Exploring the Molecular and Genetic Mechanisms of Action of the α2-Adrenergic Agonist Mafedine in Experimental Traumatic Brain Injury in Rats
- Authors: Sysoev Y.I.1,2,3,4, Shustov M.V.1, Prikhodko V.A.1,4, Shitc D.D.1, Puchik M.M.1, Okovityi S.V.1,4
-
Affiliations:
- Saint Petersburg State Chemical and Pharmaceutical University
- Pavlov Institute of Physiology of the Russian Academy of Sciences
- Institute of Translational Biomedicine, Saint Petersburg State University
- Bechtereva Institute of the Human Brain
- Issue: Vol 109, No 4 (2023)
- Pages: 438-456
- Section: EXPERIMENTAL ARTICLES
- URL: https://ogarev-online.ru/0869-8139/article/view/137922
- DOI: https://doi.org/10.31857/S0869813923040118
- EDN: https://elibrary.ru/VJVJRG
- ID: 137922
Cite item
Full Text
Abstract
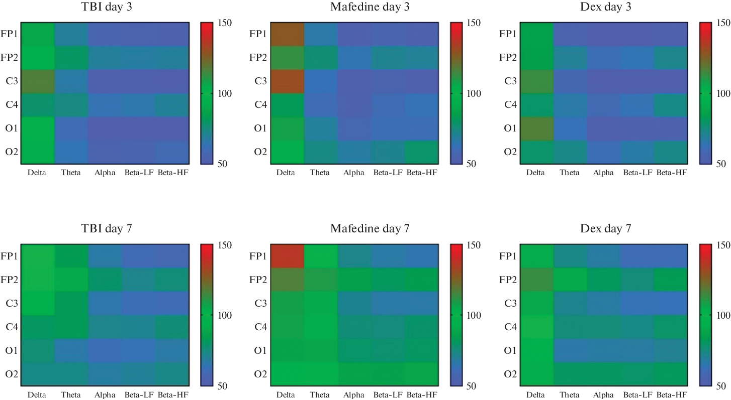
Neurological impairments due to traumatic, vascular, or neurodegenerative brain diseases have a high prevalence worldwide. Among them are motor, cognitive, and mental disorders, which have a serious negative impact on the working and social activities of the patients. This calls for the search and development of novel effective neuroprotective agents. Previous studies have shown the pyrimidine-derived α2-adrenergic agonist mafedine to be highly effective for the amelioration of neurological deficits in experimental traumatic brain injury (TBI) in rats. Despite the results of the previous works favouring the major role of the α2 adrenergic receptor activation in the mechanism of action of mafedine, the search for additional molecular targets is an important part of the development of any drug to be used in clinical practice. In this work, we evaluated the effects of 7 day-long course administration of mafedine (2.5 mg/kg b.w.) on the expression of brain-derived neurotrophic factor (BDNF), the proinflammatory cytokines interleukin (IL)-1β, -6, tumour necrosis factor (TNF)-α, and the α2A, α2B, and α2C α2-adrenergic receptor subtypes in the brain cortex of rats subjected to TBI, using the reverse-transcription real-time polymerase chain reaction method. TBI was modelled by the controlled cortical impact technique in an open area of sensorimotor cortex of the left brain hemisphere. Behavioural alterations in the injured animals were assessed in the Open field test, and the fore- and hindlimb motor function, in the Limb placing, Cylinder, and Beam walking tests. Our experiments show that TBI causes severe motor impairments as well as decreases exploration in rats. Besides, at post-TBI day 7, a reduction in the expression of all analyzed genes is seen, which is the most pronounced in the contralateral (uninjured) hemisphere. Course administration of mafedine (2.5 mg/kg b.w.) resulted in moderate stimulation of the injured rats’ behaviour, increased exploratory activity compared to controls, and improved sensorimotor deficit as assessed by the Beam walking test. Gene expression analysis results indicated that mafedine decreased α2B-adrenergic receptor, TNF-α, and IL-6 expression in the injured hemisphere. At the same time, compared to rats with TBI having received no treatment, mafedine-treated animals exhibited higher α2B-adrenergic receptor and IL-1β expression in the injured rather than the intact hemisphere. These results confirm the previously observed neuroprotective activity of mafedine and imply that it may exert its effects via suppression of α2B-adrenergic receptor and proinflammatory cytokine expression in the injured brain hemisphere, at the same time increasing their expression in the intact one.
Keywords
About the authors
Yu. I. Sysoev
Saint Petersburg State Chemical and Pharmaceutical University; Pavlov Institute of Physiology of the Russian Academy of Sciences; Institute of Translational Biomedicine, Saint Petersburg State University; Bechtereva Institute of the Human Brain
Author for correspondence.
Email: susoyev92@mail.ru
Russia, St. Petersburg; Russia, St. Petersburg; Russia, St. Petersburg; Russia, St. Petersburg
M. V. Shustov
Saint Petersburg State Chemical and Pharmaceutical University
Email: susoyev92@mail.ru
Russia, St. Petersburg
V. A. Prikhodko
Saint Petersburg State Chemical and Pharmaceutical University; Bechtereva Institute of the Human Brain
Email: susoyev92@mail.ru
Russia, St. Petersburg; Russia, St. Petersburg
D. D. Shitc
Saint Petersburg State Chemical and Pharmaceutical University
Email: susoyev92@mail.ru
Russia, St. Petersburg
M. M. Puchik
Saint Petersburg State Chemical and Pharmaceutical University
Email: susoyev92@mail.ru
Russia, St. Petersburg
S. V. Okovityi
Saint Petersburg State Chemical and Pharmaceutical University; Bechtereva Institute of the Human Brain
Email: susoyev92@mail.ru
Russia, St. Petersburg; Russia, St. Petersburg
References
- Faul M, Coronado V (2015) Epidemiology of traumatic brain injury. Handb Clin Neurol 127: 3–13. https://doi.org/10.1016/B978-0-444-52892-6.00001-5
- Saini V, Guada L, Yavagal DR (2021) Global Epidemiology of Stroke and Access to Acute Ischemic Stroke Interventions. Neurology 97(20 Suppl 2): S6–S16. https://doi.org/10.1212/WNL.0000000000012781
- Gao Z, Pang Z, Chen Y, Lei G, Zhu S, Li G, Shen Y, Xu W (2022) Restoring After Central Nervous System Injuries: Neural Mechanisms and Translational Applications of Motor Recovery. Neurosci Bull 38(12): 1569–1589. https://doi.org/10.1007/s12264-022-00959-x
- Rochmah TN, Rahmawati IT, Dahlui M, Budiarto W, Bilqis N (2021) Economic Burden of Stroke Disease: A Systematic Review. Int J Environ Res Public Health 18(14): 7552. https://doi.org/10.3390/ijerph18147552
- Xu SY, Pan SY (2013) The failure of animal models of neuroprotection in acute ischemic stroke to translate to clinical efficacy. Med Sci Monit Basic Res 19: 37–45. https://doi.org/10.12659/msmbr.883750.
- Marklund N, Hillered L (2011) Animal modelling of traumatic brain injury in preclinical drug development: where do we go from here? Br J Pharmacol 164(4): 1207–1229. https://doi.org/10.12659/msmbr.883750
- Hoffman WE, Cheng MA, Thomas C, Baughman VL, Albrecht RF (1991) Clonidine decrease plasma catecholamines and improves outcome from incomplete ischemia in the rat. Anesth Analg 73: 460–464. https://doi.org/10.1213/00000539-199110000-00016
- Hoffman WE, Kochs E, Werner C, Thomas C, Albrecht RF (1991) Dexmedetomidine improves neurologic outcome from incomplete ischemia in the rat: Reversal by the alpha-2 – adrenergic antagonist atipamezole. Anesthesiology 75: 328–332. https://doi.org/10.1097/00000542-199108000-00022
- Zhang Y, Kimelberg HK (2005) Neuroprotection by alpha 2-adrenergic agonists in cerebral ischemia. Curr Neuropharmacol 3(4): 317–323. https://doi.org/10.2174/157015905774322534
- Hu Y, Zhou H, Zhang H, Sui Y, Zhang Z, Zou Y, Li K, Zhao Y, Xie J, Zhang L (2022) The neuroprotective effect of dexmedetomidine and its mechanism. Front Pharmacol 13: 965661. https://doi.org/10.3389/fphar.2022.965661
- Jiang L, Hu M, Lu Y, Cao Y, Chang Y, Dai Z (2017) The protective effects of dexmedetomidine on ischemic brain injury: A meta-analysis. J Clin Anesth 40: 25–32. https://doi.org/10.1016/j.jclinane.2017.04.003
- Luo X, Zheng X, Huang H (2016) Protective effects of dexmedetomidine on brain function of glioma patients undergoing craniotomy resection and its underlying mechanism. Clin Neurol Neurosurg 146: 105–108. https://doi.org/10.1016/j.clineuro.2016.05.004
- Bindra A, Kaushal A, Prabhakar H, Chaturvedi A, Chandra PS, Tripathi M, Subbiah V, Sathianathan S, Banerjee J, Prakash C (2019) Neuroprotective role of dexmedetomidine in epilepsy surgery: A preliminary study. Neurol India 67(1): 163–168. https://doi.org/10.4103/0028-3886.253616
- Сысоев ЮИ, Дагаев СГ, Кубарская ЛГ, Гайкова ОН, Узуегбунам БЧ, Модисе К, Маквана ТЛ, Оковитый СВ (2019) Нейропротекторная активность агониста альфа-2 адренорецепторов мафедина на модели черепно-мозговой травмы у крыс. Биомедицина 15(1): 62–77. [Sysoev YuI, Dagaev SG, Kubarskaja LG, Gaikova ON, Uzuegbunam BC, Modise K, Makwana TL, Okovitiy SV (2019) Study of the neuroprotective activity of mafedine, an alpha-2 adrenergic receptor agonist, by modeling a traumatic brain injury in rats. J Biomed 15(1): 62–77. (In Russ)]. https://doi.org/10.33647/2074-5982-15-1-62-77
- Sysoev YI, Prikhodko VA, Chernyakov RT, Idiyatullin RD, Musienko PE, Okovityi SV (2021) Effects of Alpha-2 Adrenergic Agonist Mafedine on Brain Electrical Activity in Rats after Traumatic Brain Injury. Brain Sci 11(8): 981. https://doi.org/10.3390/brainsci11080981
- Paxinos G, Watson C (2013) The Rat Brain in Stereotaxic Coordinates. 7th ed. Cambridge. MA. USA. Acad Press.
- Приходько ВА, Кан АВ, Сысоев ЮИ, Титович ИА, Анисимова НА, Оковитый СВ (2021) Оценка нейропротекторной активности нового производного аллилморфолина на модели черепно-мозговой травмы у крыс. Разработка и регистрация лекарственных средств 10(4–1): 179–187. [Prikhodko VA, Kan AV, Sysoev YuI, Titovich IA, Anisimova NA, Okovityi SV (2021) Evaluation of the neuroprotective activity of a new allylmorpholine derivative in a rat model of traumatic brain injury. Drug development & registrat 10(4–1): 179–187. (In Russ)]. https://doi.org/10.33380/2305-2066-2021-10-4(1)-179-187
- Rouhani F, Khodarahmi P, Naseh V (2019) NGF, BDNF and Arc mRNA Expression in the Hippocampus of Rats After Administration of Morphine. Neurochem Res 44(9): 2139–2146. https://doi.org/10.1007/s11064-019-02851-z
- Lu H, Zhou J (2008) HBV X gene transfection upregulates IL-1beta and IL-6 gene expression and induces rat glomerular mesangial cell proliferation. J Huazhong Univ Sci Technolog Med Sci 28(3): 247–250. https://doi.org/10.1007/s11596-008-0304-5
- Wang AL, Yu AC, He QH, Zhu X, Tso MO (2007) AGEs mediated expression and secretion of TNF alpha in rat retinal microglia. Exp Eye Res 84(5): 905–913. https://doi.org/10.1016/j.exer.2007.01.011
- Zhang Y, Kolli T, Hivley R, Jaber L, Zhao FI, Yan J, Herness S (2010) Characterization of the expression pattern of adrenergic eceptors in rat taste buds. Neuroscience 169(3): 1421–1437. https://doi.org/10.1016/j.neuroscience.2010.05.021
- Sysoev YI, Uzuegbunam BC, Okovityi SV (2019) Attenuation of neurological deficit by a novel ethanolamine derivative in rats after brain trauma. J Exp Pharmacol 11: 53–63. https://doi.org/10.2147/JEP.S199464
- Niskanen JP, Airaksinen AM, Sierra A, Huttunen JK, Nissinen J, Karjalainen PA, Pitkänen A, Gröhn OH (2013) Monitoring functional impairment and recovery after traumatic brain injury in rats by FMRI. J Neurotrauma 30(7): 546–556. https://doi.org/10.1089/neu.2012.2416
- Fleischman RW, McCracken D, Forbes W (1977) Adynamic ileus in the rat induced by chloral hydrate. Lab Anim Sci 27: 238–243.
- Ogino K, Hobara T, Kobayashi H, Iwamoto S (1990) Gastric mucosal injury induced by chloral hydrate. Toxicol Lett 52: 129–133. https://doi.org/10.1016/0378-4274(90)90146-d
- Liu JH, Feng D, Zhang YF, Shang Y, Wu Y, Li XF, Pei L (2015) Chloral Hydrate Preconditioning Protects Against Ischemic Stroke via Upregulating Annexin A1. CNS Neurosci Ther 21(9): 718–726. https://doi.org/10.1111/cns.12435
- Силачев ДН, Усатикова ЭА, Певзнер ИБ, Зорова ЛД, Бабенко ВА, Гуляев МВ, Пирогов ЮА, Плотников ЕЮ, Зоров ДБ (2017) Влияние наркозных препаратов на эффективность удаленного ишемического прекондиционирования. Биохимия 82(9): 1296–1308. [Silachev DN, Usatikova EA, Pevzner IB, Zorova LD, Babenko VA, Gulyaev MV, Pirogov YA, Plotnikov EY, Zorov DB (2017) Impact of anesthetics on efficiency of remote ischemic preconditioning. Biochemistry (Moscow) 82(9): 1296–1308. (In Russ)].
- Liu H, Li J, Jiang L, He J, Zhang H, Wang K (2022) Dexmedetomidine pretreatment alleviates cerebral ischemia/reperfusion injury by inhibiting neuroinflammation through the JAK2/STAT3 pathway. Braz J Med Biol Res 55: e12145. https://doi.org/10.1590/1414-431X2022e12145
- Ma D, Rajakumaraswamy N, Maze M (2005) Alpha2-Adrenoceptor agonists: shedding light on neuroprotection? Br Med Bull 71: 77–92. https://doi.org/10.1093/bmb/ldh036
- Wang D, Xu X, Wu YG, Lyu L, Zhou ZW, Zhang JN (2018) Dexmedetomidine attenuates traumatic brain injury: Action pathway and mechanisms. Neural Regen Res 13(5): 819–826. https://doi.org/10.4103/1673-5374.232529
- Huang GR, Hao FG (2021) Dexmedetomidine inhibits inflammation to alleviate early neuronal injury via TLR4/NF-κB pathway in rats with traumatic brain injury. Crit Rev Eukaryot Gene Expr 31(1): 41–47. https://doi.org/10.1615/CritRevEukaryotGeneExpr.2021037390
- Dalgard CL, Cole JT, Kean WS, Lucky JJ, Sukumar G, McMullen DC, Pollard HB, Watson WD (2012) The cytokine temporal profile in rat cortex after controlled cortical impact. Front Mol Neurosci 5: 6. https://doi.org/10.3389/fnmol.2012.00006
- Lagraoui M, Latoche JR, Cartwright NG, Sukumar G, Dalgard CL, Schaefer BC (2012) Controlled cortical impact and craniotomy induce strikingly similar profiles of inflammatory gene expression, but with distinct kinetics. Front Neurol 3: 155. https://doi.org/10.3389/fneur.2012.00155
- Gustafsson D, Klang A, Thams S, Rostami E (2021) The Role of BDNF in Experimental and Clinical Traumatic Brain Injury. Int J Mol Sci 22(7):3582. https://doi.org/10.3390/ijms22073582
- Wang YJ, Chen KY, Kuo LN, Wang WC, Hsu YW, Wong HS, Lin CM, Liao KH, Zhang YF, Chiang YH, Chang WC (2018) The association between BDNF Val66Met polymorphism and emotional symptoms after mild traumatic brain injury. BMC Med Genet 19(1): 13. https://doi.org/10.1186/s12881-017-0518-0
- Treble-Barna A, Wade SL, Pilipenko V, Martin LJ, Yeates KO, Taylor HG, Kurowski BG (2022) Brain-derived neurotrophic factor Val66Met and neuropsychological functioning after early childhood traumatic brain injury. J Int Neuropsychol Soc 25: 1–11. https://doi.org/10.1017/S1355617722000194
- Philipp M, Brede M, Hein L (2002) Physiological significance of alpha(2)-adrenergic receptor subtype diversity: one receptor is not enough. Am J Physiol Regul Integr Comp Physiol 283(2): R287–R295. https://doi.org/10.1152/ajpregu.00123.2002
- Sallinen J, Haapalinna A, Viitamaa T, Kobilka BK, Scheinin M (1998) D-Amphetamine and L‑5-hydroxytryptophan-induced behaviours in mice with genetically-altered expression of the alpha2C-adrenergic receptor subtype. Neuroscience 86: 959–965. https://doi.org/10.1016/s0306-4522(98)00100-6
- Scheinin M, Sallinen J, Haapalinna A (2001) Evaluation of the 2C-adrenoceptor as a neuropsychiatric drug target studies in transgenic mouse models. Life Sci 68: 2277–2285. https://doi.org/10.1016/s0024-3205(01)01016-5
- Bjorklund M, Sirvio J, Puolivali J, Sallinen J, Jakala P, Scheinin M, Kobilka BK, Riekkinen P Jr (1998) Alpha2C-Adrenoceptor-overexpressing mice are impaired in executing nonspatial and spatial escape strategies. Mol Pharmacol 54: 569–576. https://doi.org/10.1124/mol.54.3.569
- Sallinen J, Haapalinna A, Viitamaa T, Kobilka BK, Scheinin M (1998) Adrenergic Alpha2C-receptors modulate the acoustic startle reflex, prepulse inhibition, and aggression in mice. J Neurosci 18: 3035–3042. https://doi.org/10.1523/JNEUROSCI.18-08-03035.1998
- Hein L, Altman JD, Kobilka BK (1999) Two functionally distinct alpha2-adrenergic receptors regulate sympathetic neurotransmission. Nature 402: 181–184. https://doi.org/10.1038/46040
- Sysoev YI, Prikhodko VA, Kan AV, Titovich IA, Karev VE, Okovityi SV (2022) Changes in Brain Electrical Activity after Transient Middle Cerebral Artery Occlusion in Rats. Neurol Int 14(3): 547–560. https://doi.org/10.3390/neurolint14030044
- Okabe N, Shiromoto T, Himi N, Lu F, Maruyama-Nakamura E, Narita K, Iwachidou N, Yagita Y, Miyamoto O (2016) Neural network remodeling underlying motor map reorganization induced by rehabilitative training after ischemic stroke. Neuroscience 339: 338–362. https://doi.org/10.1016/j.neuroscience.2016.10.008
- Okabe N, Shiromoto T, Himi N, Lu F, Maruyama-Nakamura E, Narita K, Iwachidou N, Yagita Y, Miyamoto O (2016) Neural network remodeling underlying motor map reorganization induced by rehabilitative training after ischemic stroke. Neuroscience 339: 338–362. https://doi.org/10.1016/j.neuroscience.2016.10.008
Supplementary files







