на стимуляцию также была величиной стабильной до микроинъекции CoCl2. Через 5 мин после микроинъекции эта реакция начинала слабеть, на 95-й и 105-й минутах это ослабление становилось достоверным, а на 120-й минуте реакция Ttot вновь усиливалась. В контрольной группе каких-либо достоверных изменений реакции Ttot не происходило.
Рис. 5. Изменение объемно-временных параметров дыхания в ответ на микроэлектростимуляцию LO в экспериментах с микроинъекциями растворов в IL. (a) – изменение дыхательного объема (VT); (b) – изменение длительности дыхательного цикла (Ttot). По осям ординат – величина параметра на 3-й секунде стимуляции, выраженная в процентах к его величине на последней секунде перед стимуляцией; по осям абсцисс – время от начала регистрации. 1 – эксперименты с микроинъекциями раствора CoCl2, 2 – контрольные эксперименты с микроинъекциями физраствора. Стрелками обозначен момент микроинъекций растворов в IL. * – достоверные отличия от значений, полученных до введения раствора CoCl2; # – достоверные отличия от значений, полученных в контрольных экспериментах (p < 0.05, n = 6).
Резюмируя полученные результаты, можно утверждать, что в условиях уретановой анестезии, обеспечивающей стабильное функционирование систем кровообращения и дыхания экспериментального животного, микроэлектростимуляция LO вызывала реакции этих систем в виде падения артериального давления и перестройки паттерна дыхания, которая характеризовалась, в частности, временным снижением VT и Ttot. Микроинъекции раствора CoCl2 в IL подавляли эти эффекты.
ОБСУЖДЕНИЕ РЕЗУЛЬТАТОВ
Предыдущим исследованием было установлено, что микроэлектростимуляция LO анестезированной крысы вызывает специфические реакции систем кровообращения и дыхания [10]. Эти реакции характеризовались быстрым падением MAP в среднем на 18 мм рт. ст. и его стабилизацией на достигнутом уровне, а также уменьшением VT и Ttot при одновременном увеличении Vimax. Вопрос о механизмах, реализующих эти реакции, оставался открытым. В настоящем исследовании система кровообращения реагировала на микроэлектростимуляцию LO снижением MAP на 16–18 мм рт. ст. с последующей стабилизацией на этом уровне до окончания стимуляции. Как и в предыдущем исследовании, наблюдалось снижение VT и Ttot, а также увеличение Vimax, при том что Vemax не менялась. Таким образом, описанные ранее специфические реакции на микроэлектростимуляцию LO были успешно воспроизведены. Этот результат дал возможность выполнить основную задачу исследования, а именно, изучить влияние микроинъекций раствора CoCl2 в IL анестезированной крысы на эффекты стимуляции LO.
Как известно, ионы Co2+ способны блокировать пресинаптические Ca2+-каналы, нарушая выделение медиатора и подавляя синаптическую передачу [27, 29–31]. Синаптический эффект Co2+ зависит от концентрации вводимого раствора; он развивается достаточно быстро и может быть обратимым при концентрациях раствора, не превышающих 10 мМ; при более высоких концентрациях проявляется необратимый цитотоксический эффект Co2+, который приводит к разрушению тел нейронов [27]. Вместе с тем было установлено, что при определенных условиях Co2+ даже в концентрации 4 мМ может вызывать гибель тел нейронов в области введения [32]. Микроинъекции растворов, содержащих CoCl2, являются эффективным методическим приемом, который позволяет блокировать проведение в структурах центральной нервной системы.
Применительно к висцеральным системам этот методический прием был использован главным образом для исследования механизмов центрального контроля кровообращения. Было установлено, в частности, что через 10 мин после билатеральной инъекции 100 нл 1 мМ раствора CoCl2 в медиальные ядра миндалевидного комплекса (MeA) подвижной крысы происходит достоверное усиление барорефлекторной чувствительности, причем этот эффект исчезал через 60 мин после микроинъекций [33]. Сходные результаты были получены после инъекций кобальта в ядро ложа конечной полоски [34]. Микроинъекции CoCl2 (200 нл, 1мM) в медиальную префронтальную кору подвижной крысы позволили установить, что блокирование прелимбической коры (PL) ослабляет рефлекторное повышение AP в ответ на гипоксический стимул, а введение раствора CoCl2 в IL подобного эффекта не оказывает [35]. Было показано, что двусторонние микроинъекции кобальта в IL или PL по-разному изменяют реакцию системы кровообращения крысы на иммобилизацию [36], а двусторонняя блокада инсулярной коры (INS) ослабляла эту реакцию [37]. При исследовании нисходящих проекций, обеспечивающих участие IL в контроле кровообращения, было установлено, что микроинъекции CoCl2 в переднюю часть латеральной гипоталамической области ослабляют прессорный ответ на электростимуляцию IL [38]. Микроинъекции кобальта были использованы и при исследовании механизмов взаимодействия структур, участвующих в контроле функции кровообращения. Так было установлено, что блокирование проведения через паравентрикулярное ядро гипоталамуса (PVN) подавляет прессорные и брадикардические ответы на введение норадреналина в MeA [31]. В свою очередь, блокада MeA путем введения в него (100 нл, 5 мМ) раствора CoCl2 приводила к тому, что через 10 мин после введения ослабевали прессорные ответы на введение ангиотензина II в PVN анестезированной крысы; об обратимости этих эффектов не сообщается [39].
Резюмируя результаты предшествующих исследований, следует сделать вывод о том, что метод обратимой блокады различных, в том числе кортикальных, структур при помощи микроинъекций раствора CoCl2 был с успехом использован для исследования роли этих структур в контроле функции кровообращения. При проведении исследований были использованы растворы CoCl2 с концентрацией от 1 до 5 мМ, которые обратимо блокировали проведение в исследуемых структурах, ослабляя или усиливая реакции системы кровообращения на различные экспериментальные воздействия, в том числе на микроэлектростимуляцию IL. Было отмечено, что эти эффекты развивались быстро, обычно в течение 10–15 мин и сохранялись около часа, а затем ослабевали. Наши эксперименты, в которых был использован 2 мМ раствор CoCl2, показали сходную динамику эффекта блокады IL. Во всех предыдущих исследованиях имеются указания на то, что сами по себе микроинъекции растворов CoCl2 в структуры, участвующие в контроле автономных функций, не вызывают изменения фоновых значений AP и HR, и эти данные также хорошо согласуются с результатами наших экспериментов. Вместе с тем в литературе отсутствуют сведения о возможном влиянии блокирования IL или других областей коры на циркуляторные или респираторные эффекты микростимуляции областей орбитофронтальной коры.
Решение основной задачи настоящего исследования позволило установить, что блокирование висцеромоторной IL обратимо подавляет депрессорные ответы и перестройки паттерна дыхания, вызванные микроэлектростимуляцией LO. По нашему мнению, этот результат прямо подтверждает гипотезу о том, что участие LO в контроле функций дыхания и кровообращения реализуется путем взаимодействия с IL. Очевидно, что при обсуждении возможных механизмов этого взаимодействия следует опираться прежде всего на результаты морфологических исследований (рис. 6).
Рис. 6. Возможные пути реализации эффектов микроэлектростимуляции латеральной орбитальной коры. aLO – латеральная орбитальная кора, передняя; DVC – дорсальный комплекс ядер блуждающего нерва; IL – инфралимбическая кора; INS – инсулярная кора; HYP – гипоталамус; MO – медиальная орбитальная кора; pLO – латеральная орбитальная кора, задняя; VLM – вентролатеральная область продолговатого мозга; VO – вентральная орбитальная кора.
Структура интракортикальных связей орбитофронтальной коры крысы к настоящему времени исследована достаточно подробно [15]. Установлено, в частности, что LO крысы может быть связана с IL как прямыми связями, так и через проекции к медиальной орбитальной и вентральной орбитальной областям, которые таким образом служат связующим звеном между LO и IL [21, 22, 40, 41]. Примечательно, что, по некоторым данным, существуют четкие структурно-функциональные отличия между ростральной и каудальной частями LO [22]. Прямые проекции к IL (а также к INS) образует по преимуществу задняя часть LO, и меченые терминали аксонов идентифицировали в IL и INS после введения антероградного маркера в LO на уровне +3.2 мм относительно bregma, то есть на том же уровне, на котором в наших экспериментах располагался стимулирующий электрод. Вместе с тем следует иметь в виду, что INS, в которую проецируется каудальная часть LO, образует прямые проекции к IL [42, 43]. Поэтому вероятно, что INS также может участвовать в реализации эффектов стимуляции LO, которые наблюдались в наших экспериментах. Кроме того, принимая во внимание уникальные интракортикальные связи клострума, в том числе с полями префронтальной коры [44], можно предполагать участие этой структуры в реализации автономных функций OFC, в том числе взаимодействия LO и IL.
Эффекты этого взаимодействия могут проявляться в виде перестроек паттерна дыхания и изменений параметров системы кровообращения, которые происходят вследствие изменения активности бульбо-спинальных респираторных нейронов и преганглионарных нейронов ANS, образующих выходы из CAN. Установлено, что IL крыс образует прямые нисходящие проекции к дорсальному комплексу ядер блуждающего нерва (DVC), в пределах которого, как известно, расположена дорсальная группа респираторных нейронов, входящих в состав дыхательного центра и преганглионарные нейроны парасимпатического отдела ANS [4–7]. Кроме того, обнаружены проекции из IL к вентролатеральной области продолговатого мозга (VLM), где находятся группы пресимпатических нейронов, модулирующих активность преганглионарных симпатических нейронов [4, 7]. Помимо этих прямых проекций IL может модулировать активность выходов из CAN по другим путям, например, через гипоталамус, нейроны которого, в свою очередь, образуют проекции к VLM и DVC [45, 46].
Таким образом, полученные результаты доказывают, что IL действительно принимает участие в реализации кардиореспираторных эффектов стимуляции LO и, следовательно, опосредует участие этой области OFC в контроле функций кровообращения и дыхания. Вместе с тем нейрофизиологические и нейрохимические механизмы взаимодействия LO и IL, а также роль других кортикальных и стволовых структур в реализации этого взаимодействия требуют дальнейшего экспериментального изучения.
ВКЛАДЫ АВТОРОВ
Е. А. Г. – идея работы, проведение экспериментов, обработка данных и обсуждение результатов, подготовка рукописи. Т. Н. К. – планирование и проведение экспериментов, обработка данных и обсуждение результатов, подготовка рукописи. Т. С. Т.– проведение экспериментов, обработка результатов. Г. И. Р. проведение экспериментов, обработка данных и обсуждение результатов. В. Г. А. – идея работы, планирование экспериментов, обсуждение результатов, редактирование рукописи.
ФИНАНСИРОВАНИЕ РАБОТЫ
Данная работа финансировалась за счет средств бюджета Программы “Фундаментальные научные исследования для долгосрочного развития и обеспечения конкурентоспособности общества и государства”. Тема 64.1 (0134-2019-0001) “Раскрытие механизмов взаимодействия молекулярно-клеточных и системных регуляций внутренних органов”. Никаких дополнительных грантов на проведение или руководство данным конкретным исследованием получено не было.
СОБЛЮДЕНИЕ ЭТИЧЕСКИХ СТАНДАРТОВ
Эксперименты с животными проводились в соответствии с международными рекомендациями по проведению биомедицинских исследований и были одобрены Комиссией по контролю за содержанием и использованием лабораторных животных при Институте физиологии им. И.П. Павлова РАН (заключение Комиссии № 09/14 от 14 сентября 2022 г.).
КОНФЛИКТ ИНТЕРЕСОВ
Авторы данной работы заявляют, что у них нет конфликта интересов.
About the authors
Е. А. Gubarevich
Pavlov Institute of Physiology of the Russian Academy of Science
Author for correspondence.
Email: aleksandrovv@infran.ru
Russian Federation, Saint Petersburg
Т. N. Kokurina
Pavlov Institute of Physiology of the Russian Academy of Science
Email: aleksandrovv@infran.ru
Russian Federation, Saint Petersburg
G. I. Rybakova
Pavlov Institute of Physiology of the Russian Academy of Science
Email: aleksandrovv@infran.ru
Russian Federation, Saint Petersburg
Т. S. Tumanova
Pavlov Institute of Physiology of the Russian Academy of Science; Herzen State Pedagogical University of Russia
Email: aleksandrovv@infran.ru
Russian Federation, Saint Petersburg; Saint Petersburg
V. G. Aleksandrov
Pavlov Institute of Physiology of the Russian Academy of Science
Email: aleksandrovv@infran.ru
Russian Federation, Saint Petersburg
References
- Benarroch EE (1993) The central autonomic network: functional organization, dysfunction, and perspective. Mayo Сlin Proc 68(10): 988–1001. https://doi.org/10.1016/s0025-6196(12)62272-1
- Lamotte G, Shouma K, Benarroch EE (2021) Stress and central autonomic network. Auton Neurosci 235: 102870. https://doi.org/10.1016/j.autneu.2021.102870
- Aleksandrov VG, Gubarevich EA, Kokurina TN, Rybakova GI, Tumanova TS (2022a) Central autonomic network. Human Physiol 48(6): 715–721. https://doi.org/10.1134/S0362119722600412
- Hurley KM, Herbert H, Moga M, Saper CB (1991) Efferent projections of the infralimbic cortex of the rat. J Compar Neurol 308(2): 249–276. https://doi.org/10.1002/cne.903080210
- Fisk GD, Wyss JM (2000) Descending projections of infralimbic cortex that mediate stimulation-evoked changes in arterial pressure. Brain Res 859(1): 83–95. https://doi.org/10.1016/s0006-8993(00)01935-1
- Gasparini S, Howland JM, Thatcher AJ, Geerling JC (2020) Central afferents to the nucleus of the solitary tract in rats and mice. J Compar Neurol 528(16): 2708–2728. https://doi.org/10.1002/cne.24927
- Terreberry RR, Neafsey EJ (1987) The rat medial frontal cortex projects directly to autonomic regions of the brainstem. Brain Res Bull 19(6): 639–649. https://doi.org/10.1016/0361-9230(87)90050-5
- Owens NC, Verberne AJ (2001) Regional hemodynamic responses to activation of the medial prefrontal cortex depressor region. Brain Res 919(2): 221–231. https://doi.org/10.1016/s0006-8993(01)03017-7
- Alexandrov VG, Ivanova TG, Alexandrova NP (2007) Prefrontal control of respiration. J Physiol Pharmacol an official J Polish Physiol Soc 58(Suppl 5 (Pt 1)): 17–23.
- Kokurina TN, Gubarevich EA, Rybakova GI, Tumanova TS, Aleksandrov VG (2022) Microelectrostimulation of the rat lateral orbital cortex causes specific reactions of the circulation and respiration. J Evol Biochem Physiol 58(6): 2101–2108. https://doi.org/10.1134/S0022093022060369
- Terreberry RR, Neafsey EJ (1987) The rat medial frontal cortex projects directly to autonomic regions of the brainstem. Brain Res Bull 19(6): 639–649. https://doi.org/10.1016/0361-9230(87)90050-5
- Ruit KG, Neafsey EJ (1990) Hippocampal input to a “visceral motor” corticobulbar pathway: an anatomical and electrophysiological study in the rat. Exp Brain Res 82(3): 606–616. https://doi.org/10.1007/BF00228802
- Resstel LB, Corrêa FM (2006) Involvement of the medial prefrontal cortex in central cardiovascular modulation in the rat. Auton Neurosci: Basic and Clin 126-127: 130–138. https://doi.org/10.1016/j.autneu.2006.02.022
- Cechetto DF (2014) Cortical control of the autonomic nervous system. Exp Physiol 99(2): 326–331. https://doi.org/10.1113/expphysiol.2013.075192
- Александров ВГ, Губаревич ЕА, Кокурина ТН, Рыбакова ГИ, Туманова ТС (2022) Орбитофронтальная кора в системе центрального управления автономными функциями. Успехи физиол наук 53(3): 45–53. [Aleksandrov VG, Gubarevich EA, Kokurina TN, Rybakova GI, Tumanova TS (2022) Orbitofrontal cortex in the system of the central autonomic control. Uspekhi fiziol nauk 53(3): 45–53. (In Russ)]. https://doi.org/10.31857/S0301179822030031
- Rempel-Clower NL (2007) Role of orbitofrontal cortex connections in emotion. Ann NY Acad Sci 1121: 72–86. https://doi.org/10.1196/annals.1401.026
- Chang CH (2017) Lateral orbitofrontal cortical modulation on the medial prefrontal cortex-amygdala pathway: differential regulation of intra-amygdala GABAA and GABAB receptors. Int J Neuropsychopharmacol 20(7): 602–610. https://doi.org/10.1093/ijnp/pyx027
- Chang CH, Ho TW (2017) Inhibitory modulation of medial prefrontal cortical activation on lateral orbitofrontal cortex-amygdala information flow. J Physiol 595(17): 6065–6076. https://doi.org/10.1113/JP274568.
- Babalian A, Eichenberger S, Bilella A, Girard F, Szabolcsi V, Roccaro D, Alvarez-Bolado G, Xu C, Celio MR (2019) The orbitofrontal cortex projects to the parvafox nucleus of the ventrolateral hypothalamus and to its targets in the ventromedial periaqueductal grey matter. Brain Struct Funct 224(1): 293–314. https://doi.org/10.1007/s00429-018-1771-5
- Leemann S, Babalian A, Girard F, Davis F, Celio MR (2022) The PV2 cluster of parvalbumin neurons in the murine periaqueductal gray: connections and gene expression. Brain Struct Funct 227(6): 2049–2072. https://doi.org/10.1007/s00429-022-02491-0
- Illig KR (2005) Projections from orbitofrontal cortex to anterior piriform cortex in the rat suggest a role in olfactory information processing. J Compar Neurol 488(2): 224–231. https://doi.org/10.1002/cne.20595
- Barreiros IV, Ishii H, Walton ME, Panayi MC (2021) Defining an orbitofrontal compass: functional and anatomical heterogeneity across anterior-posterior and medial-lateral axes. Behav Neurosci 135(2): 165–173. https://doi.org/10.1037/bne0000442
- Mesa JR, Wesson DW, Schwendt M, Knackstedt LA (2022) The roles of rat medial prefrontal and orbitofrontal cortices in relapse to cocaine-seeking: A comparison across methods for identifying neurocircuits. Addict Neurosci 4: 100031. https://doi.org/10.1016/j.addicn.2022.100031
- Martínez-Rivera FJ, Pérez-Torres J, Velázquez-Díaz CD, Sánchez-Navarro MJ, Huertas- Pérez CI, Diehl MM, Phillips ML, Haber SN, Quirk GJ (2023) A novel insular/orbital-prelimbic circuit that prevents persistent avoidance in a rodent model of compulsive behavior. Biol Psychiat 93(11): 1000–1009. https://doi.org/10.1016/j.biopsych.2022.02.008
- Ongür D, Price JL (2000) The organization of networks within the orbital and medial prefrontal cortex of rats, monkeys and humans. Cereb Cortex 10(3): 206–219. https://doi.org/10.1093/cercor/10.3.206
- Smith R, Thayer JF, Khalsa SS, Lane RD (2017) The hierarchical basis of neurovisceral integration. Neurosci Biobehav Rev 75: 274–296. https://doi.org/10.1016/j.neubiorev.2017.02.003
- Kretz R (1984) Local cobalt injection: a method to discriminate presynaptic axonal from postsynaptic neuronal activity. J Neurosci Methods 11(2): 129–135. https://doi.org/10.1016/0165-0270(84)90030-x
- Paxinos G, Watson C (eds) (1998) The rat brain in stereotaxic coordinates. Fourth edition. Acad Press.
- Nuseir K, Heidenreich BA, Proudfit HK (1999) The antinociception produced by microinjection of a cholinergic agonist in the ventromedial medulla is mediated by noradrenergic neurons in the A7 catecholamine cell group. Brain Res 822(1-2): 1–7. https://doi.org/10.1016/s0006-8993(98)01195-0. PMID: 10082877
- Crestani CC, Alves FH, Correa FM, Guimarães FS, Joca SR (2010) Acute reversible inactivation of the bed nucleus of stria terminalis induces antidepressant-like effect in the rat forced swimming test. Behav Brain Funct 6: 30. https://doi.org/10.1186/1744-9081-6-30
- Fortaleza EA, Scopinho AA, Corrêa FM (2012) Paraventricular and supraoptic nuclei of the hypothalamus mediate cardiovascular responses evoked by the microinjection of noradrenaline into the medial amygdaloid nucleus of the rat brain. Neuroscience 219: 157–165. https://doi.org/10.1016/j.neuroscience.2012.05.051
- Malpeli JG, Burch BD (1982) Cobalt destroys neurons without destroying fibers of passage in the lateral geniculate nucleus of the cat. Neurosci Lett 32(1): 29–34. https://doi.org/10.1016/0304-3940(82)90224-5
- Fortaleza EA, Ferreira-Junior NC, Lagatta DC, Resstel LB, Corrêa FM (2015) The medial amygdaloid nucleus modulates the baroreflex activity in conscious rats. Autonom Neurosci 193: 44–50. https://doi.org/10.1016/j.autneu.2015.07.003
- Resstel LB, Alves FH, Reis DG, Crestani CC, Corrêa FM, Guimarães FS (2008) Anxiolytic-like effects induced by acute reversible inactivation of the bed nucleus of stria terminalis. Neuroscience 154(3): 869–876. https://doi.org/10.1016/j.neuroscience.2008.04.007
- Granjeiro EM, Scopinho AA, Corrêa FM, Resstel LB (2011) Prelimbic but not infralimbic cortex is involved in the pressor response to chemoreflex activation in awake rats. Exp Physiol 96(5): 518–527. https://doi.org/10.1113/expphysiol.2011.057596
- Tavares RF, Corrêa FM, Resstel LB (2009) Opposite role of infralimbic and prelimbic cortex in the tachycardiac response evoked by acute restraint stress in rats. J Neurosci Res 87(11): 2601–2607. https://doi.org/10.1002/jnr.22070
- Alves FH, Crestani CC, Corrêa FM (2010) The insular cortex modulates cardiovascular responses to acute restraint stress in rats. Brain Res 1333: 57–63. https://doi.org/10.1016/j.brainres.2010.03.077
- Fisk GD, Wyss JM (2000) Descending projections of infralimbic cortex that mediate stimulation-evoked changes in arterial pressure. Brain Res 859(1): 83–95. https://doi.org/10.1016/s0006-8993(00)01935-1
- Rostami B, Hatam M (2022) Cent nucleus of amygdala mediate pressor response elicited by microinjection of angiotensin II into the parvocellular paraventricular nucleus in rats. Iran J Med Sci 47(3): 272–279. https://doi.org/10.30476/ijms.2021.90015.2080
- Hoover WB, Vertes RP (2011) Projections of the medial orbital and ventral orbital cortex in the rat. J Compar Neurol 519(18): 3766–3801. https://doi.org/10.1002/cne.22733
- Izquierdo A (2017) Functional heterogeneity within rat orbitofrontal cortex in reward learning and decision making. J Neurosci 37(44): 10529–10540. https://doi.org/10.1523/JNEUROSCI.1678-17.2017
- Mathiasen ML, Aggleton JP, Witter MP (2023) Projections of the insular cortex to orbitofrontal and medial prefrontal cortex: a tracing study in the rat. Front Neuroanatom 17: 1131167. https://doi.org/10.3389/fnana.2023.1131167
- Hoover WB, Vertes RP (2007) Anatomical analysis of afferent projections to the medial prefrontal cortex in the rat. Brain Sruct Funct 212(2): 149–179. https://doi.org/10.1007/s00429-007-0150-4
- Zingg B, Hintiryan H, Gou L, Song MY, Bay M, Bienkowski MS, Foster NN, Yamashita S, Bowman I, Toga AW, Dong HW (2014) Neural networks of the mouse neocortex. Cell 156(5): 1096–1111. https://doi.org/10.1016/j.cell.2014.02.023
- Chiba T, Kayahara T, Nakano K (2001) Efferent projections of infralimbic and prelimbic areas of the medial prefrontal cortex in the Japanese monkey, Macaca fuscata. Brain Res 888(1): 83–101. https://doi.org/10.1016/s0006-8993(00)03013-4
- Stornetta RL, Inglis MA, Viar KE, Guyenet PG (2016) Afferent and efferent connections of C1 cells with spinal cord or hypothalamic projections in mice. Brain Struct Funct 221(8): 4027–4044. https://doi.org/10.1007/s00429-015-1143-3
Supplementary files








