Decrease in Muscle Mass in Diet-Induced Visceral Obesity in Male Wistar Rats: Relationship with Hormonal and Metabolic Parameters
- Authors: Mityukova T.A.1, Basalai A.A.1, Chudilovskaya K.N.1, Poluliakh O.Y.1, Shcherbakov .V.1, Kastsiuchenko M.S.1
-
Affiliations:
- Institute of Physiology of the National Academy of Sciences of Belarus
- Issue: Vol 109, No 7 (2023)
- Pages: 921-932
- Section: EXPERIMENTAL ARTICLES
- URL: https://ogarev-online.ru/0869-8139/article/view/137968
- DOI: https://doi.org/10.31857/S0869813923070099
- EDN: https://elibrary.ru/XMVPMR
- ID: 137968
Cite item
Full Text
Abstract
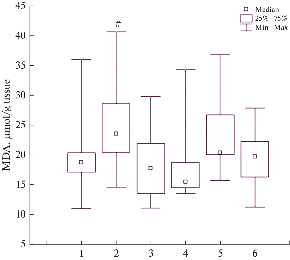
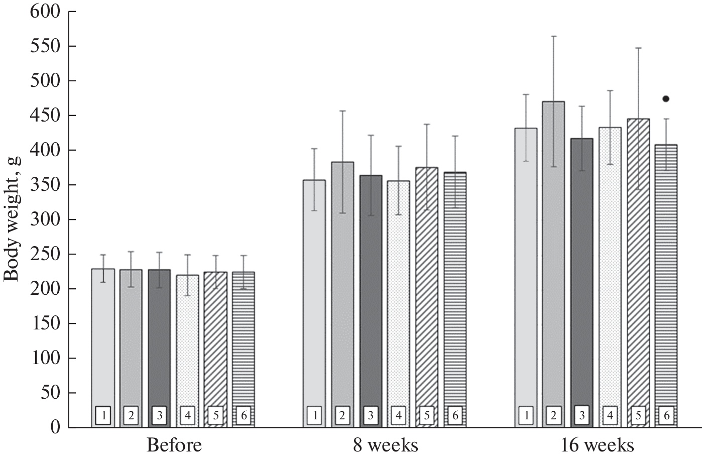
Decrease in muscle mass, as a rule, develops with the aging of the body, but in obesity the signs of decrease in mass and functional activity of the skeletal muscles are also registered, which requires experimental research. The aim of the work was to study the effect of diet-induced obesity and health variants of its correction on mass-metric and metabolic tissue parameters of musculus triceps surae in male Wistar rats. The experiments were carried out on sexually mature male Wistar rats and included the study of mass-metric, metabolic and hormonal indices characterizing the state of muscle tissue under the standard (Std, 16 weeks) and high-caloric diet (HCD, 16 weeks), during the transition from HCD to standard diet (HCD/StD, 8/8 weeks), when physical activity in the form of running on a treadmill was added (StD + running, HCD + running and HCD/StD + running, 8/8). Prolonged high-caloric diet led to the development of visceral obesity and decreased musculus triceps surae mass in male Wistar rats. Metabolic shifts were registered in the skeletal muscles during HCD, such as an increase in glucose, lactate, lactate dehydrogenase activity, and lipid peroxidation. Visceral obesity was accompanied by a decrease in serum testosterone content, but the concentration of the hormone in muscle tissue remained relatively stable. Application of moderate physical activity in HCD did not lead to correction of visceral fat mass, did not prevent decrease in muscle mass, but caused normalization of biochemical indices in muscle tissue and serum testosterone level. The most adequate correction of visceral obesity, muscle mass and biochemical indices in muscle tissue in male rats was achieved by switching from a high-caloric to a balanced diet regardless of physical activity. Thus, correction of diet-induced visceral obesity, muscle mass and associated metabolic shifts in male Wistar rats requires a transition to a balanced diet.
About the authors
T. A. Mityukova
Institute of Physiology of the National Academy of Sciences of Belarus
Author for correspondence.
Email: mityukovat@gmail.com
Belarus, Minsk
A. A. Basalai
Institute of Physiology of the National Academy of Sciences of Belarus
Author for correspondence.
Email: anastasiya.basalay@gmail.com
Belarus, Minsk
K. N. Chudilovskaya
Institute of Physiology of the National Academy of Sciences of Belarus
Email: anastasiya.basalay@gmail.com
Belarus, Minsk
O. Y. Poluliakh
Institute of Physiology of the National Academy of Sciences of Belarus
Email: anastasiya.basalay@gmail.com
Belarus, Minsk
Ya. V. Shcherbakov
Institute of Physiology of the National Academy of Sciences of Belarus
Email: anastasiya.basalay@gmail.com
Belarus, Minsk
M. S. Kastsiuchenko
Institute of Physiology of the National Academy of Sciences of Belarus
Email: anastasiya.basalay@gmail.com
Belarus, Minsk
References
- The European Health Report 2021. Taking stock of the health-related Sustainable Development Goals in the COVID-19 era with a focus on leaving no one behind. Copenhagen: WHO Regional Office for Europe; 2022. Licence: CC BY-NC-SA 3.0 IGO.
- Tomlinson DJ, Erskine RM, Morse CI, Winwood K, Pearson GO (2016) The impact of obesity on skeletal muscle strength and structure through adolescence to old age. Biogerontology 17(3): 467–483. https://doi.org/10.1007/s10522-015-9626-4
- Mercier S, Mosoni L, Obled C, Patureau Mirand P, Breuille D (2002) Chronic inflammation alters protein metabolism in several organs of adult rats. J Nutr 132(7): 1921–1928. https://doi.org/10.1093/jn/132.7.1921
- Романцова ТИ, Сыч ЮП (2019) Иммунометаболизм и метавоспаление при ожирении. Ожирение и метаболизм 16(4): 3–17. [Romantsova TR, Sych YuP (2019) Immunometabolism and metainflammation in obesity. Obesity and metabolism 16(4): 3–17. (In Russ)]. https://doi.org/10.14341/omet12218
- Van den Beld AW, De Jong FH, Grobbee DE, Pols HA, Lamberts SW (2000) Measures of bioavailable serum testosterone and estradiol and their relationships with muscle strength, bone density, and body composition in elderly men. J Clin Endocrinol Metab 85(9): 3276–3282. https://doi.org/10.1210/jcem.85.9.6825
- Auyeung TW, Lee JS, Kwok T, Leung J, Ohlsson C, Vandenput L, Leung PC, Woo J (2011) Testosterone but not estradiol level is positively related to muscle strength and physical performance independent of muscle mass: a cross-sectional study in 1489 older men. Eur J Endocrinol 164(5): 811–817. https://doi.org/10.1530/EJE-10-0952
- Gharahdaghi N, Phillips BE, Szewczyk NJ, Smith K, Wilkinson DJ, Atherton PJ (2021) Links between testosterone, oestrogen, and the growth hormone/insulin-like growth factor axis and resistance exercise muscle adaptations. Front Physiol 11: 621226. https://doi.org/10.3389/fphys.2020.621226
- Salucci S, Falcieri E (2020) Polyphenols and their potential role in preventing skeletal muscle atrophy. Nutr Res 74: 10–22. https://doi.org/10.1016/j.nutres.2019.11.004
- Gupta P, Kumar S (2022) Sarcopenia and endocrine ageing: Are they related? Cureus 14(9): 1–10. https://doi.org/10.7759/cureus.28787
- Aizawa K, Iemitsu M, Otsuki T, Maeda S, Miyauchi T, Mesaki N (2008) Sex differences in steroidogenesis in skeletal muscle following a single bout of exercise in rats. J Appl Physiol 104: 67–74. https://doi.org/10.1152/japplphysiol.00558.2007
- Gancheva S, Zhelyazkova-Savova M, Galunska B, Chervenkov T (2015) Experimental models of metabolic syndrome in rats. Scripta Sci Med 47(2): 14–21. https://doi.org/10.14748/ssm.v47i2.1145
- Wang R, Tian H, Guo D, Tian Q, Yao T, Kong X (2020) Impacts of exercise intervention on various diseases in rats. J Sport Health Sci 9(3): 211–227. https://doi.org/10.1016/j.jshs.2019.09.008
- Стальная ИД, Гаришвили ТГ (1977) Метод определения малонового диальдегида с помощью тиобарбитуровой кислоты. В кн.: Современные методы в биохимии. M. Медицина. 66–68. [Stalnaya ID, Garishvili TG (1977) Method for the determination of malondialdehyde using thiobarbituric acid. In: Modern methods in biochemistry. M. Medicine. 66–68. (In Russ)].
- Aizawa K, Iemitsu M, Maeda S, Jesmin S, Otsuki T, Mowa CN, Miyauchi T, Mesaki N (2007) Expression of steroidogenic enzymes and synthesis of sex steroid hormones from DHEA in skeletal muscle of rats. Am J Physiol Endocrinol Metab 292(2): E577–E584. https://doi.org/10.1152/ajpendo.00367.2006
- Jîtcă G, Ősz BE, Tero-Vescan A, Miklos AP, Rusz C-M, Bătrînu M-G, Vari CE (2022) Positive aspects of oxidative stress at different levels of the human body: a review. Antioxidants (Basel) 11(3): 572. https://doi.org/10.3390/antiox11030572
- Zhai L, Zhao J, Zhu Y, Liu Q, Niu W, Liu C, Wang Y (2018) Downregulation of leptin receptor and kisspeptin/GPR54 in the murine hypothalamus contributes to male hypogonadism caused by high-fat diet-induced obesity. Endocrine 62: 195–206. https://doi.org/10.1007/s12020-018-1646-9
- Sato K, Iemitsu M (2018) The role of Dehydroepiandrosterone (DHEA) in skeletal muscle. Vitam Horm 108: 205–221. https://doi.org/10.1016/bs.vh.2018.03.002
- Sato K, Iemitsu M (2015) Exercise and sex steroid hormones in skeletal muscle. J Steroid Biochem Mol Biol 145: 200–205. https://doi.org/10.1016/j.jsbmb.2014.03.009
- Комольцев ИГ, Франкевич СО, Широбокова НИ, Костюнина ОВ, Волкова АА, Башкатова ДА, Шальнева ДВ, Кострюков ПА, Салып ОЮ, Новикова МР, Гуляева НВ (2022) Время суток нанесения удара влияет на выраженность немедленных судорог и повышение уровня кортикостерона при моделировании черепно-мозговой травмы. Рос физиол журн им ИМ Сеченова 108(12): 1668–1679. [Komoltsev IG, Frankevich SO, Shirobokova NI, Kostyunina OV, Volkova AA, Bashkatova DA, Shalneva DV, Kostrukov PA, Salyp OYu, Novikova MR, Gulyaeva NV (2022) Acute corticosterone elevation and immediate seizure expression in rats depends on the time of the day when lateral fluid percussion brain injury has been applied. Russ J Physiol 108(12): 1668–1679. (In Russ)]. https://doi.org/10.31857/S086981392212007X
- Mengeste AM, Rustan AC, Lund J (2021) Skeletal muscle energy metabolism in obesity. Obesity 29(10): 1582–1595. https://doi.org/10.1002/oby.23227




