Hydrochemical features of the Tuzlov River as an indicator of the consequences of industrial and agricultural activities in Eastern Donbass (Rostov-on-Don Region, Russia)
- Authors: Sazonov A.D.1,2, Zakrutkin V.E.2
-
Affiliations:
- Hydrochemical Institute of Roshydromet
- Southern Federal University, Institute of Earth Sciences
- Issue: No 1 (2024)
- Pages: 73-82
- Section: ENVIRONMENT CONTAMINATION
- URL: https://ogarev-online.ru/0869-7809/article/view/260048
- DOI: https://doi.org/10.31857/S0869780924010084
- EDN: https://elibrary.ru/GNRELZ
- ID: 260048
Cite item
Full Text
Abstract
The spatial and temporal variability of solute transport, chemical composition and water quality in the Tuzlov River basin for the period 2003–2019 has been considered. The purpose of this study was to consider the Tuzlov basin as an indicator of the consequences of economic activity in the territory of Eastern Donbass. The results obtained on the transport of dissolved substances in the upper part of the basin showed an increase in the transport of major ions, on the contrary, a decreasing trend in the transport of copper, zinc and phosphorus phosphate compounds. Further, the variability of water chemistry in the middle section of the basin, as well as at the observation sites above and below Novocherkassk was considered. In the middle reaches, the increase in the content of major ions continued, and a sharp increase in the concentration of phosphorus phosphate was recorded. The tendency to reduction of copper and zinc compounds remained the same. Below Novocherkassk — at the closing site of hydrochemical observations — the content of phosphorus phosphates, copper and zinc compounds increased to the greatest extent. Water quality during the period under consideration remained at the level of class 4 (“dirty”), its spatial and temporal variability was insignificant. Based on the results obtained, conclusions were made about the leading role of the consequences of coal mining in the increase in the content of major ions (primarily due to sulfate ions) and total iron compounds in water. At the same time, agricultural activities in the catchment lead to a decrease in the content of copper, zinc and phosphorus phosphate compounds in water. However, at the most urbanized Tuzlov River site in the city of Novocherkassk, the content of these components in water increased significantly. The results of the study may be useful in planning conservation measures in the studied area.
Full Text
ВВЕДЕНИЕ
Восточный Донбасс — крупная природно-техногенная геохимическая провинция на Юге России. На протяжении десятков лет здесь велась угледобыча, что не могло не оставить серьезных последствий для окружающей среды. Реструктуризация большинства угольных шахт Ростовской обл. в 1990-е годы только усилила проявление неблагоприятных явлений, что подтверждается многочисленными исследованиями [4]. При этом наиболее высокую антропогенную нагрузку испытывают поверхностные и подземные воды. Под влиянием угледобывающей деятельности изменяется не только химический состав вод, но и характер питания рек. В частности, происходит усиление роли подземного питания. Поверхностные и подземные воды становятся близки по своему химическому составу и теряют свою пригодность для хозяйственных и питьевых нужд.
Изучение происходящих на подобных территориях процессов требует детального рассмотрения изменчивости параметров отдельных объектов окружающей среды. В первую очередь, речь идет о речных системах, особенно малых и средних рек, которые являются важными индикаторами эколого-геохимических процессов на обширных водосборных площадях. В качестве такого объекта выступает бассейн р. Тузлов, расположенный на территории Восточного Донбасса и испытывающий колоссальную нагрузку, как от последствий угледобывающих предприятий, так и в результате интенсивной сельскохозяйственной деятельности на водосборе [7, 13].
Тузлов — река степной зоны Юга России, протекающая в юго-западной части Ростовской обл. в пределах Приазовской природно-сельскохозяйственной зоны. Ее длина составляет 182 км, а площадь водосборного бассейна достигает 4680 км2. Река берет начало на южном склоне Донецкого кряжа и впадает в Проток Аксай — приток р. Дон в ее нижнем течении (рис. 1). Бассейн реки асимметричен и представлен левобережными притоками: реки Крепкая, Большой Несветай, Грушевка, Кадамовка и др. [9].
Рис. 1. Схема бассейна р. Тузлов.
Бассейн р. Тузлов расположен в Шахтинском и Новошахтинском углепромышленных районах Восточного Донбасса. В результате затопления нерентабельных шахт трансформировался гидролого-гидрохимический режим реки [3, 4]. Как видно из табл. 1 в течение последних десятилетий поступление шахтных вод и некоторых растворенных в них веществ увеличивалось.
Таблица 1. Объем поступления шахтных вод (W) и растворенных химических веществ (DC) в Восточном Донбассе [3]
Год | W, млн м3/год | DC, тыс. т в год | ||||
SO4 | Cl | Ca | Mg | Fe | ||
1966 | 75 | 131 | 34 | 7.3 | 16 | 0.1 |
1992 | 90 | 155 | 63 | 18 | 13 | 0.3 |
1999 | 45 | 66 | 17 | 7 | 6 | 0.3 |
2002 | 72 | 170 | 32 | 16 | 18 | 3.3 |
2006 | 73 | 204 | 23 | 22 | 19 | 6.0 |
2010 | 78 | 211 | 33 | 28 | 20 | 2.7 |
2015 | 79 | 222 | 27 | 23 | 21 | 2.7 |
Сельскохозяйственная деятельность, осуществляемая на водосборе Тузлова, в наибольшей степени проявлена в преобразовании почвенного покрова. Большая часть речного бассейна занята пашнями. Нарушение естественных приповерхностных почвенных горизонтов приводит к деградации процессов естественной инфильтрации, возрастанию интенсивности водной и ветровой эрозии, в результате чего может происходить обмеление рек бассейна.
В целом можно заключить, что бассейн р. Тузлов испытывает мощное антропогенное воздействие, которое не могло не сказаться на высоком уровне загрязненности речных вод [6, 10].
Цель исследования заключалась в рассмотрении пространственно-временной изменчивости переноса химических веществ, химического состава и качества воды в бассейне р. Тузлов в качестве индикатора антропогенного воздействия на территорию Восточного Донбасса.
МАТЕРИАЛЫ И МЕТОДЫ ИССЛЕДОВАНИЯ
В ходе проведения исследования были использованы гидрохимические данные, полученные с пунктов наблюдений, расположенных поблизости от с. Несветай и г. Новочеркасск (выше и ниже города). Материалами настоящего исследования послужили первичная гидрохимическая информация государственной наблюдательной сети Росгидромета, а также гидрологическая информация из Автоматизированной информационной системы государственного мониторинга водных объектов и базы данных водного режима рек Европейской территории России.
Был проведен расчет поверхностного гидрохимического стока (за 2003–2019 гг.) в пункте наблюдений с. Несветай для следующих химических компонентов: главных ионов (по сумме), биогенных элементов (кремния, фосфора фосфатов, аммонийного и нитритного азота), металлов (соединений железа общего, цинка и меди). Расчет переноса растворенных веществ проводился по данным пункта наблюдений с. Несветай прямым способом по формуле [15]:
G = ∑WiCi, (1)
где G — количество перенесенного вещества за расчетный период, т или тыс. т; m — число интервалов расчетного периода; Wi — объем стока воды за i-й интервал расчетного периода, км3; Ci — средняя концентрация вещества за i-й интервал расчетного периода, мг/дм3. При расчете нормативного стока Ci — предельно допустимая концентрация определяемого компонента, мг/дм3 [12].
Для химических компонентов с четко выраженными тенденциями переноса рассмотрена многолетняя пространственно-временная изменчивость их концентрации в воде. Также проведена комплексная оценка степени загрязненности воды реки по гидрохимическим показателям для пунктов наблюдений по общепринятому методу [14]. Проведен сравнительный анализ полученных результатов на основе временной и пространственной изменчивости показателя удельного комбинаторного индекса загрязненности воды (УКИЗВ) [14].
РЕЗУЛЬТАТЫ И ИХ ОБСУЖДЕНИЕ
Перенос растворенных веществ в верхнем участке бассейна Тузлова, как видно на рис. 2, в случае главных ионов (по сумме) в значительной степени зависел от водности реки. В периоды резкого его увеличения/снижения наблюдалось аналогичное изменение их переноса. Прослеживалось превышение нормативного переноса, что, прежде всего, связано с высоким содержанием в воде реки сульфатов, многократно превышающих уровень ПДК.
Рис. 2. Динамика переноса главных ионов (по сумме).
Высокое содержание сульфатов в воде р. Тузлов обусловлено их поступлением с техногенными шахтными водами, дренирующими угленосные отложения, в которых широко распространены сульфидные соединения. В результате их окисления образуются сульфаты, которыми обогащены как техногенные шахтные, так и поверхностные воды бассейна. Многолетними наблюдениями подтверждается увеличение выноса на поверхность сульфатов с шахтными водами в пределах Восточного Донбасса (см. табл. 1) [3, 11].
При рассмотрении временной изменчивости концентрации большинства главных ионов заметно, что их содержание в воде реки несоразмерно изменениям водного стока (табл. 2). В целом для большинства главных ионов было характерно увеличение их содержания в воде.
Таблица 2. Изменение средних значений объемов годового водного стока (W) и содержания главных ионов (I) в р. Тузлов (с. Несветай)
Период | W, км3 | I, мг/дм3 | ||||||
Катионы | Анионы | Σ I | ||||||
Ca | Mg | Na+K | HCO3 | SO4 | Cl | |||
1953–1957 (условный фоновый период) | 0.077 | 136.4 | 87.72 | 255.6 | 332.3 | 613.2 | 228.8 | 1645 |
2005–2009 | 0.076* +1.3% | 150.7 +11% | 112.3 +28% | – | 250.2 –24% | 1052 +71% | 265.9 +16% | 2236 +36% |
2010–2014 | 0.066 –14% | 184.0 +34% | 129.7 +48% | – | 270.2 –19% | 1360 +121% | 329.9 +44% | 2788 +55% |
2015–2019 | 0.075 –2.5% | 222.8 +63% | 128.9 +47% | 550 +115% | 306.9 –8% | 1088 +77% | 572.5 +150% | 2869 +74% |
* В числителе — содержание компонента, в знаменателе — превышение содержания компонента относительно условного фонового периода
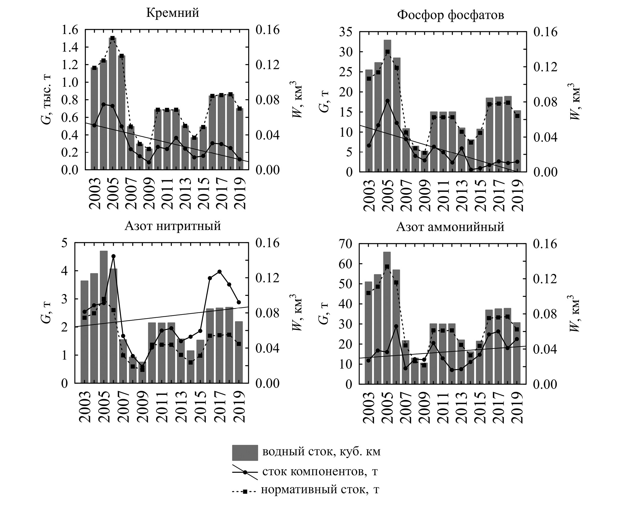
Наряду с переносом главных ионов, большой интерес представляет перенос биогенных веществ так они во многом определяют биологическую продуктивность и рыбохозяйственную значимость водных объектов. Временная изменчивость переноса соединений кремния заметно зависела от водности реки, и за весь наблюдаемый период перенос данного компонента не превышал норму (рис. 3).
Рис. 3. Динамика стока биогенных веществ.
Превышений нормативного переноса фосфора фосфатов не наблюдалось (см. рис. 3). Хронологическая изменчивость переноса данного компонента характеризуется отрицательным трендом. Настоящая тенденция объясняется агроистощением почв. По данным [1], в пахотном слое в пределах Приазовской природно-сельскохозяйственной зоны Ростовской области резко сократилось содержание подвижного фосфора в период с 2007 по 2013 г. (рис. 4). Это могло стать ведущим фактором снижения содержания фосфора фосфатного, так как поступление данного компонента в реки происходит преимущественно с поверхностным стоком. По-видимому, это связано с отчуждением фосфора из почвы сельскохозяйственными культурами, которые занимают большую часть водосбора. Аналогичные процессы сокращения содержания фосфора в почвах и, соответственно, в речных системах отмечаются во многих регионах мира, происходят масштабные трансформации его биогеохимического цикла [19, 20].
Рис. 4. Динамика содержания подвижного фосфора в пахотном слое почв в природно-сельскохозяйственных зонах Ростовской обл. [1, с изменениями].
Особенности изменчивости стока нитритной и аммонийной форм азота. Сток азота аммонийного характеризовался незначительным положительным трендом. В то же время как сток азота нитритного превышал условную норму и характеризовался довольно большим размахом среднегодовых значений концентрации (см. рис. 3). При сравнении изменчивости переноса этих минеральных форм азота с водным стоком можно отметить, что перенос азота нитритного характеризовался более заметной связью с водностью. В воде Тузлова наибольшее содержание нитритов наблюдалось во второй половине летнего периода, что, прежде всего, связано с высокой активностью фитопланктона.
Соединения металлов, в частности железа, меди и цинка, несмотря на сравнительно невысокие их концентрации в воде водных объектов, играют важную роль в метаболических процессах гидробионтов и функционировании речных экосистем. Перенос соединений железа общего характеризовался неустойчивостью: его зависимость от водности не была постоянной в течение рассматриваемого периода. Резкое увеличение переноса данного компонента в 2014 и 2015 г. вплоть до стремительного снижения в 2019 г. вызвано преимущественно возрастанием его концентрации в воде (рис. 5). Даже в условно многоводный период (2003–2006 гг.) перенос был заметно ниже.
Рис. 5. Динамика переноса соединений металлов.
Наблюдаемое явление, прежде всего, обусловлено антропогенными факторами, ведущая роль природных источников в таком резком увеличении и последующем сокращении переноса соединений железа общего исчезающе мала. Вероятнее всего, увеличение содержания данного компонента в воде связано с его выносом с техногенными шахтными водами.
Зависимость переноса от водности реки была незначительной также для соединений меди и цинка (см. рис. 5). Резкое сокращение переноса было характерно для обоих микроэлементов и в последние годы едва достигало пределов определения используемых методик химического анализа. Уменьшение содержания в воде соединений меди и цинка отмечается и на территории других близкорасположенных бассейнов рек: Миус, Егорлык, Западный Маныч и Сал. Также ранее отмечено довольно низкое содержание относительно фона подвижных форм меди в донных отложениях и поверхностных горизонтах пахотных почв районов, расположенных на территории бассейна Тузлова [2, 16–18]. Как известно, данные соединения поступают в водные объекты преимущественно с поверхностным стоком [5]. Роль диффузного (площадного) поступления соединений меди и цинка является превалирующей. В ранее проведенных исследованиях было показано, что для этих металлов характерна высокая степень биологической миграции в пределах Ростовской области, что приводит к их интенсивному отчуждению из почвы сельскохозяйственными культурами (табл. 3).
Таблица 3. Коэффициенты биологического поглощения (КБП) сельскохозяйственными культурами Cu и Zn в Ростовской области [8]
Культура | Химический элемент | |
Cu | Zn | |
Озимая пшеница | 7.53 | 12.4 |
Ячмень | 3.83 | 7.53 |
Рожь | 3.54 | 8.53 |
Горох | 6.87 | 12.4 |
Люцерна | 3.16 | 3.53 |
Суданская трава | 3.33 | 3.70 |
Эспарцет | 2.96 | 4.20 |
Примечание. КБП > 1 свидетельствует о сильном биологическом накоплении химических элементов.
Большие площади посевов сельскохозяйственных культур на водосборе Тузлова создают нестабильность почвенно-геохимической обстановки, в результате чего происходит обеднение почв данными компонентами.
Таким образом, в верхней части бассейна Тузлова под влиянием хозяйственной деятельности увеличился перенос главных ионов (по сумме), а также возросла доля сульфат-ионов в структуре стока. Сокращался сток фосфатов, соединений меди и цинка, что, прежде всего, вызвано отрицательным балансом данных компонентов в почвенном покрове. Перенос соединений железа общего был неустойчив и, вероятно, в наибольшей степени зависел от поступления с шахтными водами. В целом, несмотря на относительно невысокий уровень урбанизации верхней части бассейна р. Тузлов, отмечено воздействие хозяйственной деятельности на характер временной изменчивости переноса отдельных растворенных веществ.
Однако антропогенная нагрузка на водосборе Тузлова распределена неравномерно. Вниз по течению увеличивается интенсивность воздействия уже вышеописанных факторов, резко возрастает роль урбанизированных ландшафтов и наиболее крупных притоков. Суммарное население крупных городов Шахты, Новашахтинск и Новочеркасск составляет более полумиллиона человек, что обусловливает большие объемы водопотребления и, соответственно, водоотведения сточных вод.
В этой связи верхний участок бассейна Тузлова — пункт наблюдений с. Несветай — можно считать условно фоновым, так как сравнительно с нижележащей частью бассейна на него оказывается небольшая антропогенная нагрузка.
Проследить перенос растворенных веществ в нижней части бассейна реки не представлялось возможным по причине отсутствия наблюдений за расходами воды. Тем не менее можно рассмотреть изменчивость химического состава воды, которая представлена в табл. 4.
Таблица 4. Пространственно-временная изменчивость концентрации растворенных в воде веществ в бассейне реки Тузлов (точки наблюдений: 1 — с. Несветай, 2 — выше г. Новочеркасск, 3 — ниже г. Новочеркасск)
Период | 2000–2004 | 2005–2009 | 2010–2014 | 2015–2019 | ||||||||
Компонент | 1 | 2 | 3 | 1 | 2 | 3 | 1 | 2 | 3 | 1 | 2 | 3 |
Главные ионы (по сумме), мг/дм | 2067 | 2324 | 2415 | 2236 | 2542 | 2730 | 2787 | 3120 | 3252 | 2869 | 2682 | 2777 |
Сульфаты, мг/дм | 895 | 1113 | 1132 | 1052 | 1250 | 1358 | 1360 | 1521 | 1511 | 1088 | 929 | 912 |
Соединения железа, мг/дм | 0.165 | 0.218 | 0.275 | 0.140 | 0.220 | 0.208 | 0.123 | 0.171 | 0.185 | 0.388 | 0.336 | 0.364 |
Фосфор фосфатов, мг/дм | 0.065 | 0.068 | 0.05 | 0.131 | 0.280 | 0.301 | 0.066 | 0.115 | 0.151 | 0.027 | 0.075 | 0.127 |
Соединения меди, мкг/дм | 2.5 | 2.0 | 2.5 | 2.21 | 0.958 | 1.83 | 1.76 | 1.27 | 2.13 | 0.260 | 0.200 | 0.650 |
Соединения цинка, мкг/дм | 4.66 | 3.84 | 4.67 | 3.82 | 3.17 | 4.12 | 4.00 | 3.23 | 5.26 | 1.38 | 1.62 | 1.96 |
При оценке изменчивости содержания веществ в отдельном пункте наблюдений условно фоновым будет тот пункт, что находится выше по течению реки.
Сравнение гидрохимических данных в пунктах наблюдений с. Несветай и г. Новочеркасск (выше города) позволяет оценить вклад наиболее крупных притоков Тузлова в загрязнение воды на данном участке, протяженность которого составляет порядка 58 км. Обобщенные данные о пространственной изменчивости химического состава воды в этой части бассейна свидетельствуют о том, что за период 2000–2014 гг. вниз по течению реки происходило увеличение концентрации в воде суммы главных ионов (12–14%), сульфатов (12–24%) и соединений железа общего (32–57%). В 2015–2019 гг., напротив, наблюдалось сокращение содержания данных веществ (7–15%). Это может быть связано с уменьшением поступления этих компонентов с водами притоков Тузлова. Содержание фосфора фосфатов вниз по течению увеличивалось в наибольшей степени (74–177%) в 2005–2019 гг.
Обратная ситуация характерна для соединений меди — снижение концентрации (20–56%), соединений цинка — преимущественно снижение концентрации на 17–20%, которое стабилизировалось в 2015–2019 гг в результате увеличения содержания на 17% в сравнении с пунктом в с. Несветай.
Несмотря на то, что на данном участке проявляются все вышеперечисленные антропогенные факторы, роль шахтных вод совершенно очевидна, что подтверждается весьма симбатными геохимическими спектрами техногенных шахтных и речных вод в пределах бассейна (рис. 6).
Рис. 6. Геохимические спектры воды рек и шахтных вод бассейна Тузлова (“куст” — скопление объектов угледобывающей промышленности) [4].
Несмотря на высокое антропогенное давление, которое значительно усиливается ниже по течению, сокращение концентрации соединений меди и цинка сохраняется, что может говорить о низком содержании данных металлов в компонентах ландшафта. Концентрация фосфора фосфатов, напротив, возрастает, что, по всей видимости, обусловлено поступлением его в речную сеть со сточными водами городов и других населенных пунктов.
Рассмотрим воздействие крупного города на химический состав воды р. Тузлов. Сравнивая данные створов гидрохимических наблюдений выше и ниже г. Новорчеркасск можно выделить, прежде всего, воздействие неконтролируемого поверхностного склонового стока с урбанизированной территории водосбора и сточных вод. Роль других факторов будет в данном случае малозначительной.
Наименьшее разнонаправленное воздействие городской среды отмечается для пространственной изменчивости содержания в воде главных ионов (по сумме) и сульфатов (до 9%). Значительное увеличение содержания соединений железа общего в воде (+26%) между створами наблюдалось в 2000–2004 гг., но потом резко сократилось в 2005–2019 гг. до 5–8%, сохранив разнонаправленный характер.
В значительной степени на урбанизированном участке реки увеличилось содержание фосфора фосфатов (до 69%), соединений цинка (до 63%) и меди (до 225%). Наибольшие отличия концентрации данных компонентов между двумя створами отмечались в 2005–2019 гг.
Опираясь на представленные данные, можно сказать, что в поступлении в речную сеть соединений железа общего и главных ионов наибольшая роль принадлежит, соответственно, загрязненным шахтным водам и поверхностному стоку с территории водосбора. Напротив, сточные воды г. Новорчеркасск сильно увеличивают содержание в воде фосфора фосфатов, соединений меди и цинка, компенсируя тем самым тренд сокращения их содержания в вышележащей части бассейна.
Воздействие сбрасываемых сточных вод в бассейн р. Тузлов может иметь неоднозначные последствия. Водообеспечение многих городов и населенных пунктов, расположенных в пределах бассейна, происходит из р. Дон. В речную сеть бассейна Тузлова сбрасываются сточные воды, забранные из другой реки, в результате чего происходит смешение вод разного химического состава. В связи с этим концентрация некоторых компонентов в бассейне Тузлова будет изменяться разнонаправленно.
В ходе исследования также было рассмотрено качество воды реки по соответствующим пунктам гидрохимических наблюдений (табл. 5).
Таблица 5. Пространственно-временная изменчивость качества воды в бассейне р. Тузлов
Период | с. Несветай | г. Новочеркасск (выше города) | г. Новочеркасск (ниже города) | ||||||
УКИЗВ | Класс | КПЗ | УКИЗВ | Класс | КПЗ | УКИЗВ | Класс | КПЗ | |
2000–2004 | 4.15 | 4А | SO4 | 4.01 | 4А | SO4 | 4.69 | 4А | – |
2005–2009 | 5.64 | 4Б | SO4 | 5.48 | 4Б | SO4 | 5.66 | 4Б | SO4; NO2 |
2010–2014 | 5.46 | 4Б | SO4 | 5.86 | 4Б | SO4 | 6.14 | 4Б | SO4 |
2015–2019 | 5.42 | 4Б | SO4 | 5.01 | 4А | SO4 | 5.63 | 4Б | SO4 |
Примечания. УКИЗВ — удельный комбинаторный индекс загрязненности воды. КПЗ — критический показатель загрязненности.
Как и следовало ожидать, в пункте наблюдений с. Несветай загрязненность воды будет меньше в сравнении теми, что расположены ниже по течению. Стабильно критическим показателем загрязненности являются сульфаты, характеризующиеся наибольшей кратностью превышения ПДК со 100%-й повторяемостью. В целом необходимо отметить, что, несмотря на некоторую пространственно-временную изменчивость, качество воды бассейна сохраняется на уровне 4 класса (степень загрязненности воды — “грязная”).
Результаты ранее проведенных исследований [4] показывают, что УКИЗВ шахтных вод примерно в 2 раза выше, чем поверхностных в бассейне Тузлова (степень загрязненности воды — “экстремально-грязная”). Кроме сульфатов, соединения железа общего характеризовались КПЗ. Из этого можно сделать вывод, что даже небольшое количество загрязненных шахтных вод способно в значительной степени ухудшить качество поверхностных вод в речной сети Тузлова.
Рассмотрение пространственно-временной изменчивости качества воды в бассейне Тузлова подтверждает крайне высокую степень антропогенной нагрузки на водосборную площадь, которая проявляется даже в верхней части бассейна реки.
ВЫВОДЫ
В итоге проведенных исследований представляется возможным сделать несколько основных выводов.
Последствия угледобычи оказывают прямое воздействие на содержание в речных водах Тузлова соединений железа общего и главных ионов. На протяжении рассматриваемого периода происходило засульфачивание воды. От доли загрязненных шахтных вод в питании речной сети будет в наибольшей степени зависеть ее гидрохимический режим.
Результаты интенсивной сельскохозяйственной деятельности на водосборе приводят к сокращению содержания в речной воде фосфора фосфатов, соединений меди и цинка. Снижение содержания данных веществ в воде согласуется с их сокращением в почвенном покрове. Ключевая причина — интенсивное отчуждение этих компонентов сельскохозяйственными культурами.
В пределах урбанизированного участка г. Новочеркасск, напротив, в несколько раз возрастает содержание фосфора фосфатов, соединений меди и цинка.
Качество речной воды не характеризовалось значительной пространственно-временной изменчивостью и оставалось на низком уровне (степенью загрязненности воды — “грязная”), что подтверждает острую экологическую ситуацию в бассейне реки.
About the authors
A. D. Sazonov
Hydrochemical Institute of Roshydromet; Southern Federal University, Institute of Earth Sciences
Author for correspondence.
Email: alexei.sazonow2016@ya.ru
Russian Federation, pr.Stachki 198, Rostov-on-Don, 344090; Bolshaya Sadovaya ul. 105/42, Rostov-on-Don, 344006
V. E. Zakrutkin
Southern Federal University, Institute of Earth Sciences
Email: alexei.sazonow2016@ya.ru
Russian Federation, Bolshaya Sadovaya ul. 105/42, Rostov-on-Don, 344006
References
- Bezuglova, O.S., Nazarenko, O.G., Il’inskaya, I.N. [Land degradation dynamics in Rostov oblast]. Aridnye ekosistemy, 2020, no. 2, pp. 10–15. (in Russian)
- Vorob’ev, E.V., Usova, E.V., Orekhova, Yu.V. [Analysis of dynamics and sources of manganese, copper, nickel and aluminum ions found in the trans-border Mius River during the period from 2003 to 2017]. Yug Rossii: ekologiya, razvitie, 2019, no. 1, pp. 81–93. https://doi.org/10.18470/1992-1098-2019-1-81-93. (in Russian)
- Gavrishin, A.I. [Evaluation of chemical composition quality of surface water in the Eastern Donbass]. Geokologiya, 2019, no. 4, pp. 61–67. https://doi.org/10.31857/S0869-78092019461-67. (in Russian)
- Zakrutkin, V.E., Ivanik, V.M., Gibkov, V.E. [Ecological and geographical analysis of risks upon coal industry restructuring in Eastern Donbass]. Izvestiya Rossiiskoi akademii nauk. Seriya geograficheskaya, 2010, no. 5, pp. 94–102. (in Russian)
- Ivanov, V.V. [Environmental geochemistry of the elements. Vol. 4]. Moscow, Ekologiya Publ., 1995, 416 p. (in Russian)
- [Map of surface water quality in the Russian Federation (official website of the Hydrochemical Institute of Roshydromet)]. URL: https://gidrohim.com/node/61 (date of access: 30/01/2023) (in Russian)
- Kosolapov, A.E., Dandara, N.T., Shkura, V.N., Klimenko, O.A. et al. [Tuzlov River. Basin management plan]. Novocherkassk, YRGTU (NPI) Publ., 2007, 165 p. (in Russian)
- Kokhanistaya, N.V., Shishkina, D.Yu., Zakrutkin, V.E. [Biogeochemical characteristics of agricultural landscapes of the Rostov region]. Uspekhi sovremennogo estestvoznaniya, 2022, no. 11, pp. 53–60. https://doi.org/10.17513/use.37928. (in Russian)
- Lur’e, P.M., Panov, V.S. [Don River: hydrography and flow regime]. Rostov-on-Don, Donskoi izdatel’skii dom Publ., 2018, 592 p. (in Russian)
- Nikanorov, A.M., Khoruzhaya, T.A. [Water quality in water bodies with permanently high chemical contamination level in the South of Russia]. Geografiya i prirodnye resursy, 2012, no. 2, pp. 40–45. (in Russian)
- Posokhov, E.V. [Sulfate water in nature]. Leningrad, Gidrometeoizdat Publ., 1972, 165 p. (in Russian)
- [Order of the Ministry of Agriculture of Russia from 10.12.2016 № 552 “On approval of water quality standards for water bodies of fishery significance, including standards of maximum permissible concentrations of harmful substances in the waters of water bodies of fishery significance”]. URL: https://docs.cntd.ru/document/420389120 (date of access: 24/08/2023) (in Russian)
- [Problems and prospects for integrated development of mineral resources in Eastern Donbass]. Matishov, G.G. Ed., Rostov-on-Don, YUNTS RAN Publ., 2005, 352 p. (in Russian).
- [Guideline document 52.24.643–2002. Method of complex assessment of surface water pollution degree by hydrochemical indicators]. 2002, 50 p. http://mgmtmo.ru/edumat/rd/52.24.643_2002.pdf (in Russian)
- [Guideline document 52.24.748–2010. Improved methodology for determining the removal (transport) of pollutants with river runoff]. 2010, 60 p. https://files.stroyinf.ru/Data2/1/4293746/4293746647.pdf (in Russian)
- Reshetnyak, O.S., Zakrutkin, V.E. [Bottom sediments as a source of secondary water pollution by metals (according to the laboratory experiment)]. Izvestiya vuzov. Severo-Kavkazskii region. Seriya: Estestvennye nauki. 2016, no. 4. pp. 102–109. (in Russian)
- Strel’tsova, N.B., Bakiev, Z.R. [Peculiarities of chemical composition of bottom sediments of the Grushevka and Tuzlov Rivers]. Proc. XIII Int. Conf. dedicated to the 90th anniversary of the DSTU “State and prospects for the development of the agro-industrial complex”. Rostov-on-Don, DGTU-PRINT Publ., 2020, pp. 176–179. (in Russian)
- Yurkova, R.E, Dokuchaeva, L.M. [Ecological-toxicological assessment of soil condition in Rostov region by heavy metals content]. Ekologiya i vodnoe khozyaistvo, 2020, no. 4, pp. 41–51. https://doi.org/10.31774/2658-7890-2020-4-41-51. (in Russian)
- Alewell, C., Ringeval, B., Ballabio, C. et al. Global phosphorus shortage will be aggravated by soil erosion. Nature communications, 2020, vol. 11, pp. 4546. https://doi.org/10.1038/s41467-020-18326-7
- Kohn, J., Zimmer, D., Leinweber, P. Is phosphorus really a scarce resource? International Journal of Environmental Technology and Management, 2018, vol. 21(5/6), pp. 373–395. https://doi.org/10.1504/IJETM.2018.100584
Supplementary files








