Assessment of radiobiological effects of γ-irradiation of barley seeds Hordeum vulgare L.
- Авторлар: Afonina S.O.1, Komarova L.N.1, Rasskazova M.M.1
-
Мекемелер:
- Obninsk Institute for Nuclear Power Engineering
- Шығарылым: Том 64, № 1 (2024)
- Беттер: 49-55
- Бөлім: Radiobiology of Plants
- URL: https://ogarev-online.ru/0869-8031/article/view/265018
- DOI: https://doi.org/10.31857/S0869803124010052
- EDN: https://elibrary.ru/NNOKHK
- ID: 265018
Дәйексөз келтіру
Толық мәтін
Аннотация
The effect of γ-irradiation (60Co) in the dose range from 2 to 50 Gy on the morphological (length of the sprout, length of the main root) and biochemical parameters (the content of photosynthetic pigments – chlorophyll a, chlorophyll b, carotenoids) of sprouts of irradiated seeds of common barley variety Vityaz was studied.
Негізгі сөздер
Толық мәтін
Анализ механизмов стрессовых реакций у растительных организмов на воздействие низкими дозами ионизирующего излучения является важной фундаментальной задачей современной радиобиологии, решение которой позволит продвинуться в понимании адаптивных реакций на слабые внешние воздействия. Изучение влияния γ-облучения семян на дальнейшее развитие растений является одним из приоритетных направлений в современной науке, так как является основной частью работы по научному обоснованию технологии предпосевного облучения семян.
Известно, что предпосевное γ-облучение семян стимулирует развитие растений в условиях солевого стресса [1].
Положительное воздействие стимулирующих доз γ-облучения на значимые хозяйственные признаки отмечали при выращивании в вегетационные сезоны, контрастные по погодным условиям. Однако слишком сухие или экстремально влажные условия могут свести до минимума стимулирующий эффект облучения семян [2].
Главным препятствием для широкого использования предпосевного облучения семян является нестабильность эффекта гормезиса как в лабораторных, так и в полевых условиях [1, 3, 4]. Несмотря на это, исследование влияния γ-облучения на сельскохозяйственные культуры внесет вклад в расшифровку адаптивных реакций растений и позволит повысить эффективность создания стрессоустойчивых сортов [4]. Стоит отметить, что сортовые отличия сельскохозяйственных культур по радиочувствительности различаются в 1.5–5.0 раз, необходимо накопление новых экспериментальных данных по изучению эффекта стимуляции при γ-облучении семян сельскохозяйственных растений различных сортов.
Поэтому целью настоящей работы была оценка влияния γ-облучения на морфологические и биохимические показатели проростков ячменя обыкновенного (Hordeum vulgare L.) сорта Витязь.
МАТЕРИАЛЫ И МЕТОДИКА
В качестве объекта исследования был выбран ячмень обыкновенный сорта Витязь, так как данный сорт характеризуется высокой адаптацией к неблагоприятным абиотическим факторам и хорошей урожайностью [5]. Схема эксперимента заключалась в следующем: воздействию облучения γ-квантами подвергались семена ячменя обыкновенного сорта Витязь, которые затем проращивали в рулонных культурах согласно ГОСТу 12038-84 [6]. Изменения изучаемых показателей исследовали на проростках ячменя. Для количественной оценки влияния ионизирующего излучения были выбраны следующие показатели: морфологические – длина проростка и главного корня; биохимические – концентрация основных фотосинтезирующих пигментов (хлорофилла a, хлорофилла b, каротиноидов). Облучение семян γ-квантами проводили на базе Медицинского радиологического научного центра им. А.Ф. Цыба ‒ филиала ФГБУ «Национальный медицинский исследовательский центр радиологии» Министерства здравоохранения Российской Федерации (МРНЦ им. А.Ф. Цыба ‒ филиал ФГБУ «НМИЦ радиологии» Минздрава России) на установке «Луч-1» (60Со) при мощности дозы 97 сГр/мин в бумажных конвертах с площадью поверхности 25 см2. В каждом конверте находилось по 30 семян, три пакета на каждую дозу γ-облучения. Серии опытов проводили 3 раза.
Диапазон исследуемых доз облучения был выбран на основании большого количества литературных данных, где было показано, что стимуляция роста проростков наблюдается в диапазоне доз от 10 до 20 Гр при мощности дозы 55–60 Гр/ч [1, 7–9]. Для наших экспериментальных исследований был выбран следующий диапазон доз – 2, 5, 10, 15, 20, 25, 50 Гр.
Проращиваемые семена выдерживали в рулонных культурах в термостате при температуре 22–24,5 оС, на 5-е сутки помещали под фитолампу Osram Fluora L 18W/77 (Германия), световой поток – 550 лм, мощность – 18 Вт. На 7-е сутки измеряли длину главного корня и ростков. На 10-е сутки проводили измерение количественного содержания фотосинтетических пигментов (хлорофилла a, хлорофилла b и каротиноидов) в ацетоновой вытяжке [10] путем пересчета оптической плотности.
Проростки отрезали и взвешивали на весах навеску массой 100 мг. Навеску помещали в керамическую ступку и растирали в течение 5–7 мин до гомогенного состояния, порционно добавляя 10 мл 100%-ного ацетона. Осадок и надосадочную жидкость количественно переносили на стеклянный фильтр, укрепленный в колбе Бунзена. Фильтрование производили с помощью водоструйного насоса. Фильтрат собирали в мерную колбу и доводили 100%-ным ацетоном до 25 мл. Экстракт помещали в кювету фотометра КФК-3-01 (Россия) толщиной 1 см. В кювету с холостой пробой наливали растворитель (100%-ный ацетон). Определение концентрации хлорофиллов и каротиноидов проводили по регистрации оптической плотности при длинах волн 470, 646 и 663 нм. Для каждой пробы проводили пять измерений.
Количественное содержание хлорофилла a (Ca) в мг/л определяли по формуле (1):
Ca = 12.21D663 – 2.81D646. (1)
Содержание хлорофилла b (Cb) в мг/л определяли по формуле (2):
Cb = 20.13D646 – 5.03D663. (2)
Содержание каротиноидов (Скар) в мг/л определяли по формуле (3):
Cкар = (1000D470 – 3.27Сa − 100Сb) / 229, (3)
где D470, D646 и D663 – оптическая плотность вытяжки при 470, 646 и 663 нм соответственно, С – концентрация пигмента в вытяжке (мг/л).
Установив концентрацию пигментов в вытяжке, определяли его содержание в исследуемой ткани с учетом объема вытяжки и массы пробы (4):
F = VC / P, (4)
где F − содержание пигмента в растительном материале (мг/г сырой массы), V − объем вытяжки (л), C − концентрация пигмента (мг/л), P − навеска растительного материала (г).
Статистический анализ данных. Оценки средних и доверительных интервалов проводили стандартными методами математической статистики. Обработка полученной информации проводилась с использованием пакета приложений Microsoft Excel 2016. Для проверки гипотезы о нормальном распределении использовали критерий Шапиро – Уилка. В ходе статистической обработки для оценки достоверности различий по морфометрическим показателям использовали параметрический критерий Стьюдента, а для оценки биохимических показателей – непараметрический расширенный критерий Манна – Уитни, так как длина вариационного ряда не превышала пяти значений в каждой повторности. Наблюдаемые различия считали статистически значимыми при уровне значимости р < 0.05. Экспериментальные данные были проверены на наличие выбросов, которые исключали из дальнейшего анализа. На диаграммах представлены средние значения и стандартные ошибки.
РЕЗУЛЬТАТЫ
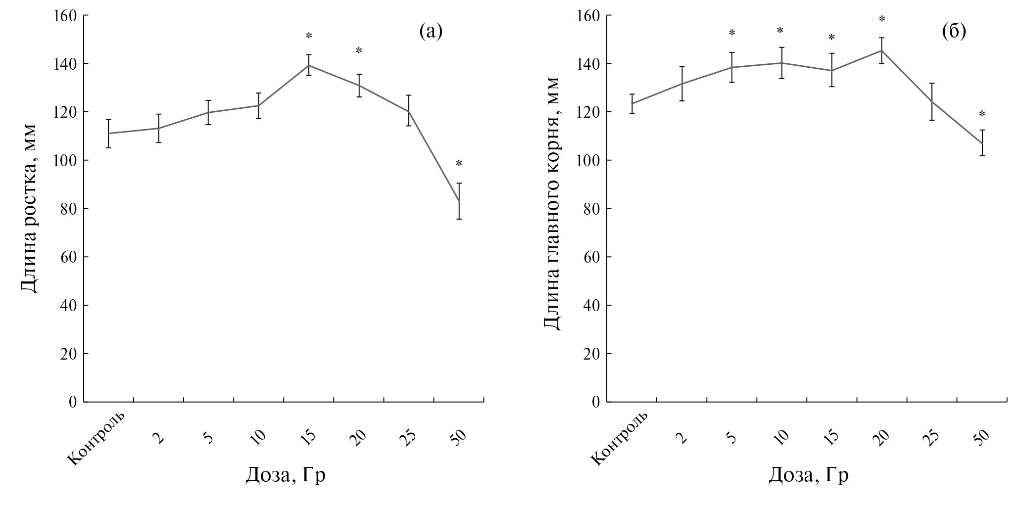
В ходе экспериментальных исследований были выявлены статистически значимые различия в длине главного корня и ростков, появившихся при прорастании облученных семян на 7 сутки после облучения (рис. 1).
Рис. 1. Зависимость длины ростков (а) и длины главного корня (б) от дозы γ-излучения облученных семян на 7-е сутки проращивания, данные приведены в виде: среднее ± SE.
* Статистически значимое отличие от контроля при р < 0.05
Fig. 1. Dependence of the length of sprouts (a) and the length of the main root (b) on the dose of γ-irradiation of irradiated seeds on the 7th day of germination, the data are given as: mean ± SE
* Statistically significant difference from control at р < 0.05
Из рис. 1, а видно, что при всех исследуемых дозах γ-облучения, кроме 50 Гр, длина ростков либо не отличается от контрольных растений, либо при действии γ-излучения в дозе 15 и 20 Гр значимо превышает контроль (максимальное увеличение длины ростка отмечено при облучении семян в дозе 15 Гр (на 31% по сравнению с контролем)), что может свидетельствовать о наличии стимулирующего эффекта. Облучение в дозе 50 Гр значимо снижает длину ростков. Эти данные свидетельствуют о том, что количество возникших повреждений меристематических клеток зародыша семени велико и отражается на способности растений к росту. Полученные данные хорошо соотносятся с результатами других исследований, выявленных при облучении злаковых растений [1, 7, 9].
На панели (б) рис. 1 показано изменение длины главного корня у проростков ячменя, облученных в тех же диапазонах доз. Видно, что в этом случае облучение семян в дозах 5–20 Гр вызывает статистически значимый прирост корня (максимальное увеличение длины главного корня на 27% по сравнению с контролем наблюдалось при облучении семян в дозе γ-облучения 20 Гр). Тогда как и в предыдущем случае ионизирующее излучение в дозе 50 Гр оказывает угнетающее действие.
Хорошо известно, что морфологические показатели растений напрямую зависят от запаса питательных веществ в семени на ранних стадиях развития, а затем от интенсивности фотосинтеза. Поэтому особый интерес представляло изучить влияние ионизирующего излучения на концентрацию фотосинтетических пигментов – хлорофилла a, хлорофилла b и каротиноидов и выявить возможную корреляцию между изменениями морфологических и биохимических показателей.
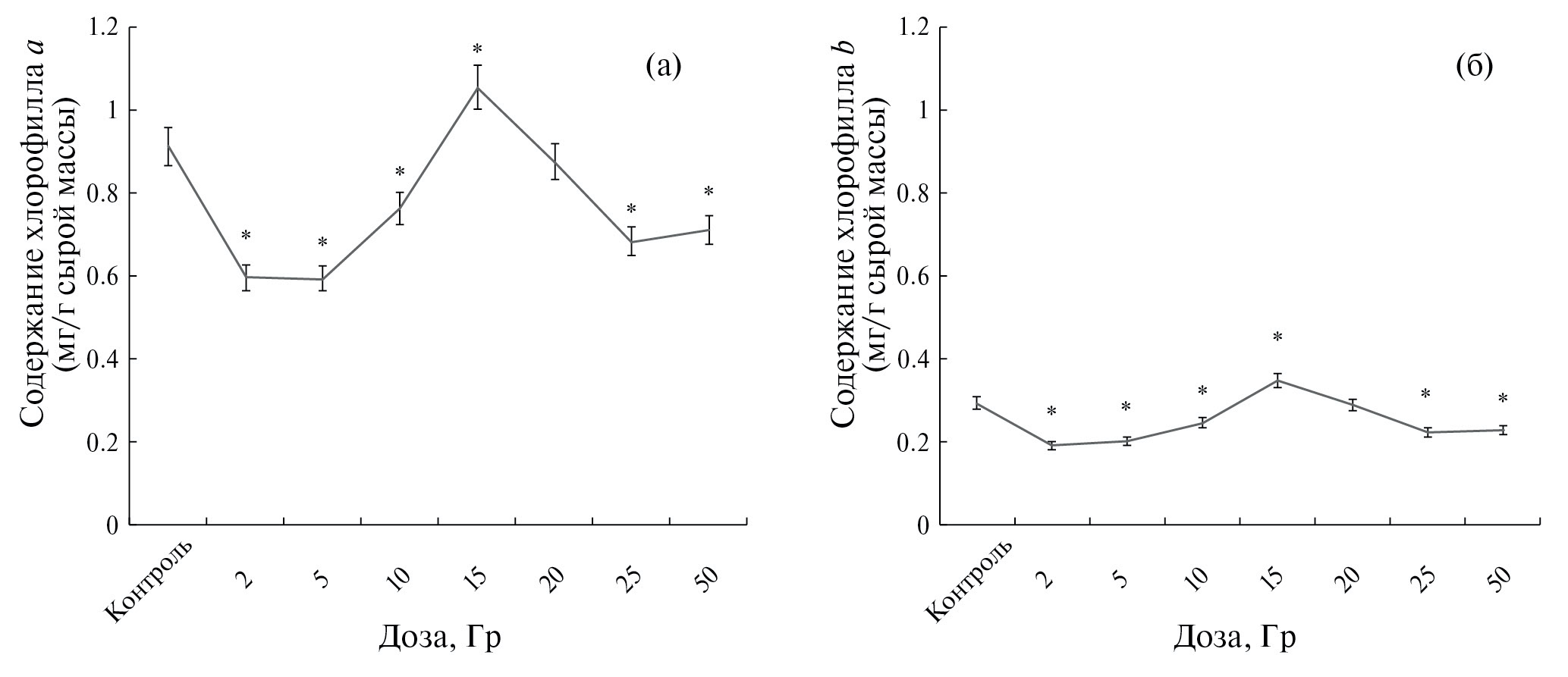
Результаты изменения концентрации фотопигментов представлены на рис. 2.
Рис. 2. Зависимость содержания хлорофилла a (а) и хлорофилла b (б) (мг/г сырой массы) от дозы γ-излучения облученных семян на 10-е сутки проращивания, данные приведены в виде: среднее ± SE.
* Статистически значимое отличие от контроля при р < 0.05.
Fig. 2. Dependence of the content of chlorophyll a (a) and chlorophyll b (b) (mg/g fresh weight) on the dose of γ-radiation of irradiated seeds on the 10th day of germination, the data are given as: mean ± SE.
* Statistically significant difference from control at р < 0.05.
По результатам исследования видно, что концентрация хлорофилла a статистически значимо снижается при облучении семян в дозах 2, 5, 10, 25 и 50 Гр, при действии ионизирующего излучения в дозе 15 Гр выявлено стимулирующее действие (рис. 2, а). Аналогичные данные получены и при изучении изменения содержания хлорофилла b от дозы излучения (рис. 2, б).
На рис. 3 представлены результаты зависимости содержания каротиноидов от дозы γ-излучения.
Рис. 3. Зависимость содержания каротиноидов (мг/г сырой массы) от дозы γ-излучения облученных семян на 10-е сутки проращивания, данные приведены в виде: среднее ± SE
* Статистически значимое отличие от контроля при р < 0.05.
Fig. 3. Dependence of the content of carotenoids (mg/g fresh weight) on the dose of γ-radiation of irradiated seeds on the 10th day of germination, the data are given as: mean ± SE.
* Statistically significant difference from control at р < 0.05.
Отмечено, что повышение концентраций пигмента наблюдается при воздействии излучения в дозе 15 и 20 Гр (рис. 3).
ОБСУЖДЕНИЕ
Данные, полученные в ходе экспериментальных исследований, позволяют сделать следующие выводы: действие γ-излучения в дозе 15 и 20 Гр значимо увеличивает длину ростков, однако увеличение длины главного корня у проростков ячменя происходит при γ-облучении в диапазоне доз от 5 до 20 Гр. Исследователи [8] предлагают связывать увеличение длины главного корня и ростка с более ранним развитием проростков ячменя, семена которых были облучены в стимулирующих дозах по сравнению с контрольными. Возможное объяснение данного эффекта связано с увеличением содержания индолилуксусной кислоты, зеатина, индолилмасляной кислоты и уменьшением концентраций абсцизовой кислоты [11]. Стоит отметить, что в диапазоне доз 4–20 Гр экспрессия генов катаболизма последнего фитогормона усиливается [12]. Помимо фитогормонов важное влияние оказывает ферментативная система, контролирующая важные метаболические пути и антиоксидантную защиту в растительных клетках. В работе [13] авторы показывают, что каталаза, гваяколовая пероксидаза, пируваткиназа и глюкозо-6-фосфатдегидрогеназы вносят вклад в эффект стимуляции роста проростков при γ-облучении в диапазоне доз 10–20 Гр.
Ионизирующее излучение может оказывать разнонаправленное действие на содержание биохимических компонентов в облученных растениях и влиять на их метаболизм [14]. Можно предположить, что при низких дозах с увеличением поглощенной дозы ионизирующего излучения увеличивается количество свободных радикалов, что является не только следствием нарушения гомеостаза, а представляет собой важный компонент фенотипической адаптации, так как активные формы кислорода (АФК) являются сигнальными молекулами при развитии стрессовой реакции у растений [15]. При облучении в дозах 5–20 Гр наблюдается эффект стимуляции, однако он не всегда повторяется, и его природа объясняется неодинаково [16]. При облучении γ-квантами в стимулирующих дозах формируются адаптационно-приспособительные признаки: модулируются антиоксидантная и фитогормональная системы, усиливается интенсивность работы пентозофосфатного пути окисления глюкозы, благодаря изменению окислительно-восстановительного гомеостаза хлоропластов увеличивается содержание хлорофиллов и каротиноидов, которые защищают структуры клеток от повреждающего действия свободных радикалов [4]. АФК косвенно изменяют клеточный метаболизм и активируют важнейшие физиологические функции, которые выражаются в интенсификации накопления ауксинов, повышении активности деления клеток меристемы зародышевых корешков и, как следствие этого, усилении роста корешков и ростков [17].
Дальнейшее увеличение поглощенной дозы ионизирующего излучения вызывает повышение концентрации ингибитора прорастания – абсцизовой кислоты, вследствие чего тормозится рост корней и проростков. В исследовании [11] показано, что γ-облучение семян ячменя сорта Нур в дозе 50 Гр вызывало накопление абсцизовой кислоты в проростках на ранних этапах онтогенеза.
У высших растений молекулы хлорофилла a и хлорофилла b входят в состав пигмент-белковых комплексов, поскольку в свободном виде, будучи сильнейшими фотосенсибилизаторами, они могут вызвать разрушение мембран тилакоидов и стромы хлоропласта за счет фотодинамического эффекта. Под действием ионизирующего излучения усиливается распад белковых комплексов, происходит растяжение тилакоидных мембран и потеря гран в хлоропластах, что приводит к уменьшению концентрации фотосинтезирующих пигментов и сдвигу в обмене веществе в целом [4, 18].
ЗАКЛЮЧЕНИЕ
Таким образом, в ходе проведенного исследования выявлено стимулирующее действие γ-облучения в дозах 15 и 20 Гр на длину ростка ячменя обыкновенного сорта Витязь, на длину корня стимулирующее действие γ-облучения выявлено в диапазоне доз 5–20 Гр. Анализ содержания хлорофиллов a и b выявил повышение концентраций у проростков облученных семян в дозе 15 Гр. По содержанию каротиноидов стимулирующими дозами γ-облучения являлись 15 и 20 Гр. Наблюдаемые в настоящей работе эффекты хорошо согласуются с данными, полученными другими авторами на других сортах ячменя. Безусловно, необходимо продолжать исследования механизмов формирования эффекта гормезиса, преимущественно на генетическом уровне, так как не существует единой концепции формирования данного феномена.
Вклад авторов: все авторы внесли эквивалентный вклад в подготовку публикации.
Contribution of the authors: the authors contributed equally to this article.
Конфликт интересов. Авторы декларируют отсутствие явных и потенциальных конфликтов интересов, связанных с публикацией статьи.
Conflict of interests. The authors declare no conflicts of interests.
Авторлар туралы
Svetlana Afonina
Obninsk Institute for Nuclear Power Engineering
Хат алмасуға жауапты Автор.
Email: astakhina@list.ru
ORCID iD: 0000-0003-3776-1703
Ресей, Obninsk
Liudmila Komarova
Obninsk Institute for Nuclear Power Engineering
Email: komarova_l411@mail.ru
ORCID iD: 0000-0003-0491-4486
Ресей, Obninsk
Marina Rasskazova
Obninsk Institute for Nuclear Power Engineering
Email: rassmarina@mail.ru
Ресей, Obninsk
Әдебиет тізімі
- Джафаров Э.С. Предпосевное гамма-облучение семян как фактор, стимулирующий развитие растений в солевых условиях. В кн.: Актуальные проблемы радиационной биологии: Материалы конференции (Дубна, 25–27 октября 2022 г.). Дубна: ОИЯИ, 2022: 30–34. [Dzhafarov E.S. Predposevnoe gamma-obluchenie semyan kak faktor, stimuliruyushchij razvitie rastenij v solevyh usloviyah = Pre-sowing gamma irradiation of seeds as a factor stimulating plant development in saline conditions. Aktual’nye problemy radiacionnoj biologii: Materialy konferencii (Dubna, 25–27 oktyabrya 2022 g.). Dubna: OIYAI, 2022: 30–34. (In Russ.)]
- Чурюкин Р.С., Гераськин С.А. Проявление эффекта гормезиса у растений ячменя (Нordeum vulgare L.) в контрастных условиях произрастания при γ-облучении семян. Сельскохозяйственная биология. 2017;52(4):820–829. [Churyukin R.S., Geras’kin S.A. Hormesis in barley (Hordeum vulgare L.) plants derived from g-irradiated seeds under contrasting wether conditions. Agricultural Biology. 2017;52(4):820–829. (In Russ.)]. https://doi.org/10.15389/agrobiology.2017.4.820rus
- Чурюкин Р.С., Гераськин С.А. Влияние облучения семян ячменя на развитие растений на ранних этапах онтогенеза. Радиация и риск. 2013; 22(3):80–92. [Churyukin R.S., Geras’kin S.A. Effect of γ-irradiation on development of barley seeds in early stages of ontogeny. Radiation and Risk. 2013;22(3):80–92. (In Russ.)]
- Волкова П.Ю. Адаптивные реакции растений на действие ионизирующего излучения в низких дозах: Дис. … д-ра биол. наук. Обнинск, ФГБНУ ВНИИРАЭ, 2020. [Volkova P.Yu. Adaptivnye reakcii rastenij na dejstvie ioniziruyushchego izlucheniya v nizkih dozah = Adaptive responses of plants to the action of ionizing radiation in low doses: Dis. … d-ra biol. nauk = Dissertation Dr. Biol. Sci. Obninsk, RIRAE, 2020. (In Russ.)]
- Глуховцев В.В., Абрамов Т.В., Столпивская Е.В. и др. Авторское свидетельство 42777 РФ, Ячмень яровой Витязь, №9610340 заявлено 10.12.2003, опубликовано 13.07.2010. [Gluhovcev V.V., Abramov T.V., Stolpivskaya E.V., Muhtulova A.S., Carevskij S.Yu. Avtorskoe svidetel’stvo 42777 RF, Yаchmen’ yarovoj Vityaz’, №9610340 zayavleno 10.12.2003, opublikovano 13.07.2010. (In Russ.)]
- ГОСТ 12038-84 Семена сельскохозяйственных культур. Методы определения всхожести (с Изменениями N 1, 2). [GOST 12038-84. Agricultural seeds. Methods for determination of germination (In Russ.)]
- Чурюкин Р.С. Закономерности формирования биологических эффектов при γ-облучении семян ячменя: Автореф. дис. … канд. биол. наук. Обнинск: ФГБНУ ВНИИРАЭ, 2017. [Churyukin R.S. Zakonomernosti formirovaniya effektov pri γ-obluchenii semyan yachmenya = Patterns of formation of biological effects during γ-irradiation of barley seeds: Avtoref. dis. ... kand. biol. nauk = Ph. D. Biol. Sci. Thesis. Obninsk: RIRAE, 2017. (In Russ.)]
- Гераськин С.А., Чурюкин Р.С., Казакова Е.А. Модификация развития ячменя на ранних этапах онтогенеза при воздействии γ-облучения на семена. Радиац. биология. Радиоэкология. 2015;55(6):607–615. [Geras’kin S.A., Churukin R.S, Kazakova E.A. Modification of Barley Development at Early Stages after Exposure of Seeds to γ-Irradiation. Radiation Biology. Radioecology. 2015;55(6):607–615. (In Russ.)]. https://doi.org/10.7868/S0869803115060065
- Казакова Е.А., Макаренко Е.С., Подлуцкий М.С. и др. Радиочувствительность сортов озимого и ярового ячменя по выраженности морфологического эффекта низкодозового гамма-облучения оригинальных семян. Зерновое хозяйство России. 2020;(2):23–28. [Kazakova Е.А., Makarenko Е.S., Podlutsky М.S. et al. Radio Sensitivity of the winter and spring barley varieties according to the morphological effect of low-dose gamma irradiation on the original seeds. Grain Economy of Russia. 2020;(2):23–28. (In Russ.)]. https://doi.org/10.31367/2079-8725-2020-68-2-23-28
- Шубина А.Г. Содержание хлорофилла и каротиноидов в листьях одуванчика лекарственного (Taraxacum Officinale) и березы повислой (Betula Pendula Roth), растущих в г. Тамбове. Вестн. Томского гос. ун-та. 2011;16(1):353–355. [Shubina A.G. Contents of chlorophyll and carotenoids in dandelion les drug leaves (Taraxacum officinale) and silver birch (Betula pendula Roth), growing in Tambov. Tomsk State University Journal. 2011;16(1):353–355. (In Russ.)]
- Bitarishvili S.V., Volkova P.Yu., Geras’kin S.A. γ-irradiation of barley seeds and its effect on the phytohormonal status of seedlings. Rus. J. Plant Physiol. 2018;65(3):446–454. https://doi.org/10.1134/S1021443718020024
- Битаришвили С.В., Бондаренко В.С., Гераськин С.А. Влияние γ-облучения на экспрессию генов, кодирующих ферменты метаболизма абсцизовой кислоты в зародышах семян ячменя. Экол. генетика. 2018;16(4):85–89. [Bitarishvili S.V., Bondarenko V.S., Geras’kin S.A. Influence of γ-irradiation on the expression of encoding ABA metabolism enzymes in barley embryos. Ecological genetics. 2018;16(4):85–89. (In Russ.)]. https://doi.org/10.17816/ecogen16485-89
- Волкова П.Ю., Чурюкин Р.С., Гераськин С.А. Влияние гамма-облучения семян на активность ферментов в проростках ячменя. Радиац. биология. Радиоэкология. 2016;56(2):190–196. [Volkova P.Yu., Churyukin R.S., Geras’kin S.A. Influence of γ-irradiated seeds on the enzyme activity in barley seedlings. Radiation Biology. Radioecology. 2016;56(2):190–196. (In Russ.)]. https://doi.org/10.7868/S0869803116020144
- Jan S., Parween T., Siddiqi T.O. Effect of gamma radiation on morphological, biochemical, and physiological aspects of plants and plant products. Environ. Rev. 2012;20(1):17–39. https://doi.org/10.1139/a11-021
- Ерофеева Е.А. Гормезис и парадоксальные эффекты у растений в условиях автотранспортного загрязнения и при действии поллютантов в эксперименте: Дис. … д-ра биол. наук. Нижний Новгород: ННГУ им. Н.И. Лобачевского, 2016. [Erofeeva E.A. Gormezis i paradoksal’nye effekty u rasteniy v usloviyah avtotransportnogo zagryazneniya i pri dejstvii pollyutantov v eksperimente = Hormesis and paradoxical effects in plants under conditions of motor vehicle pollution and under the influence of pollutants in an experiment: Dis. … d-ra biol. nauk = Dissertation Dr. Biol. Sci. Nizhnij Novgorod, Lobachevsky University, 2016. (In Russ.)].
- Левин В.И. Агроэкологические эффекты воздействия на семена растений электромагнитных полей различной модальности: Автореф. дис. … д-ра с.-х. наук. М.: Рязанская Государственная сельскохозяйственная академия им. П.А. Костычева, 2000. [Levin V.I. Agroekologicheskie effekty vozdeystviya na semena rastenii elektromagnitnyh polej razlichnoj modal’nosti = Agroecological effects of exposure of plant seeds to electromagnetic fields of various modalities: Avtoref. dis. ... d-ra biol. nauk = Dr. Biol. Sci. Thesis. М.: Ryazan State Agricultural Academy P.A. Kostycheva, 2000. (In Russ.)].
- Гагаринский Е.Л., Филимонов В.В., Касаткин М.Ю. Влияние осмотического стресса на развитие проростков мягкой пшеницы. Бюл. Ботанического сада Саратовского гос. ун-та. 2014;12:162–171. [Gagarinsky E.L., Filimonov V.V., Kasatkin M.Yu. Influence of osmotic stress on wheat seedlings development. Bulletin of Botanic Garden of Saratov State University. 2014;12:162–171. (In Russ.)].
- Aly A.A., Eliwa N.E., Maraei R.W. Physiological and molecular studies on ISSR in two wheat cultivars after exposing to gamma radiation. Scienceasia. 2019;45(5):436–445. doi: 10.2306/scienceasia1513-1874.2019.45.436
Қосымша файлдар




