Зависимость частоты транслокаций в лимфоцитах КРОВИ от дозы и возраста на начало облучения у жителей прибрежных сел реки Теча
- Авторы: Толстых Е.И.1, Возилова А.В.1, Дегтева М.О.1, Аклеев А.В.1,2
-
Учреждения:
- Уральский научно-практический центр радиационной медицины Федерального медико-биологического агентства Российской Федерации
- Челябинский государственный университет
- Выпуск: Том 63, № 2 (2023)
- Страницы: 115-127
- Раздел: Изучение последствий радиационных аварий
- URL: https://ogarev-online.ru/0869-8031/article/view/137669
- DOI: https://doi.org/10.31857/S086980312302011X
- EDN: https://elibrary.ru/EPDGBB
- ID: 137669
Цитировать
Полный текст
Аннотация
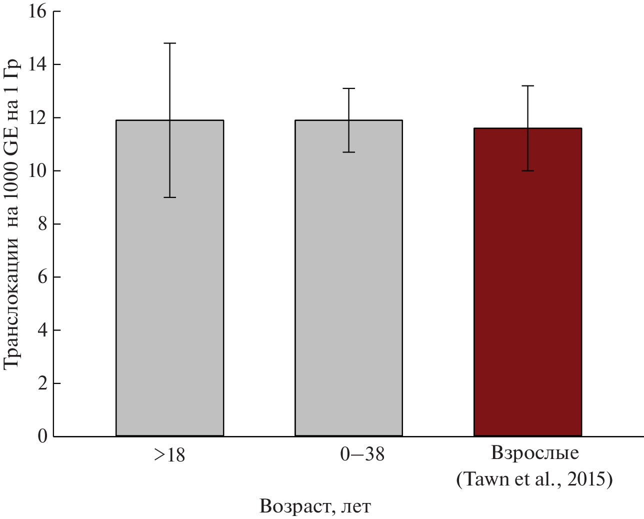
Оценка влияния возраста на частоту радиационно-индуцируемых транслокаций, регистрируемых методом FISH в циркулирующих в Т-лимфоцитах в отдаленный период после облучения, имеет как теоретический, так и практический интерес для целей биодозиметрии. Целью нашей работы был анализ дозовой зависимости частоты транслокаций в Т-лимфоцитах периферической крови у доноров различного возраста, подвергшихся облучению в прибрежных селах р. Теча (n = 197). В цитогенетических исследованиях использовали цельно-хромосомные зонды для окрашивания трех пар хромосом. Всего было просчитано 104 721 геном-эквивалентов (GE) и обнаружено 2540 транслокаций. Для каждого донора индивидуальные дозы облучения, поглощенные в органах и тканях к моменту забора крови, были рассчитаны с использованием дозиметрической системы р. Теча. Кроме того, были рассчитаны дозы на Т-лимфоциты и их предшественников с использованием оригинального модельного подхода с учетом возрастной динамики Т-лимфоцитов; именно с этими дозами были связаны возрастные зависимости частоты транслокаций. Основными источниками облучения доноров были 89,90Sr, накапливающиеся в кости и практически локально облучающие костный мозг. Для оценки параметров зависимости доза–эффект использовали линейную регрессионную модель. После учета фоновых значений наименьшая частота транслокаций на 1000 GE на Гр была выявлена у доноров в возрасте 0–5 лет на момент облучения (9.3 ± 1.3), что статистически значимо ниже, чем у детей 6–18 лет (15.3 ± 1.5), но не у взрослых (11.9 ± 2.9). Значение для взрослых (>18 лет) характеризовалось максимальным разбросом, но оказалось близким к величинам, полученным в международном исследовании профессионалов после внешнего облучения (11.6 ± 1.6). Значения фоновых частот транслокаций, определенных в различных возрастных группах, соответствуют опубликованным значениям, полученным в объединенном международном исследовании по необлученным донорам. Мы также подтвердили отсутствие влияние пола на частоту транслокаций.
Ключевые слова
Об авторах
Е. И. Толстых
Уральский научно-практический центр радиационной медициныФедерального медико-биологического агентства Российской Федерации
Автор, ответственный за переписку.
Email: evgenia.tolstykh@yandex.ru
Россия, Челябинск
А. В. Возилова
Уральский научно-практический центр радиационной медициныФедерального медико-биологического агентства Российской Федерации
Email: evgenia.tolstykh@yandex.ru
Россия, Челябинск
М. О. Дегтева
Уральский научно-практический центр радиационной медициныФедерального медико-биологического агентства Российской Федерации
Email: evgenia.tolstykh@yandex.ru
Россия, Челябинск
А. В. Аклеев
Уральский научно-практический центр радиационной медициныФедерального медико-биологического агентства Российской Федерации; Челябинский государственный университет
Email: evgenia.tolstykh@yandex.ru
Россия, Челябинск; Россия, Челябинск
Список литературы
- Tucker J.D. Low-dose ionizing radiation and chromosome translocations: a review of the major considera-tions for human biological dosimetry // Mutat. Res. 2008. V. 659. № 3. P. 211–20. https://doi.org/10.1016/j.mrrev.2008.04.001
- Vorobtsova I., Semenov A., Timofeyeva N. et al. An investigation of the age-dependency of chromosome abnormalities in human populations exposed to low-dose ionising radiation // Mech. Ageing Dev. 2001. V. 122. № 13. P. 1373–82. https://doi.org/10.1016/s0047-6374(01)00275-5
- Sigurdson A.J., Ha M, Hauptmann M., Bhatti P. et al. International study of factors affecting human chromosome translocations // Mutat. Res. 2008. V. 652. № 2. P. 112–21. https://doi.org/10.1016/j.mrgentox.2008.01.005
- Rube C.E., Fricke A., Widmann T.A. et al. Accumulation of DNA Damage in Hematopoietic Stem and Progenitor Cells during Human Aging // PLoS ONE. 2011. V. 6. № 3. P. e17487. https://doi.org/10.1371/journal.pone.0017487
- Tawn E.J., Curwen G.B., Jonas P. et al. Chromosome Aberrations Determined by FISH in Radiation Workers from the Sellafield Nuclear Facility // Radiat. Res. 2015. V. 184. № 3. P. 296–303. https://doi.org/10.1667/RR14125.1
- Sotnik N.V., Osovets S.V., Scherthan H., Azizova T.V. mFISH analysis of chromosome aberrations in workers occupationally exposed to mixed radiation // Radiat. Environ. Biophys. 2014. V. 53. № 2. P. 347–54. https://doi.org/10.1007/s00411-014-0536-7
- Vozilova A.V., Shagina N.B., Degteva M.O. et al. Preli-minary FISH-based assessment of external dose for residents exposed on the Techa River // Radiat. Res. 2012. V. 177. № 1. P. 84–91. https://doi.org/10.1667/rr2485.1
- Vozilova A.V., Shagina N.B., Degteva M.O. et al. FISH analysis of translocations induced by chronic exposure to Sr radioisotopes: second set of analysis of the Techa River Cohort // Radiat. Prot. Dosim. 2014. V. 159. № 1–4. P. 34–37. https://doi.org/10.1093/rpd/ncu131
- Дегтева М.О. Шишкина Е.А., Толстых Е.И. и др. Использование методов ЭПР и FISH для реконструкции доз у людей, облучившихся на реке Теча // Радиац. биология. Радиоэкология. 2017. Т. 57. № 1. С. 34–45. [Degteva M.O., Shishkina E.A., Tolstykh E.I. et al. Application of the EPR and FISH Methods to Dose Reconstruction for People Exposed in the Techa River Area // Radiats. Biol. Radioecol. 2017. V. 57. № 1. P. 34–45. (In Russ.)] PMID: 30698929
- Толстых Е.И., Возилова А.В., Дегтева М.О. и др. Концепция Т-клеточного рода как основа для анализа результатов цитогенетических исследований при локальном облучении костного мозга // Радиац. биология. Радиоэкология. 2020. Т. 60. № 1. С. 12–25. [Tolstykh E.I., Vozilova A.V., Degteva M.O. et al. Concept of T-Cell Genus as the Basis for the Analysis of FIsh Results after Local Bone Marrow Exposure // Radiats. Biol. Radioecol. 2020. V. 60. № 1. P. 12–25 (In Russ.)]. https://doi.org/10.31857/S0869803121040111
- Tolstykh E.I., Degteva M.O., Vozilova A.V., Anspaugh L.R. Local bone-marrow exposure: how to interpret the data on stable chromosome aberrations in circulating lymphocytes? (some comments on the use of FISH method for dose reconstruction for Techa riverside Residents) // Radiat. Environ. Biophys. 2017. V. 56. № 4. P. 389–403. https://doi.org/10.1007/s00411-017-0712-7
- Толстых Е.И., Дегтева М.О., Возилова А.В., Аклеев А.В. Подходы к цитогенетической оценке дозы при радиационном воздействии на лимфоидную ткань кишечника // Радиац. биология. Радиоэкология. 2021. Т 61. № 4. С. 339–352. [Tolstykh E.I., Degteva M.O., Vozilova A.V., Akleyev A.V. Approaches to the Cytogenetic Assessment of the Dose due to Radiation Exposure of the Gut Associated Lymphoid Tissue // Radiats. Biol. Radioecol. 2021. V. 61. № 4. P. 339–352 (In Russ.)]. https://doi.org/10.31857/S0869803121040111]
- Giussani A., Lopez M.A., Romm H. et al. Eurados review of retrospective dosimetry techniques for internal exposures to ionising radiation and their applications // Radiat. Environ. Biophys. 2020. V. 59. № 3. P. 357–387. https://doi.org/10.1007/s00411-020-00845-y
- Толстых Е.И., Дегтева М.О., Кривощапов В.А., Напье Б.А. Метод оценки индивидуальных значений поступления 90Sr с рационом на основе измерений зубного датчика у жителей прибрежных сел р. Теча. // Вопр. радиац. безопасности. 2019. Т. 93. № 4. С. 55–63 [Tolstykh E.I., Degteva M.O., Krivoshchapov V.A., Napier B.A. Metod otsenki individual’nykh znacheniy postupleniya 90Sr s ratsionom na osnove izmereniy zubnogo datchika u zhiteley pribrezhnykh sol r. Techa // Voprosy radiatsionnoy bezopasnosti. 2019. V. 93. № 4. P. 55–63 (In Russ.)]
- Bauchinger M., Salassidis K., Braselmann H. et al. FISH-based analysis of stable translocations in a Techa River population // Int. J. Radiat. Biol. 1998. V. 73. № 6. P. 605–12. https://doi.org/10.1080/095530098141852
- Degteva M.O., Napier B.A., Tolstykh E.I. et al. Enhancements in the Techa River Dosimetry System: TRDS-2016D Code for Reconstruction of Deterministic Estimates of Dose From Environmental Exposures // Health Phys. 2019. V. 117. № 4. P. 378–387. https://doi.org/10.1097/HP.0000000000001067
- Дегтева M.O., Шагина Н.Б., Воробьева М.И. и др. Современное представление о радиоактивном загрязнении реки Теча в 1949–1956 гг. // Радиац. биология. Радиоэкология. 2016. Т. 56. № 5. С. 523–534. [Degteva M.O., Shagina N.B., Vorobiova M.I. et al. Contemporary Understanding of Radioactive Conta-mination of the Techa River in 1949–1956 // Radiats. Biol. Radioecol. 2016. V. 56. № 5. P. 523–534 (In Russ.)] PMID: 30703313. https://doi.org/10.7868/S0869803116050039
- Bains I. Mathematical Modelling of T Cell Homeostasis: A thesis submitted for the degree of Doctor of Philosophy of the University College London, 2010. http://discovery.ucl.ac.uk/20159/1/20159.pdf.
- Bains I., Yates A.J., Callard R.E. Heterogeneity in thymic emigrants: implications for thymectomy and immunosenescence // PLoS One. 2013. V. 8. № 2. P. e49554. https://doi.org/10.1371/journal.pone.0049554
- Hirosoft. Epicure: Fast, interactive software for the analysis of medical, public health, epidemiologic, econometric, and reliability data V. 2.10. Seattle, WA: Hirosoft International Corporation, 1998.
- Tolstykh E.I., Degteva M.O., Vozilova A.V. et al. Interpretation of FISH results in the case of nonuniform internal radiation exposure of human body with the use of model approach // Russian J. Genet. 2019. V. 55. № 10. P. 1227–1233. https://doi.org/10.1134/S1022795419100132
- Napier B.A., Degteva M.O., Shagina N.B., Anspaugh L.R. Uncertainty analysis for the Techa River Dosimetry System // Med. Radiol. Radiat. Saf. 2013. V. 58. P. 5–28 (in Engl. and Russ.)
- Yates A., Chan C.C., Callard R.E. et al. An approach to modelling in immunology // Brief Bioinform. 2001. V. 2. № 3. P. 245–257. https://doi.org/10.1093/bib/2.3.245
- Ye P., Kirschner D.E. Measuring emigration of human thymocytes by T-cell receptor excision circles // Crit. Rev. Immunol. 2002. V. 22. № 5–6. P. 483–497. PMID: 12803323
- Hazenberg M.D., Otto S.A., van Rossum A.M. et al. Establishment of the CD4+ T-cell pool in healthy children and untreated children infected with HIV-1 // Blood. 2004. V. 104. № 12. P. 3513–3519. https://doi.org/10.1182/blood-2004-03-0805
- De Boer R.J., Perelson A.S. Quantifying T lymphocyte turnover // J. Theor. Biol. 2013. V. 327. P. 45–87. https://doi.org/10.1016/j.jtbi.2012.12.025
- Gomolka M., Oestreicher U., Rößler U. et al. Age-dependent differences in DNA damage after in vitro CT exposure // Int. J. Radiat. Biol. 2018. V. 94. № 3. 272–281. https://doi.org/10.1080/09553002.2018.1419302
- Ariyoshi K., Miura T., Kasai K. et al. Age Dependence of Radiation-Induced Genomic Instability in Mouse Hematopoietic Stem Cells // Radiat. Res. 2018. V. 190. № 6. P. 623–633. https://doi.org/10.1667/RR15113.1
- Kovalchuk I.P., Golubov A., Koturbash I.V. et al. Age-dependent changes in DNA repair in radiation-exposed mice // Radiat. Res. 2014. V. 182. № 6. P. 683–694. https://doi.org/10.1667/RR13697.1
- Vandevoorde C., Vral A., Vandekerckhove B. et al. Radiation Sensitivity of Human CD34(+) Cells Versus Peripheral Blood T Lymphocytes of Newborns and Adults: DNA Repair and Mutagenic Effects // Radiat. Res. 2016. V. 185. № 6. P. 580–90. https://doi.org/10.1667/RR14109.1





