Особенности угашения памяти о страхе у самцов и самок мышей Disc1-Q31L
- Авторы: Чижова Н.Д.1,2, Смирнова К.В.1,3, Дубровина Н.И.1, Калуев А.В.1,3,4,5,6, Амстиславская Т.Г.1,3
-
Учреждения:
- Научно-исследовательский институт нейронаук и медицины
- Институт цитологии и генетики СО РАН
- Новосибирский национальный исследовательский государственный университет
- Научно-технологический университет “Сириус”
- Санкт-Петербургский государственный университет
- Уральский федеральный университет
- Выпуск: Том 109, № 12 (2023)
- Страницы: 1898-1907
- Раздел: ЭКСПЕРИМЕНТАЛЬНЫЕ СТАТЬИ
- URL: https://ogarev-online.ru/0869-8139/article/view/233852
- DOI: https://doi.org/10.31857/S0869813923120038
- EDN: https://elibrary.ru/EWSIJJ
- ID: 233852
Цитировать
Полный текст
Аннотация
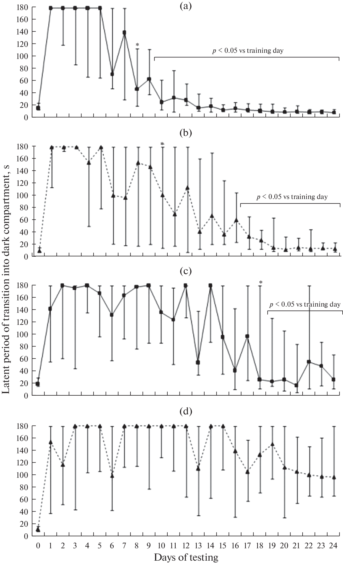
Депрессивные расстройства являются наиболее распространенными психопатологиями, которые зачастую могут сосуществовать с другими психическими заболеваниями, например, с посттравматическим стрессовым расстройством. Известно и наличие гендерных различий в восприимчивости к этим психопатологиям. Мыши мутантной линии Disc1-Q31L характеризуются депрессивноподобным поведением и нарушением молекулярных путей, вовлеченных в связанные с памятью о страхе процессы. В работе исследованы половые и межлинейные различия процессов обучения и угашения условной реакции пассивного избегания у самцов и самок мышей линии Disc1-Q31L и контрольных мышей C57BL/6. Показано, что самцы и самки мышей обеих линий одинаково хорошо обучались, но различались по угашению памяти о страхе – способности формировать новый след памяти о безопасности в ранее опасном отсеке установки. Обнаружен дефицит угашения условной реакции пассивного избегания у самок C57BL/6 по сравнению с самцами, а также выявлены межлинейные различия в динамике угашения как у самок, так и у самцов. Самцы Disc1-Q31L достигали полного угашения позже, чем самцы C57BL/6, а у самок Disc1-Q31L не обнаружено угашения в течение всех 24 дней теста. Таким образом, в данной работе показано не только вовлечение гена Disc1 в процессы угашения памяти о страхе, но и дифференцированное влияние мутации Q31L в гене Disc1 на процессы ее угашения в зависимости от пола мыши.
Об авторах
Н. Д. Чижова
Научно-исследовательский институт нейронаук и медицины; Институт цитологии и генетики СО РАН
Автор, ответственный за переписку.
Email: chnadezhda1995@gmail.com
Россия, Новосибирск; Россия, Новосибирск
К. В. Смирнова
Научно-исследовательский институт нейронаук и медицины; Новосибирский национальный исследовательский государственный университет
Автор, ответственный за переписку.
Email: vedelina@mail.ru
Россия, Новосибирск; Россия, Новосибирск
Н. И. Дубровина
Научно-исследовательский институт нейронаук и медицины
Email: vedelina@mail.ru
Россия, Новосибирск
А. В. Калуев
Научно-исследовательский институт нейронаук и медицины; Новосибирский национальный исследовательский государственный университет; Научно-технологический университет “Сириус”; Санкт-Петербургский государственный университет; Уральский федеральный университет
Email: vedelina@mail.ru
Россия, Новосибирск; Россия, Новосибирск; Россия, Сочи; Россия, Санкт-Петербург; Россия, Екатеринбург
Т. Г. Амстиславская
Научно-исследовательский институт нейронаук и медицины; Новосибирский национальный исследовательский государственный университет
Email: vedelina@mail.ru
Россия, Новосибирск; Россия, Новосибирск
Список литературы
- Malhi GS, Mann JJ (2018) Depression. Lancet 392: 2299–2312. https://doi.org/10.1016/S0140-6736(18)31948-2
- Pu S, Setoyama S, Noda T (2017) Association between cognitive deficits and suicidal ideation in patients with major depressive disorder. Sci Rep 7: 11637. https://doi.org/10.1038/s41598-017-12142-8
- Castelpietra G, Knudsen AKS, Agardh EE, Armocida B, Beghi M, Iburg KM, Logroscino G, Ma R, Starace F, Steel N, Addolorato G, Andrei CL, Andrei T, Ayuso-Mateos JL, Banach M, Bärnighausen TW, Barone-Adesi F, Bhagavathula AS, Carvalho F, Carvalho M, Chandan JS, Chattu VK, Couto RAS, Cruz-Martins N, Dargan PI, Deuba K, da Silva DD, Fagbamigbe AF, Fernandes E, Ferrara P, Fischer F, Gaal PA, Gialluisi A, Haagsma JA, Haro JM, Hasan MT, Hasan SS, Hostiuc S, Iacoviello L, Iavicoli I, Jamshidi E, Jonas JB, Joo T, Jozwiak JJ, Katikireddi SV, Kauppila JH, Khan MAB, Kisa A, Kisa S, Kivimäki M, Koly KN, Koyanagi A, Kumar M, Lallukka T, Langguth B, Ledda C, Lee PH, Lega I, Linehan C, Loureiro JA, Madureira-Carvalho ÁM, Martinez-Raga J, Mathur MR, McGrath JJ, Mechili EA, Mentis A-FA, Mestrovic T, Miazgowski B, Mirica A, Mirijello A, Moazen B, Mohammed S, Mulita F, Nagel G, Negoi I, Negoi RI, Nwatah VE, Padron-Monedero A, Panda-Jonas S, Pardhan S, Pasovic M, Patel J, Petcu I-R, Pinheiro M, Pollok RCG, Postma MJ, Rawaf DL, Rawaf S, Romero-Rodríguez E, Ronfani L, Sagoe D, Sanmarchi F, Schaub MP, Sharew NT, Shiri R, Shokraneh F, Sigfusdottir ID, Silva JP, Silva R, Socea B, Szócska M, Tabarés-Seisdedos R, Torrado M, Tovani-Palone MR, Vasankari TJ, Veroux M, Viner RM, Werdecker A, Winkler AS, Hay SI, Ferrari AJ, Naghavi M, Allebeck P, Monasta L (2022) The burden of mental disorders, substance use disorders and self-harm among young people in Europe, 1990–2019: Findings from the Global Burden of Disease Study 2019. Lancet Reg Heal – Eur 16: 100341. https://doi.org/10.1016/j.lanepe.2022.100341
- Willner P (1984) The validity of animal models of depression. Psychopharmacology (Berl) 83: 1–16. https://doi.org/10.1007/BF00427414
- Becker M, Pinhasov A, Ornoy A (2021) Animal Models of Depression: What Can They Teach Us about the Human Disease? Diagnostics 11: 123. https://doi.org/10.3390/diagnostics11010123
- Song J, Kim Y (2021) Animal models for the study of depressive disorder. CNS Neurosci Ther 27: 633–642. https://doi.org/10.1111/cns.13622
- Serykh A, Khrapova MV., Dubrovina NI, Petrova ES, Mikhnevich N, Starostina MV, Amstislavskaya TG, Lipina TV (2020) The increased density of the habenular neurons, high impulsivity, aggression and resistant fear memory in Disc1-Q31L genetic mouse model of depression. Behav Brain Res 392: 112693. https://doi.org/10.1016/j.bbr.2020.112693
- Roley ME, Claycomb MA, Contractor AA, Dranger P, Armour C, Elhai JD (2015) The relationship between rumination, PTSD, and depression symptoms. J Affect Disord 180: 116–121. https://doi.org/10.1016/j.jad.2015.04.006
- Tomoda T, Sumitomo A, Jaaro-Peled H, Sawa A (2016) Utility and validity of DISC1 mouse models in biological psychiatry. Neuroscience 321: 99–107. https://doi.org/10.1016/j.neuroscience.2015.12.061
- Lipina TV, Roder JC (2014) Disrupted-In-Schizophrenia-1 (DISC1) interactome and mental disorders: Impact of mouse models. Neurosci Biobehav Rev 45: 271–294. https://doi.org/10.1016/j.neubiorev.2014.07.001
- Clapcote SJ, Lipina TV, Millar JK, Mackie S, Christie S, Ogawa F, Lerch JP, Trimble K, Uchiyama M, Sakuraba Y, Kaneda H, Shiroishi T, Houslay MD, Henkelman RM, Sled JG, Gondo Y, Porteous DJ, Roder JCC (2007) Behavioral Phenotypes of Disc1 Missense Mutations in Mice. Neuron 54: 387–402. https://doi.org/10.1016/j.neuron.2007.04.015
- Bouton ME, Maren S, McNally GP (2021) Behavioral and neurobiological mechanisms of pavlovian and instrumental extinction learning. Physiol Rev 101: 611–681. https://doi.org/10.1152/physrev.00016.2020
- Bentefour Y, Bennis M, Garcia R, M’hamed SB (2015) Effects of paroxetine on PTSD-like symptoms in mice. Psychopharmacology (Berl) 232: 2303–2312. https://doi.org/10.1007/s00213-014-3861-2
- Colom-Lapetina J, Li AJ, Pelegrina-Perez TC, Shansky RM (2019) Behavioral Diversity Across Classic Rodent Models Is Sex-Dependent. Front Behav Neurosci 13: 45. https://doi.org/10.3389/fnbeh.2019.00045
- Velasco ER, Florido A, Milad MR, Andero R (2019) Sex differences in fear extinction. Neurosci Biobehav Rev 103: 81–108. https://doi.org/10.1016/j.neubiorev.2019.05.020
- Petrova E, Gromova A, Anisimenko M, Ruban L, Egorova S, Petrovskaya I, Amstislavskaya T, Lipina T (2018) Maintenance of Genetically Modified Mouse Lines: Input to the Development of Bio-Collections In Russia. Lab Anim Sci Res 1. https://doi.org/10.29296/2618723X-2018-02-01
- Dubrovina NI, Khrapova MV, Lipina TV (2018) Characteristics of the Formation of Memories Relating to Fear in Mice with Depression- and Schizophrenia-Like Phenotypes: Effects of Gender and Age. Neurosci Behav Physiol 48: 488–495. https://doi.org/10.1007/s11055-018-0590-8
- Gobinath AR, Mahmoud R, Galea LAM (2015) Influence of sex and stress exposure across the lifespan on endophenotypes of depression: focus on behavior, glucocorticoids, and hippocampus. Front Neurosci 8. https://doi.org/10.3389/fnins.2014.00420
- Bangasser DA, Valentino RJ (2014) Sex differences in stress-related psychiatric disorders: Neurobiological perspectives. Front Neuroendocrinol 35: 303–319. https://doi.org/10.1016/j.yfrne.2014.03.008
- Greiner EM, Müller I, Norris MR, Ng KH, Sangha S (2019) Sex differences in fear regulation and reward-seeking behaviors in a fear-safety-reward discrimination task. Behav Brain Res 368: 111903. https://doi.org/10.1016/j.bbr.2019.111903
- McGirr A, Lipina T V, Mun H-S, Georgiou J, Al-Amri AH, Ng E, Zhai D, Elliott C, Cameron RT, Mullins JG, Liu F, Baillie GS, Clapcote SJ, Roder JC (2016) Specific Inhibition of Phosphodiesterase-4B Results in Anxiolysis and Facilitates Memory Acquisition. Neuropsychopharmacology 41: 1080–1092. https://doi.org/10.1038/npp.2015.240
- Lipina TV, Fletcher PJ, Lee FH, Wong AH, Roder JC (2013) Disrupted-In-Schizophrenia-1 Gln31Leu Polymorphism Results in Social Anhedonia Associated with Monoaminergic Imbalance and Reduction of CREB and β-arrestin-1,2 in the Nucleus Accumbens in a Mouse Model of Depression. Neuropsychopharmacology 38: 423–436. https://doi.org/10.1038/npp.2012.197
- Чижова НД, Смирнова КВ, Дубровина НИ, Липина ТВ (2023) Половые и линейные различия у мышей DISC1-L100P и C57BL/6 в угашении условной реакции пассивного избегания. Журн высш нервн деятельн им ИП Павлова 73: 425–432. [Chizhova ND, Smirnova KV, Dubrovina NI, Lipina TV (2023) Sex and linear differences in DISC1-L100P and C57BL/6 mice in the extinction of the conditioned passive avoidance response. J Higher Nerve Activity IP Pavlova 73: 425–432. (In Russ)]. https://doi.org/10.31857/S004446772303005X
- Savitz JB, Nugent AC, Bogers W, Roiser JP, Bain EE, Neumeister A, Zarate CA, Manji HK, Cannon DM, Marrett S, Henn F, Charney DS, Drevets WC (2011) Habenula Volume in Bipolar Disorder and Major Depressive Disorder: A High-Resolution Magnetic Resonance Imaging Study. Biol Psychiatry 69: 336–343. https://doi.org/10.1016/j.biopsych.2010.09.027
- Savitz JB, Bonne O, Nugent AC, Vythilingam M, Bogers W, Charney DS, Drevets WC (2011) Habenula volume in post-traumatic stress disorder measured with high-resolution MRI. Biol Mood Anxiety Disord 1: 7. https://doi.org/10.1186/2045-5380-1-7
- Park H, Rhee J, Park K, Han J-S, Malinow R, Chung C (2017) Exposure to Stressors Facilitates Long-Term Synaptic Potentiation in the Lateral Habenula. J Neurosci 37: 6021–6030. https://doi.org/10.1523/JNEUROSCI.2281-16.2017
- Day HLL, Stevenson CW (2020) The neurobiological basis of sex differences in learned fear and its inhibition. Eur J Neurosci 52: 2466–2486. https://doi.org/10.1111/ejn.14602
- Marek R, Xu L, Sullivan RKP, Sah P (2018) Excitatory connections between the prelimbic and infralimbic medial prefrontal cortex show a role for the prelimbic cortex in fear extinction. Nat Neurosci 21: 654–658. https://doi.org/10.1038/s41593-018-0137-x
- Lee FHF, Fadel MP, Preston-Maher K, Cordes SP, Clapcote SJ, Price DJ, Roder JC, Wong AHC (2011) Disc1 Point Mutations in Mice Affect Development of the Cerebral Cortex. J Neurosci 31: 3197–3206. https://doi.org/10.1523/JNEUROSCI.4219-10.2011
Дополнительные файлы




