Effect of Glucose on Water Transport in Rat Peritoneal Mesothelium Cells
- Authors: Baturina G.S.1,2, Katkova L.E.1, Solenov E.I.1,2,3
-
Affiliations:
- Institute of Cytology and Genetics of Siberian Branch of the Russian Academy of Sciences
- Novosibirsk State University
- Novosibirsk State Technical University
- Issue: Vol 109, No 3 (2023)
- Pages: 366-374
- Section: EXPERIMENTAL ARTICLES
- URL: https://ogarev-online.ru/0869-8139/article/view/137906
- DOI: https://doi.org/10.31857/S0869813923030081
- EDN: https://elibrary.ru/FSTGFP
- ID: 137906
Cite item
Full Text
Abstract
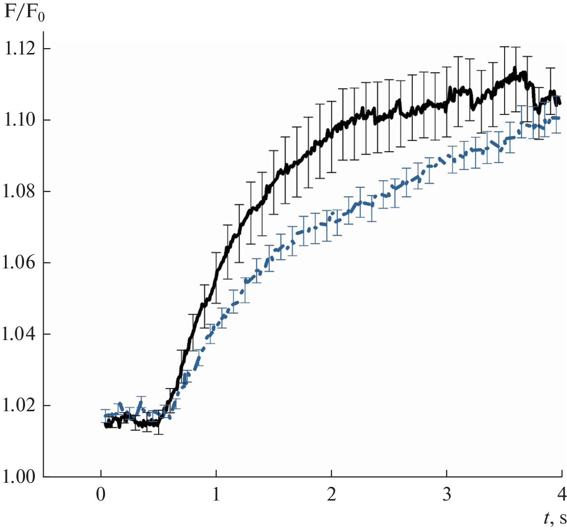
Glucose is widely used as an osmotic agent in the preparation of solutions for peritoneal dialysis. The aim of this work was to study the effect of glucose on the expression of the water channel aquaporin- 1 (AQP1) and the transcription factor TonEBP, as well as on water permeability of cells in the primary mesothelial mesentery culture of Wistar rats. The method of fluorescence microscopy with intracellular dye сalcein was used in the work. The mRNA content was evaluated by real time RT-PCR. Preincubation of cells in a DMEM medium containing glucose (2.3%, 24 hours, 37°C, 5% CO2) led to a decrease in the expression of the aqp1 gene by approx. 60% (control 0.87 ± 0.18; glucose 0.34 ± 0.12, n = 9, p < 0.05) and tonebp by 20% (control 0.37 ± 0.024; glucose 0.3 ± 0.012, n = 9, p < 0.05). A decrease by 40% in the permeability to water of the plasma membrane of peritoneal mesothelium cells after 24 h preincubation with glucose was also observed (control 7.3Е–3 ± 1.3Е–3 (sm/s), n = 27; glucose 4.3E–3 ± ± 3.8E–4 (sm/s), n = 57, p < 0.01). The results of the study indicate that glucose can have an inhibitory effec-t on the transport processes in the cells of the peritoneal mesothelium, which, with multiple exposures, can lead to structural and functional disorders of the peritoneal membrane.
About the authors
G. S. Baturina
Institute of Cytology and Genetics of Siberian Branch of the Russian Academy of Sciences; Novosibirsk State University
Author for correspondence.
Email: baturina@bionet.nsc.ru
Russia, Novosibirsk; Russia, Novosibirsk
L. E. Katkova
Institute of Cytology and Genetics of Siberian Branch of the Russian Academy of Sciences
Email: baturina@bionet.nsc.ru
Russia, Novosibirsk
E. I. Solenov
Institute of Cytology and Genetics of Siberian Branch of the Russian Academy of Sciences; Novosibirsk State University; Novosibirsk State Technical University
Email: baturina@bionet.nsc.ru
Russia, Novosibirsk; Russia, Novosibirsk; Russia, Novosibirsk
References
- Yung S, Chan TM (2012) Pathophysiological changes to the peritoneal membrane during PD-related peritonitis: the role of mesothelial cells. Mediat Inflamm 2012: 484167. https://doi.org/10.1155/2012/484167
- Yáñez-Mó M, Lara-Pezzi E, Selgas R, Ramírez-Huesca M, Domínguez-Jiménez BS, Jiménez-Heffernan JA, Aguilera A, Sánchez-Tomero JA, Bajo MA, Álvarez V, Castro MA, del Peso G, Cirujeda A Gamallo CC, Sánchez-Madrid F, López-Cabrera M (2003) Peritoneal dialysis and epithelial-to-mesenchymal transition of mesothelial cells. N Engl J Med 348: 403–413. https://doi.org/10.1056/NEJMoa020809
- Davies SJ, Bryan J, Phillips L, Russell GI (1996) Longitudinal changes in peritoneal kinetics: the effects of peritoneal dialysis and peritonitis. Nephrol Dial Transplant 11: 498–506.
- Davies SJ, Phillips L, Naish PF, Russell GI (2001) Peritoneal glucose exposure and changes in membrane solute transport with time on peritoneal dialysis. J Am Soc Nephrol 12: 1046–1051. https://doi.org/10.1681/ASN.V1251046
- Williams JD, Craig KJ, Topley N, Von Ruhland C, Fallon M, Newman GR, Mackenzie RK, Williams GT (2002) Morphologic changes in the peritoneal membrane of patients with renal disease. J Am Soc Nephrol 13: 470–479. https://doi.org/10.1681/ASN.V132470
- Schmitt CP, Bakkaloglu SA, Klaus G, Schröder C, Fischbach M (2011) Solutions for peritoneal dialysis in children: recommendations by the European Pediatric Dialysis Working Group. Pediatr Nephrol 26: 1137–1147. https://doi.org/10.1007/s00467-011-1863-4
- Ha H, Lee HB (2000) Effect of high glucose on peritoneal mesothelial cell biology. Peritoneal Dialysis Int 20 (Suppl 2): S15–S18. https://doi.org/10.1177/089686080002002S04
- Perl J, Nessim SJ, Bargman JM (2011) The biocompatibility of neutral pH, low-GDP peritoneal dialysis solutions: benefit at bench, bedside, or both? Kidney Int 79: 814–824. https://doi.org/10.1038/ki.2010.515
- Htay H, Johnson DW, Wiggins KJ, Badve SV, Craig JC, Strippoli G, Cho Y (2018) Biocompatible dialysis fluids for peritoneal dialysis. Meta-Analysis Cochrane Database Syst Rev 10: CD007554. https://doi.org/10.1002/14651858.CD007554.pub3
- Thorens B, Mueckler M (2010) Glucose transporters in the 21st Century. Am J Physiol Endocrinol Metab 298: E141–E145. https://doi.org/10.1152/ajpendo.00712.2009
- Kumar R, DuMond JF, Khan SH, Thompson EB, He Y, Burg MB, Ferraris JD (2020) NFAT5, which protects against hypertonicity, is activated by that stress via structuring of its intrinsically disordered domain. Proc Natl Acad Sci U S A 117: 20292–20297. https://doi.org/10.1073/pnas.1911680117
- Lai KN, Li FK, Lan HY, Tang S, Tsang AWL (2001) Expression of aquaporin-1 in human peritoneal mesothelial cells and its upregulation by glucose in vitro. JASN 12: 1036–1045. https://doi.org/10.1681/ASN.V1251036
- Baturina GS, Katkova LE, Schmitt CP, Solenov EI, Zarogiannis SG (2021) Comparison of Isotonic Activation of Cell Volume Regulation in Rat Peritoneal Mesothelial Cells and in Kidney Outer Medullary Collecting Duct Principal Cells. Biomolecules 11: 1452. https://doi.org/10.3390/biom11101452
- Ivanova LN, Babina AV, Baturina GS, Katkova LE (2013) Effect of vasopressin on the expression of genes for key enzymes of hyaluronan turn over in Wistar Albino Glaxo and Brattleboro rat kidneys. Exp Physiol 98: 1608–1619. https://doi.org/10.1113/expphysiol.2013.073163
- Yu D, Thelin WR, Randell SH, Boucher RC (2012) Expression profiles of aquaporins in rat conjunctiva, cornea, lacrimal gland and Meibomian gland. Exp Eye Res 103: 22. https://doi.org/10.1016/j.exer.2012.07.005
- Solenov E, Watanabe H, Manley GT, Verkman AS (2004) Sevenfold-reduced osmotic water permeability in primary astrocyte cultures from AQP-4-deficient mice, measured by a fluorescence quenching method. Am J Physiol Cell Physiol 286: 426–432. https://doi.org/10.1152/ajpcell.00298.2003
- Zarogiannis SG, Ilyaskin AV, Baturina GS, Katkova LE, Medvedev DA, Karpov DI, AP, Ershov, Solenov EI ((2013) Regulatory volume decrease of rat kidney principal cells after successive hypo-osmotic shocks. Math Biosci 2: 176–187. https://doi.org/10.1016/j.mbs.2013.05.007
- Schaefer B, Bartosova M, Macher-Goeppinger, Ujszaszi A, Wallwiener M, Nyarangi-Dix J, Sallay P, Burkhardt D, Querfeld U, Pfeifle V (2016) Quantitative Histomorphometry of the Healthy Peritoneum. Nat Publ Gr 6: 21344. https://doi.org/10.1038/srep21344
- Schaefer B, Bartosova M, Macher-Goeppinger S, Sallay P, Vörös P, Ranchin B, Vondrak K, Ariceta G, Zaloszyc A, Bayazit AK (2018) Neutral pH and low-glucose degradation product dialysis fluids induce major early alterations of the peritoneal membrane in children on peritoneal dialysis. Kidney Int 94: 419–429. https://doi.org/10.1016/j.kint.2018.02.022
- Schmitt CP, Nau B, Gemulla G, Bonzel KE, Hölttä T, Testa S, Fischbach M, John U, Kemper MJ, Sander A et al. (2013) Article Effect of the Dialysis Fluid Buffer on Peritoneal Membrane Function in Children. Clin J Am Soc Nephrol 8: 108–115. https://doi.org/10.2215/CJN.00690112
- Blake PG (2018) Is the peritoneal dialysis biocompatibility hypothesis dead? Kidney Int 94: 246–248. https://doi.org/10.1016/j.kint.2018.04.014
- Wautier JL, Schmidt AM (2004) Protein glycation: a firm link to endothelial cell dysfunction. Circ Res 95: 233–238. https://doi.org/10.1161/01.RES.0000137876.28454.64
- Tian W, Cohen DM (2001) Urea inhibits hypertonicity-inducible TonEBP expression and action. Am J Physiol Renal Physiol 280: F904–F912. https://doi.org/10.1152/ajprenal.2001.280.5.F904
- Devuyst O, Nielsen S, Cosyns JP, Smith BL, Agre P, Squifflet JP, Pouthier D, Goffin E. (1998) Aquaporin-1 and endothelial nitric oxide synthase expression in capillary endothelia of human peritoneum. Am J Physiol 275: H234–H242. https://doi.org/10.1152/ajpheart.1998.275.1.H234
- Corciulo S, Nicoletti MC, Mastrofrancesco L, Milano S, Mastrodonato M, Carmosino M, Gerbino A, Corciulo R, Russo R, Svelto M, Gesualdo L, Procino G (2019) AQP1-Containing Exosomes in Peritoneal Dialysis Effluent As Biomarker of Dialysis Efficiency. Cells 8: 330. https://doi.org/10.3390/cells8040330
- Yang B, Folkesson HG, Yang J, Matthay MA, Ma T, Verkman AS (1999) Reduced osmotic water permeability of the peritoneal barrier in aquaporin-1 knockout mice. Am J Physiol 276: C76–C81. https://doi.org/10.1152/ajpcell.1999.276.1.C76




