Структурное разнообразие и свойства углеводсодержащих биополимеров морских грамотрицательных бактерий
- Авторы: Кокоулин М.С.1, Кузьмич А.С.1, Фильштейн А.П.1
-
Учреждения:
- Тихоокеанский институт биоорганической химии им. Г.Б. Елякова ДВО РАН
- Выпуск: № 3 (2024)
- Страницы: 143-164
- Раздел: Химические науки. Молекулярная иммунология
- URL: https://ogarev-online.ru/0869-7698/article/view/275394
- DOI: https://doi.org/10.31857/S0869769824030088
- EDN: https://elibrary.ru/ISAWSB
- ID: 275394
Цитировать
Полный текст
Аннотация
Представлены результаты исследований капсульных полисахаридов и липополисахаридов морских грамотрицательных бактерий, принадлежащих к родам Pseudoalteromonas, Idiomarina, Marinicella, Halomonas, Cobetia, Poseidonocella, Psychrobacter, Devosia, Echinicola и Cellulophaga.
Полный текст
Введение
С момента возникновения жизни на Земле океаны нашей планеты выступают в качестве источника биологического разнообразия и двигателя эволюции. Около 70–90 % биомассы морей и океанов составляют микроорганизмы. Действительно, Мировой океан – самый обширный и наименее изученный биотоп на планете Земля, где грамотрицательные бактерии являются неотъемлемым компонентом и представляют значительную часть микробных сообществ. Как древнейший на Земле, микробиом океана включает особые, иногда лишь ему присущие таксоны микроорганизмов, которые формировались на протяжении длительного периода эволюции. Ареалы грамотрицательных бактерий весьма разнообразны и охватывают прибрежные и открытые акватории океанов, глубоководные и гидротермальные впадины, грунты, некоторые виды бактерий способны колонизировать внешние оболочки и внутренние поверхности морских животных и растений. Отдельные группы микроорганизмов образуют высокоспецифичные симбиотические взаимосвязи с организмом хозяина [1]. В большей части морской среды обитания преобладают низкие концентрации питательных веществ, низкие температуры, высокое гидростатическое давление, повышенная соленость, и выживание в этих условиях требует сложного набора морфологических, физиологических и метаболических адаптивных стратегий. Специфические, а порой и экстремальные, условия обитания морских микроорганизмов сформировали у них ряд приспособительных особенностей. Разумно предположить, что изменения коснулись и биополимеров клеточной стенки бактерий, которые играют определяющую роль во взаимодействии микроорганизмов с окружающей средой. Именно структура этих жизнеобеспечивающих молекул является отражением функциональных изменений, вызванных суровой средой обитания.
Большинство грамотрицательных бактерий снаружи покрыты специфическим типом гликоконъюгатов – липополисахаридами (ЛПС). ЛПС представляет собой основной компонент внешней мембраны клеточной стенки, играя важнейшую роль в защите микроорганизмов от стрессовых факторов окружающей среды, в устойчивости к антибиотикам и токсинам, в патогенезе и симбиозе [2]. Этот липогликан обычно имеет трехдоменную структурную организацию и состоит из липида А (гидрофобная часть, которая закрепляет молекулу ЛПС во внешней мембране), олигосахарида кора, который связан с липидом А через остаток 3-дезокси-D-манно-окт-2-улозоновой кислоты (Kdo, моносахаридный маркер грамотрицательных бактерий) и О-специфического полисахарида (ОПС) [2]. Молекула полностью достроенного ЛПС (S-форма, от англ. «smooth» – гладкий) характерна для большинства встречающихся в природе диких штаммов бактерий, образующих колонии гладкой формы. Потеря в процессе биосинтеза ОПС приводит к появлению шероховатых колоний, и их ЛПС (R-форма, от англ. «rough» – шероховатый) содержит только липид А и олигосахарид кора. На поверхности клеточной стенки гладких штаммов бактерий наряду с молекулами ЛПС S-формы присутствуют и молекулы ЛПС R-формы. Кроме того, часть молекул ЛПС S-формы обладает ОПС, который представлен только одним олигосахаридным фрагментом (SR-форма). Такого рода гетерогенность имеет биологическое значение, так как благодаря именно этому достигается более плотная упаковка молекул ЛПС на клеточной поверхности, обеспечивая защиту бактериальной клетки от проникновения вредных для ее жизнедеятельности веществ [2]. Структура ЛПС, особенно липида А и олигосахарида кора, имеет решающее значение для целостности, гибкости и текучести внешней мембраны, а также для нормальной физиологии и роста микроорганизмов [2].
Многие бактерии (преимущественно с ЛПС в R-форме) могут продуцировать внеклеточные полисахариды. Бактериальные внеклеточные полисахариды обычно встречаются в двух формах: в виде капсульных полисахаридов (КПС), если они связаны (либо слабо связаны) с клеточной поверхностью, и полисахаридов, секретируемых в окружающую среду (экзополисахариды, ЭПС). Присутствие этих биополимеров указывает на их специфические свойства и функции, которые полезны и необходимы для микроорганизмов. Как и молекулы ЛПС, они играют важную роль в защите бактериальной клетки от суровых условий окружающей среды, в поверхностной адгезии (обычно через образование биопленок), межклеточной трансдукции сигнала и в сопротивлении иммунному ответу организму хозяина [3, 4]. С точки зрения состава и структуры, полисахариды грамотрицательных бактерий (ОПС в составе ЛПС, КПС и ЭПС) представляют собой регулярные линейные или разветвленные полимеры, как правило, включающие от двух до восьми моносахаридов в повторяющемся звене. Встречаются полисахариды с моносахаридным повторяющимся звеном (гомополимеры). Длина полисахаридной цепи может варьироваться от 1 повторяющегося звена до 50 и более звеньев. Моносахаридный состав углеводсодержащих биополимеров морских грамотрицательных бактерий чрезвычайно разнообразен. Среди них нейтральные сахара в пиранозной и фуранозной формах (пентозы, гексозы, гептозы и их производные), амино- и диаминосахара, уроновые кислоты (в том числи амино- и диаминоуроновые кислоты), дезокси- и дидезоксисахара, улозоновые кислоты и разветвленные моносахариды, как распространенные в природе, так и не найденные в других источниках. Кроме того, гликополимеры грамотрицательных бактерий часто содержат неуглеводные заместители, такие как ацетильные, метильные, аминоацильные, глицерильные, пирувильные, сукцинильные, лактильные, фосфатные и сульфатные группы [2–4]. Природа, последовательность, аномерная конфигурация и тип замещения индивидуальных моносахаридных остатков внутри повторяющейся единицы является характерным и уникальным для каждого биополимера. В силу разнообразия компонентов и их связей возможно существование беспрецедентно большого количества структур полисахаридных цепей, что находит свое подтверждение в природе [2–7].
Исследование углеводсодержащих биополимеров морских грамотрицательных бактерий имеет и важное практическое значение. Человечество с давних времен стремилось использовать сырьевое богатство Океана, и в настоящее время морские микроорганизмы рассматриваются как источник необычных по химическому строению и свойствам природных соединений, обладающих богатейшим фармацевтическим потенциалом. Огромное разнообразие структурных комбинаций бактериальных полисахаридов обусловливает их уникальные биологические свойства, такие как иммуномодулирующие, противовирусные, противоопухолевые, антиоксидантные, антикоагулянтные и др. Благодаря высокой биологической активности, биоразлагаемости и биосовместимости углеводсодержащие биополимеры морских грамотрицательных бактерий активно исследуются с точки зрения применения в биомедицине, функциональном питании, косметологии и других индустриальных секторах экономики [3, 4].
ЛПС (в частности, липиды А) морских грамотрицательных бактерий, характеризующиеся необычными структурными особенностями, рассматриваются как потенциальные ингибиторы передачи сигналов, опосредованных Толл-подобным рецептором 4 (TLR4). Немногочисленные исследования выявили специфические и необычные химические структуры липидов А морских бактерий, которые характеризуются симметричным распределением жирных кислот (в случае гексаацилированных форм), низкой степенью ацилирования (пента-, тетра- или триацилированные формы) и фосфорилирования, а также содержанием жирных кислот, не характерных для липидов А энтеробактерий (очень короткие и/или ненасыщенные ацильные цепи). Отличительные особенности липидов А нашли отражение в интересном иммунологическом поведении молекул ЛПС морских грамотрицательных бактерий, которое включает очень слабую иммуностимулирующую активность или даже антагонистические свойства [2, 8, 9]. Таким образом, исследование структур углеводсодержащих биополимеров морских бактерий, безусловно, является фундаментальной отправной точкой для понимания молекулярных основ процессов адаптации, но также чрезвычайно важно в перспективе реализации новых терапевтических препаратов направленного действия [4, 8–10].
Первые работы по исследованию ЛПС и КПС морских грамотрицательных бактерий появились в 80-е годы прошлого столетия, и в настоящее время число их неуклонно растет. Основные результаты исследований ЛПС и внеклеточных полисахаридов морских грамотрицательных бактерий представлены в обзорах [2–8]. В настоящем сообщении будут описаны структуры и биологические свойства наиболее интересных, на наш взгляд, ЛПС и КПС из морских грамотрицательных бактерий, выделенных и охарактеризованных в Тихоокеанском институте биоорганической химии им Г.Б. Елякова ДВО РАН.
Сульфатированные полисахариды морских грамотрицательных бактерий
Сульфатированные полисахариды уже долгое время являются объектами повышенного внимания и интенсивных исследований. Постоянно растущий интерес к этим полисахаридам объясняется их низкой токсичностью и разнообразной биологической активностью, которая может быть использована при создании медицинских препаратов нового поколения. Как правило, объектами исследований являются сульфатированные полисахариды – компоненты клеточной стенки водорослей (фукоиданы, каррагинаны, ульваны) и гликозаминогликаны беспозвоночных. Перспективными биологически активными веществами могут являться и углеводсодержащие биополимеры морских микроорганизмов. Действительно, морские грамотрицательные бактерии являются богатым источником сульфатированных полисахаридов, не имеющих в природе структурных аналогов.
Род Pseudoalteromonas был образован в 1995 г. на основании ревизии гетерогенного рода Alteromonas и на данный момент включает в себя 49 валидно описанных видов (https://lpsn.dsmz.de/genus/pseudoalteromonas). Грамотрицательные бактерии рода Pseudoalteromonas представляют собой облигатные морские бактерии, широко распространенные в морской среде и выделяемые из различных морских источников. С точки зрения строения полисахаридов клеточной стенки бактерии рода Pseudoalteromonas являются наиболее изученными среди морских микроорганизмов, и не удивительно, что первый сульфатированный полисахарид, описанный для грамотрицательных бактерий, был выделен из представителя данного рода. Микроорганизм Pseudoalteromonas agarivorans КММ 232 был изолирован из образца воды, отобранной на глубине 500 м в северо-западной части Тихого океана. По своим физиолого-биохимическим и генетическим свойствам данный штамм был первоначально идентифицирован как P. marinoglutinosa. Дальнейшие фенотипические, филогенетические исследования и ДНК-ДНК гибридизация показали, что эта бактерия представляет новый вид рода Pseudoalteromonas, который был описан как P. agarivorans [11]. При культивировании на твердой питательной среде микроорганизм образует два типа колоний: гладкие (S-форма) и шероховатые (R-форма). Отличительной особенностью ОПС P. agarivorans КММ 232 (S-форма) является наличие сульфатной группы, которая, как уже упоминалось, была впервые идентифицирована в составе ОПС грамотрицательных бактерий [12]:
→6)-β-D-Manp-(1→4)-α-L-Rhap2S-(1→
Род Idiomarina в настоящее время насчитывает 14 валидно описанных видов (https://lpsn.dsmz.de/genus/idiomarina). Микроорганизм Idiomarina abyssalis КММ 227T был выделен из образца морской воды, отобранной на глубине 4000 м в северо-западной части Тихого океана. Повторяющееся звено полисахарида из микроорганизма I. abyssalis КММ 227T представляет собой разветвленный пентасахарид и содержит остаток 3-(4-гидроксибутирамидо)-3,6-дидезокси-D-глюкозы, сульфатированный по второму положению (b-D-Qui2S3N(4Hb)) [13]:
→3)-b-D-QuipNAc4NAc-(1→3)-b-D-GlcpNAcA-(1→4)-b-D-GlcpNAcA-1→
4
↑
1
b-D-Quip2S3N(4Hb)-(1→2)-α-L-Rhap
Микроорганизм Marinicella litoralis KMM 3900T был выделен из образца морской воды, собранной в прибрежной зоне зал. Петра Великого Японского моря. По мнению многих исследователей, условия обитания в пределах морского шельфа (резкие изменения температуры и солености, активное перемешивание, влияние приливных волн и наземных стоков) отличаются от таковых для открытых вод морей и океанов или глубоководной среды. Исследование бактерий, ассоциированных с прибрежной средой обитания, является важным направлением в морской микробиологии. Род Marinicella в настоящее время насчитывает уже 6 валидно описанных видов (https://lpsn.dsmz.de/genus/marinicella). Микроорганизм Marinicella litoralis KMM 3900T продуцирует два ЛПС с различными структурными характеристиками ОПС [14]. Основной ОПС построен из дисахаридных повторяющихся звеньев, состоящих из остатков L-рамнозы (L-Rha), замещенной остатком глицерофосфата, и D-маннозы (D-Man), несущей остаток метилфосфата:
→4)-α-L-Rhap2PGro(~40%)-(1→3)-β-D-Manp6PMe(~80%)-(1→
Минорный полисахарид ‒ гомополимер, состоящий из сульфатированных остатков 3-O-метил-D-маннозы:
→2)-α-D-Manp3Me(~85%)4S6Ac-(1→
Гамма-протеобактерии семейства Halomonadaceae включают множество умеренно галофильных и галоалкалофильных видов, принадлежащих к 14 достоверно описанным родам (https://lpsn.dsmz.de/family/halomonadaceae). Типовой род Halomonas в настоящее время является самым крупным в семействе и насчитывает 128 валидно описанных видов (https://lpsn.dsmz.de/genus/halomonas). В пределах семейства Halomonadaceae только два рода – Halomonas и Cobetia были изучены в отношении структуры углеводсодержащих биополимеров.
Микроорганизм Halomonas halocynthiae KMM 1376T был изолирован из образца жаберной ткани пурпурной асцидии Halocynthia aurantium. Полисахарид, продуцируемый H. halocynthiae KMM 1376T, представляет собой сульфатированный маннан, построенный из трисахаридных повторяющихся звеньев и содержащий α-(1→2)- и α-(1→3)-связанные остатки D-маннозы [15]:
→2)-α-D-Manp3,6S-(1→3)-α-D-Manp2Ac6S-(1→3)-α-D-Manp-(1→
Ранее α-(1→2, 1→3)-связанные D-маннаны были описаны для OПС Escherichia coli coli O9, O9a и Klebsiella pneumonia O3 [16]. Сульфатированный по положениям O-4 и O-6 α-(1→3)-связанный D-маннан и частично сульфатированный по положению O-2 β-(1→4)-связанный D-маннан были выделены из красной водоросли Nemalion helminthoides [17] и зеленой водоросли Codium vermilara [18] соответственно. Среди полисахаридов грамотрицательных бактерий сульфатированный маннан был обнаружен впервые.
Бактерии рода Cobetia впервые описаны в 1970 г. и первоначально были отнесены к виду Arthrobacter marinus [19]. В ходе дальнейших исследований их отнесли к различным родам, таким как Pseudomonas, Deleya и Halomonas [20–33]. Затем, основываясь на анализе последовательностей 23S и 16S рРНК и изменениях в описании вида Halomonas marina, включая новые признаки, авторы предложили отнести их к новому роду Cobetia, входящему в семейство Halomonadaceae [24]. В настоящее время род Сobetia включает в себя 5 валидно описанных видов (https://lpsn.dsmz.de/genus/cobetia).
Два штамма микроорганизма Cobetia pacifica (KMM 3879T и КММ 3878) и C. litoralis KMM 3880T были изолированы из образца донного песка, собранного в прибрежных водах Японского моря. Микроорганизм С. pacifica типового штамма KMM 3879T продуцирует сульфатированный полисахарид, построенный из разветвленных трисахаридных повторяющихся звеньев, и имеет следующую структуру [25]:
→6)-α-D-Glcp2Ac3S-(1→2)-α-L-Rhap-(1→
4
↑
1
β-D-Galp3S
Микроорганизм С. pacifica штамма КММ 3878 также продуцирует сульфатированный полисахарид, представляющий собой галактан, состоящий из линейных трисахаридных повторяющихся звеньев и содержащий остаток пировиноградной кислоты (Pyr) [26]:
→4)-β-D-Galp2,3S-(1→6)-β-D-Galp3,4(S-Pyr)-(1→6)-β-D-Galp-(1→
Микроорганизм C. litoralis KMM 3880T продуцирует уникальный полисахарид, построенный из трисахаридных повторяющихся звеньев, содержащих остаток Kdo, сульфатированный по пятому положению [27]:
→7)-β-Kdoр4Ac5S-(2→4)-β-D-Manр6Ac-(1→
2
↑
1
β-D-Glcp
Морские бактерии рода Cobetia интересны тем, что все изученные штаммы продуцируют сульфатированные полисахариды, что не характерно для большинства грамотрицательных бактерий. Наиболее близким по структуре к полисахариду C. pacifica KMM 3879T является сульфатированный ЭПС морской бактерии Pseudomonas sp. WAK-1 [28]. Интересно отметить, что ЭПС Pseudomonas sp. WAK-1 проявляет цитотоксическую активность в отношении различных клеточных линий рака центральной нервной системы и легкого, а также индуцирует апоптоз клеток гистиоцитарной лимфомы линии U-937 [29].
КПС С. pacifica КММ 3878 содержит остаток дисульфатированного моносахарида - 2,3-О-дисульфат-D-галактозы (β-D-Galp2,3S), обнаруженного среди бактериальных полисахаридов впервые. КПС имеет близкую структуру с полисахаридом, продуцируемым грамотрицательной бактерией H. aquamarina EG27S8QL, и отличается от него положением одной сульфатной группы [30]:
→4)-β-D-Galp3S-(1→6)-β-D-Galp3,4(S-Pyr)-(1→6)-β-D-Galp3S-(1→
Особенностью ОПС С. litoralis KMM 3880T является наличие сульфатированного остатка Kdo, встречающегося в бактериальных ЛПС, как правило, в фосфорилированной форме. Идентичный сульфатированный высший моносахарид содержит полисахарид морской альфапротеобактерии Poseidonocella pacifica KMM 9010T.
Род Poseidonocella на данный момент включает в себя только 2 валидно описанных вида (https://lpsn.dsmz.de/genus/poseidonocella). Полисахарид P. pacifica KMM 9010T представлен дисахаридным повторяющимся звеном и помимо упомянутой выше сульфатированной улозоновой кислоты включает остаток 2-О-сульфат-D-рамнозы (D-Rha2S) [31]:
→7)-β-Kdoр4Ac5S-(2→3)-β-D-Rhaр2S-(1→
Другой представитель рода Poseidonocella – P. sedimentorum KMM 9023T продуцирует полисахарид, построенный из дисахаридных повторяющихся звеньев, и содержит остатки 3-дезокси-9-O-метил-D-глицеро-D-галакто-нон-2-улозоновой кислоты и 2-O-сульфат-D-глюкуроновой кислоты [32]:
→4)-α-Kdnp9Me-(2→4)-α-D-GlcpA2S3Ac-(1→
3-дезокси-D-глицеро-D-галакто-нон-2-улозоновая кислота, как правило, является компонентом клеточных стенок некоторых актиномицетов (тейхулозоновые кислоты) [33]. Среди грамотрицательных бактерий 3-дезокси-D-глицеро-D-галакто-нон-2-улозоновая кислота была идентифицирована в составе капсульных полисахаридов микроорганизмов K. ozaenae K4 и Ensifer fredii SVQ293 [34, 35].
Важно отметить, что большинство сульфатированных биополимеров из морских грамотрицательных бактерий в разной степени обладают антипролиферативным действием по отношению к различным линиям опухолевых клеток человека. Так, для полисахаридов из H. halocynthiae KMM 1376T, С. pacifica КММ 3878, C. litoralis KMM 3880T, P. pacifica KMM 9010T и P. sedimentorum KMM 9023T был показан ингибирующий эффект в отношении самопроизвольного образования и роста колоний опухолевыми клетками линий НТ-29, HCT-116, DLD-1 (рак кишечника), MDA-MB-231, MCF-7 (рак груди), SK-MEL-5 и SK-MEL-28 (меланома). Наиболее интересные результаты были получены в результате исследования КПС микроорганизма Kangiella japonica KMM 3897 [36].
Род Kangiella (cемейство Kangiellaceae) в настоящее время насчитывает 10 валидно описанных видов бактерий (https://lpsn.dsmz.de/genus/kangiella). Повторяющееся звено КПС K. japonica KMM 3897 представляет собой линейный трисахарид, состоящий из двух остатков D-GlcNAc, один из которых сульфатирован по 4 и 6 положениям, и 2-амино-2-дезокси-D-маннуроновой кислоты [36]:
→3)-α-D-GlcpNAc4,6S-(1→4)-β-D-ManpNA3Ac-(1→4)-β-D-GlcpNAc-(1→
Наличие как отрицательно, так и положительно заряженных моносахаридных остатков придают полисахариду цвиттер-ионные свойства. Гликополимеры с цвиттер-ионной природой также были выделены из бактерий Morganella morganii, Streptococcus pneumoniae PnC, Bacteroides fragilis PSA [37] и I. zobellii [38]. С другой стороны, полисахариды, содержащие в своем составе гексозамины, уроновые кислоты и сульфатные группы, могут имитировать полисахариды, известные как гликозаминогликаны. В результате исследования антипролиферативной активности КПС K. japonica KMM 3897 было установлено, что полисахарид оказывает избирательное действие на клетки протоковой карциномы молочной железы человека линии T-47D [36]. Исследование механизма антипролиферативного действия показало, что полисахарид индуцирует арест клеточного цикла в фазе G0/G1, ингибируя образование активных комплексов CDK4/CDK6/D1 и фосфорилирование белка супрессора опухоли Rb. Кроме того, обработка опухолевых клеток полисахаридом приводила к повреждению митохондрий, сопровождающемуся изменением Δψm и высвобождением апоптотических факторов. Полисахарид вызывал активирование таких маркеров апоптоза, как PARP, каспаза-3 и каспаза-9. Активация проапоптотических белков p53, Bax, цитохрома С, а также ингибирование антиапоптотического белка Bcl-2, свидетельствовало о том, что апоптоз идет по внутреннему (митохондриальному) пути [39].
Капсульные полисахариды морских психротолерантных грамотрицательных бактерий
Криосфера покрывает около одной пятой поверхности Земли. Это системы ледяных облаков, снежный покров, сезонно-мерзлые почвы, многолетние ледяные покровы, наледи, ледники, горные породы с подземными льдами. Вода в данных условиях почти всегда находится в замерзшем или сильно переохлажденном состоянии. Несмотря на это, в таких экстремальных средах обитают микроорганизмы всех трех доменов (прокариоты, археи, эукариоты) [40]. Микроорганизмы, адаптированные к холоду, классифицируются как стенотермные (облигатные, истинные или обязательные психрофилы) или эвритермные (факультативные психрофилы или психротолерантные микроорганизмы) [41]. Одним из типичных представителей таких микробных сообществ, адаптированных к холодным местам обитания, являются бактерии рода Psychrobacter. Бактерии рода Psychrobacter –психротолерантные (некоторые виды психрофильные) и галотолерантные микроорганизмы. Специфические физиологические свойства бактерий рода Psychrobacter способствуют их широкому распространению в природе: их изолируют из морских (вода, донные осадки, рыбы), наземных (домашние птицы, пищевые продукты) источников, а также из клинического материала. Благодаря адаптации к низким температурам окружающей среды психрофильные и психротолерантные бактерии способны обитать в холодных условиях экосистем Мирового океана, о чем свидетельствует обнаружение многих видов рода Psychrobacter. В настоящее время род Psychrobacter насчитывает 44 валидно описанных вида (https://lpsn.dsmz.de/genus/psychrobacter).
Микроорганизм Psychrobacter marincola KMM 277T был изолирован из гомогенизированных внутренних тканей асцидии Polysyncraton sp. КПС, продуцируемый данным микроорганизмом, представляет собой высокомолекулярный полимер, построенный из разветвленных гексасахаридных повторяющихся звеньев [42]:
→3)-β-D-GlcpNAc -(1→3)-α-D-GalpNAcA-(1→
4
↑
1
β-Psep5(R-Lac)7Ac-(2→2)-α-D-Glcp-(1→3)-β-D-GalpNAcA-(1→2)-β-D-Ribf
Отличительной особенностью данного КПС является присутствие 7-N-ацетиламино-3,5,7,9-тетрадезокси-5-N-[(R)-2-гидроксипропаноиламино]-L-глицеро-L-манно-нон-2-улозоновой кислоты (Pse5(R-Lac)7Ac). Данное производное псевдаминовой кислоты среди бактериальных гликополимеров обнаружено впервые. Важно отметить, что другой представитель рода Psychrobacter – P. arcticus 273-4, продуцирует КПС, содержащий 5,7-ди-N-ацетил-3,5,7,9-тетрадезокси-L-глицеро-L-манно-нон-2-улозоновую кислоту [43]. Кроме того, для микроорганизма P. cryohalolentis K5T был описан полисахарид с аналогичной архитектурой: повторяющееся звено этого полимера состоит из дисахаридного остова и относительно длинной тетрасахаридной боковой цепи [44]. Данный КПС проявлял выраженное антипролиферативное действие по отношению к клеткам линий Raji (лимфома Беркитта) и HL-60 (промиелоцитарная лейкемия).
Микроорганизм P. submarinus KMM 225T был изолирован из образца воды, собранной на глубине 300 м. Его КПС содержит два относительно редких производных моносахаридов – 2-ацетамидо-2,4,6-тридеокси-4-[(S)-3-гидроксибутирамидо]-D-глюкозу (D-QuiNAc4N(S-Hb)) и 4,6-O-[(S)-1-карбоксиэтилиден]-2-ацетамидо-2-дезокси-D-глюкозу (D-GlcNAc4,6(S-Pyr)) [45]:
→3)-β-D-QuipNAc4N(S-Hb)-(1→2)-β-D-GlcpA-(1→3)-β-D-GlcpNAc-(1→4)-β-D-GlcpA-(1→
4
↑
1
β-D-GlcpNAc4,6(S-Pyr)
Среди бактерий рода Psychrobacter остаток D-QuipNAc4N(S-Hb) был обнаружен в полисахариде P. maritimus 3pS [46]. Второе редкое производное – D-GlcpNAc4,6(S-Pyr) ранее было обнаружено в ОПС E. coli O-149, O112ac, Shigella dysenteriae type 2, а также в олигосахариде кора Pseudomonas stutzeri OX1 [47–49]. КПС P. submarinus KMM 225T незначительно снижал жизнеспособность, но эффективно подавлял образование колоний различных типов раковых клеток, из которых наиболее выраженное ингибирование было показано для клеток хронического миелогенного лейкоза человека K-562 [45].
Среди других бактерий, изолированных из глубоководных мест обитания, интерес представляет микроорганизм Devosia submarina KMM 9415T. Род Devosia в настоящее время насчитывает 37 валидно описанных видов (https://lpsn.dsmz.de/genus/devosia). Штамм D. submarina KMM 9415T был изолирован из образца донных отложений, собранных на глубине 515 м. Структурное исследование компонентов клеточной стенки показало, что данный микроорганизм продуцирует два различных по структуре КПС [50]. Повторяющееся звено основного КПС D. submarina KMM 9415T представляет собой дисахарид и имеет следующую структуру:
→2)-α-D-Araf-(1→5)-α-D-Araf-(1→
Минорный КПС также построен из дисахаридных повторяющихся звеньев и содержит остаток редкого моносахарида – D-ксилулозы (D-Xlu):
→3)-α-D-Galp-(1→3)-β-D-Xluf-(1→
Оба полисахарида нейтральны, что не характерно для морских бактерий. Остаток ксилулозы также был обнаружен в составе ОПС E. coli O95, Yersinia enterocolitica 0:10 и в КПС Campylobacter jejuni RM1221 и Lachnoanaerobaculum saburreum T15 [51–54].
Липополисахариды морских грамотрицательных бактерий
Глубоководная среда обитания представляет собой сложную экосистему с огромным разнообразием форм жизни, в том числе значительной долей микроорганизмов. Жизнь в большинстве глубоководных мест обитаний характеризуется экстремальными абиотическими условиями, включающими высокую соленость, низкую температуру, высокое гидростатическое давление, отсутствие солнечного света и низкое содержание питательных веществ [55, 56]. Глубоководные морские бактерии используют различные адаптивные стратегии для выживания и размножения в среде обитания, которая является разрушительной для большинства других микроорганизмов. Способность морских бактерий справляться с экстремальными экологическими стрессами в основном определяется стабильностью их клеточных мембран, которая, как правило, обеспечивается вариациями их липидного состава [57, 58].
Нами была исследована структура ЛОС (ЛПС R-форма) морской грамотрицательной бактерии I. zobellii KMM 231T, изолированной из пробы морской воды, отобранной на глубине 4000 м в северо-западной части Тихого океана (рис. 1). ЛОС морской глубоководной бактерии I. zobellii KMM 231T представлен уникальным пентасахаридным скелетом, включающим короткий монофосфорилированный олигосахарид кора с терминальным остатком 5-амино-3,5-дидезокси-D-глицеро-D-галакто-нон-2-улозоновой кислоты (нейраминовая кислота, Neu). Липид А состоит из классического дисахаридного остова, декорированного двумя фосфатными группами и ацилированного двумя i13:0(3-OH), двумя i11:0 (3-OH) в качестве первичных жирных кислот и i11:0 в качестве вторичной ацильной цепи. Остатки Neu ранее были обнаружены в олигосахаридах кора микроорганизмов Campylobacter jejuni и Helicobacter pylori, которые могут выполнять функцию миметиков антигенов Льюиса либо иметь структурное сходство с гликосфинголипидами группы ганглиозидов [59]. Среди морских бактерий терминальный остаток Neu обнаружен в ЛОС микроорганизма Loktanella rosea KMM 6003T [60]. В то время как в случае патогенов присутствие остатка Neu является попыткой уклониться от иммунной системы организма хозяина, его роль в морских микроорганизмах в настоящее время неизвестна.
Рис. 1. Структура ЛОС I. zobellii KMM 231T
Считается, что, с одной стороны, короткий, отрицательно заряженный олигосахаридный фрагмент придает молекуле ЛОС способность активно взаимодействовать с двухвалентными катионами, что, в свою очередь, придает жесткость и устойчивость внешней мембране и всей бактериальной клетке. С другой стороны, различные анионные функциональные группы ЛОС могут действовать как буферная система, регулирующая рН на внешней поверхности мембраны и защищающая бактерию от условий повышенной солености. Кроме того, наличие коротких разветвленных ацильных цепей, входящих в состав липидного фрагмента, можно считать прямым следствием необходимости достижения микроорганизмами потребной текучести внешней мембраны, защищающей бактериальную клетку от воздействия низких температур и высокого давления [8]. Вместе эти факты могут объяснить, почему морские бактерии могут выживать в глубоководной среде.
Род Echinicola относится к семейству Cyclobacteriaceae и включает в себя 8 валидно описанных видов бактерий (https://lpsn.dsmz.de/genus/echinicola). Штамм Echinicola vietnamensis KMM 6221T был изолирован из образца воды, отобранной на ферме по выращиванию мидий во Вьетнаме. Установлено, что повторяющееся звено ОПС, продуцируемого E. vietnamensi КММ 6221Т, представляет собой тетрасахарид и имеет следующую структуру [61]:
α-Colp
1
↓
2
→4)-β-D-GlcpNAcA-(1→4)-β-D-GlcpA-(1→3)-β-D-GalpNAc-(1→
Данный полисахарид содержит редкий среди бактериальных полисахаридов моносахарид - колитоза (Col).
Штамм E. pacifica KMM 6172T был выделен из серого морского ежа Strongylocentrotus intermedius, собранного в бух. Троица (зал. Петра Великого, Японское море). Его полисахарид построен из разветвленных пентасахаридных повторяющихся звеньев и содержит два остатка 2,3-диацетамидо-2,3-дидезокси-D-глюкуроновой кислоты (D-GlcNAc3NAcA) [62]:
β-D-GlcpNAc3NAc2AcA-(1→4)-β-D-GlcpNAc3NAcA
1
↓
2
→6)-α-D-Galp-(1→3)-β-L-Rhap-(1→4)-β-D-GlcpNAc-(1→
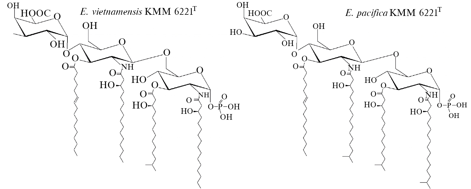
Исследование структур липидов А ЛПС E. vietnamensis КММ 6221Т и E. pacifica KMM 6172T (рис. 2) показало, что они представляют собой чрезвычайно гетерогенную смесь монофосфорилированных, три- и тетраацилированных изоформ, несущих дополнительный остаток D-галактуроновой кислоты на глюкозаминовом остове [63].
Рис. 2. Структуры липидов А E. vietnamensis КММ 6221Т и E. pacifica KMM 6172T
Иммуномодулирующие свойства ЛПС из двух штаммов Echinicola были изучены in vitro на модели клеток HEK-BlueTM hTLR4, которые являются стабильно трансфицированными клетками HEK293 с генами TLR4, MD-2 и CD14 человека. В качестве положительного контроля был выбран ЛПС Salmonella typhimurium SH 2201, содержащий гекса- и гептаацилированный липид A. Оба ЛПС бактерий рода Echinicola индуцировали значительно более низкую активацию NF-κB и секрецию IL-8 по сравнению с клетками, обработанными ЛПС S. typhimurium. Поскольку некоторые ЛПС, выделенные из морских бактерий, демонстрируют потенциал в качестве ингибиторов провоспалительного действия ЛПС патогенных микроорганизмов, была исследована способность ЛПС бактерий рода Echinicola влиять на TLR4-опосредованную передачу сигналов, запускаемую ЛПС S. typhimurium. Для оценки этой способности HEK-Blue™ hTLR4 клетки предварительно обрабатывали различными концентрациями ЛПС E. pacifica KMM 6172T и E. vietnamensis KMM 6221T, а затем стимулировали ЛПС S. typhimurium. Данный эксперимент показал, что оба ЛПС значительно ингибируют TLR4-опосредованную активацию NF-κB и продукцию IL-8, причем ЛПС E.pacifica KMM 6172T проявляет более сильные антагонистические свойства, чем ЛПС E. vietnamensis KMM 6221T [63].
Род Cellulophaga в настоящее время насчитывает 7 валидно описанных видов бактерий (https://lpsn.dsmz.de/genus/cellulophaga), для 5 из которых установлена структура ОПС.
Типовой штамм Cellulophaga algicola ACAM 630T был изолирован с поверхности диатомовых водорослей Melosira, собранных в прибрежной зоне Восточной Антарктики. Его ОПС построен из разветвленных пентасахаридных повторяющихся звеньев [64]:
α-L-Rha
1
↓
3
→4)-α-D-Manp-(1→3)-β-L-Rhap2OAc-(1→4)-β-D-GlcpNAc-(1→
2
↑
1
b-D-GlcpA
Повторяющееся звено ОПС бактерии C. baltica NNO 15840T, выделенной из бурой водоросли, имеет тетрасахаридную структуру и состоит из повсеместно распространенных как среди наземных, так и морских микроорганизмов моносахаридных остатков [65]:
→3)-α-D-GlcpNAc-(1→2)-β-D-Manp-(1→3)-β-D-Manp2OAc-(1→4)-β-D-GlcpA-(1→
Оба полисахарида имеют кислый характер за счет присутствия остатков D-GlcA.
ОПС бактерии C. fucicola NNО 15860T, изолированной из бурой водоросли Fucus serratus, построен из трисахаридных повторяющихся звеньев, содержащих наряду с довольно распространенными моносахаридами остаток Pse5Ас7Ас [66]:
→4)-β-D-Galp-(1→4)-β-D-Glcp-(1→4)-β-Psep-(2→
Структуру, схожую со структурой C. fucicola NN015860T, имеет ОПС E. coli O136 [67].
Интересным с точки зрения структуры представляется ОПС микроорганизма C. pacifica KMM 3664T, изолированного из образца воды, собранной в Амурском заливе Японского моря [68]:
α-D-Fucp4NAc
1
↓
4
→3)-β-D-ManpNAcA-(1→4)-β-D-ManpNAcA-(1→3)-β-D-GlcpNAc-(1→
Все моносахаридные остатки тетрасахаридного повторяющегося звена ОПС этого микроорганизма представлены аминосахарами. Остатки D-ManpNAcA и D-Fucp4NAc являются компонентами общего энтеробактериального антигена [69, 70].
Штамм EМ41Т C. tyrosinoxydans был выделен из образца морской воды, собранной у восточного побережья о-ва Чеджу (Южная Корея). ОПС C. tyrosinoxydans EМ41Т построен из разветвленных пентасахаридных повторяющихся звеньев [71]:
→4)-a-L-Fucp-(1→3)-b-D-GlcpNAc-(1→3)-a-L-Rhap-(1→2)-a-L-Rhap-(1→
2
↑
1
b-D-QuipNAc
Данный ОПС не содержит в своем составе кислых моносахаридных остатков, что является нетипичным, как для исследованных на текущий момент полисахаридов бактерий рода Cellulophaga, так и других морских бактерий. Интересно отметить, что идентичный трисахаридный фрагмент →3)-b-D-GlcpNAc-(1→3)-a-L-Rhap-(1→2)-a-L-Rhap-(1→ ранее был обнаружен в составе ОПС некоторых патогенных микроорганизмов (http://csdb.glycoscience.ru/database).
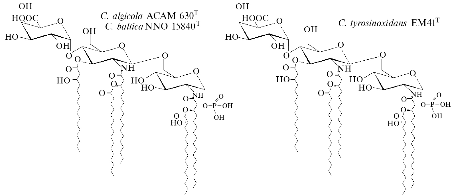
Для трех бактерий, C. algicola ACAM 630T, C. baltica NNO 15840T и C. tyrosinoxydans EM41T, были установлены структуры липида А (рис. 3). Показано, что липиды А C. algicola ACAM 630T и C. baltica NNO 15840T представляют собой сложную гетерогенную смесь, из которой превалирующие формы состоят из трисахаридного остова, декорированного одной фосфатной группой и ацилированного двумя 17:0(3-OH), одной 16:0(3-OH), одной 15:0(2-OH) и одной 16:0 жирными кислотами. Липид А C. tyrosinoxydans EM41T отличается от них одной ацильной цепью, а именно 16:0(3-OH) кислотой в положении 2΄. Исследование иммуностимулирующей активности показало, что ЛПС из штаммов C. baltica NNO 15840T и C. tyrosinoxydans EM41T проявляют более низкую активацию TLR4 по сравнению с ЛПС из S. typhimurium, в то время как действие ЛПС из C. algicola ACAM 630T сравнимо с действием ЛПС S. typhimurium. Данный эффект можно объяснить присутствием в составе ЛПС C. algicola ACAM 630T минорных дифосфорилированных изоформ липида [72].
Рис. 3. Структуры липидов А C. algicola ACAM 630T, C. baltica NNO 15840T и C. tyrosinoxydans EM41T
Заключение
Необходимо отметить, что микроорганизмы являются важной составной частью морских экосистем и играют существенную роль в процессах трансформации и минерализации органического материала. Морфологические и физиолого-биохимические признаки и свойства морских микроорганизмов обусловлены влиянием таких специфических факторов среды обитания, как высокая концентрация солей, гидростатическое давление, низкие температуры и др. Соответственно, характерной особенностью многих микроорганизмов, обитающих в море, является их гало-, психро-, барофильность и гало-, психро-, баротолерантность.
Существующие в настоящее время данные позволяют утверждать, что углеводсодержащие биополимеры морских грамотрицательных бактерий отличаются большим разнообразием, встречаются как кислые полисахариды, так и нейтральные. Некоторые микроорганизмы способны продуцировать полисахариды с поликатионной или двойственной цвиттер-ионной природой. Подавляющее большинство полисахаридов морских бактерий построены из довольно редко встречающихся в природе компонентов, среди которых производные уроновых, 2-амино-2-дезоксигексуроновых и 2,3-диамино-2,3-дидезоксигексуроновых кислот. Широко представлены и различные N-ацильные производные аминосахаров, кетосахаров и высших моносахаридов. Среди заместителей неуглеводной природы встречаются остатки карбоновых кислот, неорганических кислот, различные аминокислоты и их производные. Кроме того, отмечены полисахариды, состоящие только из повсеместно распространенных моносахаридов, но, как правило, такие полисахариды являются исключением из общей тенденции. Благодаря высокой структурной неоднородности и наличию разнообразных заряженных функциональных групп углеводсодержащие биополимеры морских грамотрицательных бактерий могут действовать как буферная система, способная регулировать рН и солевой баланс на внешней поверхности мембраны, тем самым защищая бактерии от агрессивных условий окружающей среды. С другой стороны, огромное структурное разнообразие, обеспечивающее широкий спектр конформационных возможностей, предполагает наличие у полисахаридов морских грамотрицательных бактерий разноплановой биологической активности.
Благодаря своему экологическому и биохимическому разнообразию морские бактерии считаются хорошими кандидатами для биотехнологического применения. Углеводсодержащие биополимеры морских бактерий выгодно отличаются от полисахаридов растений и водорослей тем, что для них можно создать определенные воспроизводимые контролируемые параметры производства, в результате чего исключается экологическое воздействие и достигается высокое качество конечного продукта. Вместе с тем превращение бактериального гликополимера в биотехнологический продукт требует скоординированных фундаментальных и прикладных исследований с привлечением всего необходимого опыта для перехода от лабораторных условий к рынку биополимеров.
Об авторах
Максим Сергеевич Кокоулин
Тихоокеанский институт биоорганической химии им. Г.Б. Елякова ДВО РАН
Автор, ответственный за переписку.
Email: maxchem@mail.ru
ORCID iD: 0000-0003-2245-6802
кандидат химических наук, старший научный сотрудник
Россия, ВладивостокАлександра Сергеевна Кузьмич
Тихоокеанский институт биоорганической химии им. Г.Б. Елякова ДВО РАН
Email: assavina@mail.ru
ORCID iD: 0000-0001-5358-5880
научный сотрудник
Россия, ВладивостокАлина Петровна Фильштейн
Тихоокеанский институт биоорганической химии им. Г.Б. Елякова ДВО РАН
Email: alishichka@mail.ru
ORCID iD: 0009-0000-6293-6582
кандидат химических наук, младший научный сотрудник
Россия, ВладивостокСписок литературы
- Rothschild L. J., Mancinelli R. L. Life in extreme environments // Nature. 2001. Vol. 409, N6823. P. 1092–1100.
- Di Lorenzo F., Duda K. A., Lanzetta R., Silipo A., De Castro C., Molinaro A. A. Journey from structure to function of bacterial lipopolysaccharides // Chem. Rev. 2022. Vol. 122, N20. P. 15767–15821.
- Poli A., Anzelmo G., Nicolaus B. Bacterial exopolysaccharides from extreme marine habitats: Production, characterization and biological activities // Mar. Drugs. 2010. Vol 8. P. 1779–1802.
- Casillo A., Lanzetta R., Parrilli M., Corsaro M. M. Exopolysaccharides from marine and marine extremophilic bacteria: Structures, properties, ecological roles and applications // Mar. Drugs. 2018. Vol 16. P. 69.
- Nazarenko E. L., Komandrova N. A., Gorshkova R. P., Tomshich S. V., Zubkov V. A., Kilcoyne M., Savage A. V. Structures of polysaccharides and oligosaccharides of some Gram-negative marine Proteobacteria // Carbohydr. Res. 2003. Vol. 338. P. 2449–2457.
- Leone S., Silipo A., Nazarenko E. L., Lanzetta R., Parrilli M., Molinaro A. Molecular structure of endotoxins from Gram-negative marine bacteria: an update. (Review) // Mar. Drugs. 2007. Vol. 5, N3. P. 85–112.
- Nazarenko E. L., Crawford R. J., Ivanova E. P. The structural diversity of carbohydrate antigens of selected gram-negative marine bacteria // Mar. Drugs. 2011. Vol. 9, N10. P. 1914–1954.
- Di Lorenzo F., Billod J.-M., Martin-Santamaria S., Silipo A., Molinaro A. Gram-negative extremophile lipopolysaccharides: Promising source of inspiration for a new generation of endotoxin antagonists // European. J. Org. Chem. 2017. Vol. 28. P. 4055–4073.
- Garcia-Vello P., Di Lorenzo F., Zucchetta D., Zamyatina A., De Castro C., Molinaro A. Lipopolysaccharide lipid A: A promising molecule for new immunity-based therapies and antibiotics // Pharmacol. Ther. 2022. Vol. 230. 107970.
- Molinaro A., Holst O., Di Lorenzo F., Callaghan M., Nurisso A., D’Errico G., Zamyatina A., Peri F., Berisio R., Jerala R., Jiménez-Barbero J., Silipo A., Martín-Santamaría S. Chemistry of lipid A: at the heart of innate immunity // Chemistry. 2015. Vol. 21. P. 500–519.
- Romanenko L. A., Zhukova N. V., Rhode M., Lysenko A. M., Mikhailov V. V., Stackebrandt E. Pseudoalteromonas agarivorans sp. nov., a novel marine agarolytic bacterium // Int. J. Syst. Evol. Microbiol. 2003. Vol. 53. P. 125–131.
- Командрова Н. А., Томшич С. В., Исаков В. В., Романенко Л. А. Структура сульфатированного О-специфического полисахарида морской бактерии Pseudoalteromonas marinoglutinosa KMM 232 // Биохимия. 1998. Т. 63, № 10. С. 98–103.
- Kokoulin M. S., Komandrova N. A., Kalinovskiy A., Tomshich S. V., Romanenko L. A., Vaskovsky V. E. Structure of the O-specific polysaccharide from the deep-sea marine bacterium Idiomarina abyssalis KMM 227T containing a 2-O-sulfate-3-N-(4-hydroxybutanoyl)-3,6-dideoxy-D-glucose // Carbohydr. Res. 2015. Vol. 413. P. 100–106.
- Kokoulin M. S., Lizanov I. N., Romanenko L. A.., Chikalovets I. V. Structure of phosphorylated and sulfated polysaccharides from lipopolysaccharide of marine bacterium Marinicella litoralis KMM 3900T // Carbohydr. Res. 2020. Vol. 490. 107961.
- Kokoulin M. S., Filshtein A. P., Romanenko L. A., Chikalovets I. V., Chernikov O. V. Structure and bioactivity of sulfated α-D-mannan from marine bacterium Halomonas halocynthiae KMM 1376T // Carbohydr. Polym. 2020. Vol. 229. 115556.
- Knirel Y. A., Kochetkov N. K. The structure of lipopolysaccharides of gram-negative bacteria. III. The structure of O-antigens: A review // Biochemistry (Moscow). 1994. Vol. 59, N12. P. 1325–1383.
- Peréz Recalde M., Noseda M. D., Pujol C. A., Carlucci M. J., Matulewicz M. C. Sulfated mannans from the red seaweed Nemalion helminthoides of the South Atlantic // Phytochemistry. 2009. Vol. 70. P. 1062–1068.
- Fernándeza P. V., Estevez J. M., Cerezo A. S., Ciancia M. Sulfated β-D-mannan from green seaweed Codium vermilara // Carbohydr. Polym. 2012. Vol. 87. P. 916–919.
- Cobet A. B., Wirsen C. Jr., Jones G. E. The effect of nickel on a marine bacterium, Arthrobacter marinus sp.nov // J. Gen. Microbiol. 1970. Vol. 62, N2. P. 159–169.
- Baumann L., Baumann P., Mandel M., Allen R. D. Taxonomy of aerobic marine eubacteria // J. Bacteriol. 1972. Vol. 110, N. 1. P. 402–429.
- Baumann L., Bowditch R. D., Baumann P. Description of Deleya gen. nov. created to accommodate the marine species Alcaligenes aestus, A. pacificus, A. cupidus, A. venustus, and Pseudomonas marina // Int. J. Syst. Bacteriol. 1983. Vol. 33. P. 793–802.
- Dobson S. J., Franzmann P. D. Unification of the genera Deleya (Baumann et al. 1983), Halomonas (Vreeland et al. 1980), and Halovibrio (Fendrich 1988) and the species Paracoccus halodenitrificans (Robinson and Gibbons 1952) into a single genus, Halomonas, and placement of the genus Zymobacter in the family Halomonadaceae // Int. J. Syst. Bacteriol. 1996. Vol. 46. P. 550–558.
- Arahal D. R., Castillo A. M., Ludwig W., Schleifer K. H., Ventosa A. Proposal of Cobetia marina gen. nov., comb. nov., within the family Halomonadaceae, to include the species Halomonas marina // Syst. Appl. Microbiol. 2002. Vol. 25, N2. P. 207–211.
- Kim M. S., Roh S. W., Bae J. W. Cobetia crustatorum sp. nov., a novel slightly halophilic bacterium isolated from traditional fermented seafood in Korea // Int. J. Syst. Evol. Microbiol. 2010. Vol. 60, N. 3. P. 620–626.
- Kokoulin M. S., Kalinovsky A. I., Komandrova N. A., Tomshich S. V., Romanenko L. A., Vaskovsky V. E. The sulfated O-specific polysaccharide from the marine bacterium Cobetia pacifica KMM 3879T // Carbohydr. Res. 2014. Vol. 387, N1. P. 4–9.
- Kokoulin M. S., Kalinovskiy A. I., Komandrova N. A., Tomshich S. V., Romanenko L. A., Vaskovsky V. E. The new sulfated O-specific polysaccharide from marine bacterium Cobetia pacifica KMM 3878, containing 3,4-O-[(S)-1-carboxyethylidene]-d-galactose and 2,3-O-disulfate-D-galactose // Carbohydr. Res. 2014. Vol. 397, N1. P. 46–51.
- Kokoulin M. S., Kuzmich A. S., Kalinovsky A. I., Tomshich S. V., Romanenko L. A., Mikhailov V. V., Komandrova N. A. Structure and anticancer activity of sulfated O-polysaccharide from marine bacterium Cobetia litoralis KMM 3880T // Carbohydr. Polym. 2016. Vol. 154. P. 55–61.
- Matsuda M., Hasui M., Okutani K. Structural analysis of a sulfated polysaccharide from a marine Pseudomonas // Nippon Suisan Gakkaishi. 1993. Vol. 59, N3. P. 535–538.
- Matsuda M., Yamori T., Naitoh M., Okutani K. Structural revision of sulfated polysaccharide B-1 isolated from a marine Pseudomonas species and its cytotoxic activity against human cancer cell lines // Mar. Biotechnol. 2003. Vol. 5. P. 13–19.
- Kokoulin M. S., Sigida E. N., Kuzmich A. S., Ibrahim I. M., Fedonenko Yu.P., Konnova S. A. Structure and antiproliferative activity of the polysaccharide from Halomonas aquamarina related to Cobetia pacifica // Carbohydr. Polym. 2022. Vol. 298. 120125.
- Kokoulin M. S., Kuzmich A. S., Kalinovsky A. I., Rubtsov E. S., Romanenko L. A., Mikhailov V. V., Komandrova N. A. Structure and in vitro anticancer activity of sulfated O-polysaccharide from marine bacterium Poseidonocella pacifica KMM 9010T // Carbohydr. Polym. 2017. Vol. 178. P. 406–411.
- Kokoulin M. S., Kuzmich A. S., Romanenko L. A., Menchinskaya E. S., Mikhailov V. V., Komandrova N. A., Chernikov O. V. Sulfated O-polysaccharide with anticancer activity from the marine bacterium Poseidonocella sedimentorum KMM 9023T// Carbohydr. Polym. 2018. Vol. 202. P. 157–163.
- Shashkov A. S., Streshinskaya G. M., Tulskaya E. M., Senchenkova S. N., Baryshnikova L. M., Dmitrenok A. S., Ostash B. E., Fedorenko V. A. // Antonie Van Leeuwenhoek. 2016. Vol. 109. P. 923–936.
- Gil-Serrano A.M., Rodríguez-Carvajal M.A., Tejero-Mateo P., Espartero J. L., Thomas-Oates J., Ruiz-Sainz J.E., Ia-Claveria Buend A. M. Structural determination of a 5-O-methyl-deaminated neuraminic acid (Kdn)-containing polysaccharide isolated from Sinorhizobium fredii // Biochem. J. 1998. Vol. 334. P. 585–594.
- Knirel Y. A., Kocharova N. A., Shashkov A. S., Kochetkov N. K., Mamontova V. A., Solovéva T. F. Structure of the capsular polysaccharide of Klebsiella ozaenae serotype K4 containing 3-deoxy-D-glycero-D-galacto-nonulosonic acid // Carbohydr. Res. 1989. Vol. 188. P. 145–155.
- Kokoulin M. S., Kuzmich A. S., Romanenko L. A., Chikalovets I. V. Sulfated capsular polysaccharide from the marine bacterium Kangiella japonica inhibits T-47D cells growth in vitro // Carbohydr. Polym. 2022. Vol. 290. 119477.
- Young N. M., Kreisman L. S., Stupak J., MacLean L.L., Cobb B. A., Richards J. C. Structural characterization and MHCII-dependent immunological properties of the zwitterionic O-chain antigen of Morganella morganii // Glycobiology. 2011. Vol. 21, N10. P. 1266–1276.
- Kilcoyne M., Perepelov A. V., Tomshich S. V., Komandrova N. A., Shashkov A. S., Romanenko L. A., Knirel Y. A., Savage A. V. Structure of the O-polysaccharide of Idiomarina zobellii KMM 231T containing two unusual amino sugars with the free amino group, 4-amino-4,6-dideoxy-D-glucose and 2-amino-2-deoxy-L-guluronic acid // Carbohydr. Res. 2004. Vol. 339, N3. P. 477–482.
- Kuzmich A. S., Romanenko L. A., Kokoulin M. S. Cell-cycle arrest and mitochondria-dependent apoptosis induction in T-47D cells by the capsular polysaccharide from the marine bacterium Kangiella japonica KMM 3897 // Carbohydr. Polym. 2023. Vol. 320. 121237.
- Cavicchioli R., Thomas T. Extremophiles // Lederberg J., Alexander M., Bloom B. R., Hopwood D., Hull R., Iglewski B. H., Laskin A. I., Oliver S. G., Schaechter M., Summers W. C. (eds). Encylopedia of microbiology, 2nd edn. San Diego: Academic Press Inc., 2000. P. 317–337.
- Feller G., Gerday C. Psychrophilic enzymes: hot topics in cold adaptation // Nat. Rev. Microbiol. 2003. Vol. 1. P. 200–208.
- Kokoulin M. S., Kuzmich A. S., Romanenko L. A., Chikalovets I. V., Chernikov O. V. Structure and in vitro bioactivity against cancer cells of the capsular polysaccharide from the marine bacterium Psychrobacter marincola // Mar. Drugs. 2020. Vol. 18, N5. P. 268.
- Casillo A., Ricciardelli A., Parrilli E., Tutino M. L., Corsaro M. M. Cell-wall associated polysaccharide from the psychrotolerant bacterium Psychrobacter arcticus 273-4: isolation, purification and structural elucidation // Extremophiles. 2020. Vol. 24. P. 63–70.
- Kondakova A. N., Novototskaya-Vlasova K.A., Arbatsky N. P., Drutskaya M. S., Shcherbakova V. A., Shashkov A. S., Gilichinsky D. A., Nedospasov S. A., Knirel Y. A. Structure of the O-specific polysaccharide from the lipopolysaccharide of Psychrobacter cryohalolentis K5T containing a 2,3,4-triacetamido-2,3,4-trideoxy-L-arabinose moiety // J. Nat. Prod. 2012. Vol. 75. P. 2236–2240.
- Kokoulin M. S., Kuzmich A. S., Romanenko L. A., Chikalovets I. V. Structure and in vitro antiproliferative activity of the acidic capsular polysaccharide from the deep-sea bacterium Psychrobacter submarinus KMM 225Т // Carbohydr. Polym. 2021. Vol. 262. 117941 (1–8).
- Kondakova A. N., Novototskaya-Vlasova K.A., Shashkov A. S., Drutskaya M. S., Senchenkova S. N., Shcherbakova V. A., Gilichinsky D. A., Nedospasov S. A., Knirel Y. A. Structure of an acidic polysaccharide isolated from Psychrobacter maritimus 3pS containing a bacillosamine derivative // Carbohydr. Res. 2012. Vol. 359. P. 7–10.
- Leone S., Izzo V., Silipo A., Sturiale L., Garozzo D., Lanzetta R., Parrilli M., Molinaro A., Di Donato A. A novel type of highly negatively charged lipooligosaccharide from Pseudomonas stutzeri OX1 possessing two 4,6-O-(1-carboxy)-ethylidene residues in the outer core region // European. J. Org. Chem. 2004. Vol. 271. P. 2691–2704.
- Perepelov A. V., Weintraub A., Liu B., Senchenkova S. N., Shashkov A. S., Feng L., Wang L., Widmalm G., Knirel Y. A. The O-polysaccharide of Escherichia coli O112ac has the same structure as that of Shigella dysenteriae type 2 but is devoid of O-acetylation: a revision of the S. dysenteriae type 2 O-polysaccharide structure // Carbohydr. Res. 2008. Vol. 343. P. 977–981.
- Adeyeye A., Jansson P.-E., Lindberg B. Structural studies of the Escherichia coli O-149 O-antigen polysaccharide // Carbohydr. Res. 1988. Vol. 176. P. 231–236.
- Kokoulin M. S., Romanenko L. A., Kuzmich A. S., Chernikov O. V. Structure of the cell-wall-associated polysaccharides from the deep-sea marine bacterium Devosia submarina KMM 9415T// Mar. Drugs. 2021. Vol. 19. P. 665.
- Gilbert M., Mandrell R. E., Parker C. T., Li J., Vinogradov E. Structural analysis of the capsular polysaccharide from Campylobacter jejuni RM1221 // ChemBioChem. 2007. Vol. 8. P. 625–631.
- Perepelov A. V., Senchenkova S. N., Kalinchuk N. A., Shashkov ,A.S., Knirel Yu. A. Structure of O-polysaccharide of Escherichia coli O95: a disaccharide repeating unit containing D-fucose and D-threo-pent-2-ulose (xululose) // Russ. Chem. Bull. 2018. Vol. 67. P. 1931-1933.
- Gorshkova R. P., Isakov V. V., Kalmykova E. N., Ovodov Y. S. Structural studies of O-specific polysaccharide chains of the lipopolysaccharide from Yersinia enterocolitica serovar O:10 // Carbohydr. Res. 1995. Vol. 268, N2. P. 249–255.
- Sato N., Nakazawa F., Ito T., Hoshino T., Hoshino E. The structure of the antigenic polysaccharide produced by Eubacterium saburreum T15 // Carbohydr. Res. 2003. Vol. 338, N9. P. 923–930.
- Jorgensen B. B., Boetius A. Feast and famine – Microbial life in the deep-sea bed // Nat. Rev. Microbiol. 2007. Vol. 5. P. 770–781.
- Kallmeyer J., Pockalny R., Adhikari R. R., Smith D. C., D’Hondt S. Global distribution of microbial abundance and biomass in subseafloor sediment // Proc. Natl. Acad. Sci. U.S.A. 2012. Vol. 109. P. 16213–16216.
- Mohamed J., Bruno F., Eric G., Philippe O. Microbial diversity and adaptation to high hydrostatic pressure in deep-sea hydrothermal vents prokaryotes // Extremophiles. 2015. Vol. 19. P. 721–740.
- Casillo A., Parrilli E., Tutino M. L., Corsaro M. M. The outer membrane glycolipids of bacteria from cold environments: isolation, characterization, and biological activity // FEMS Microbiol. Ecol. 2019. Vol. 95. fiz094.
- Holst O. Chemical structure of the core region of lipopolysaccharides. An update // Trends Glycosci. Glycotechnol. 2002. Vol. 14. P. 87–103.
- Ieranò T., Silipo A., Nazarenko E. L., Gorshkova R. P., Ivanova E. P., Garozzo D., Sturiale L., Lanzetta R., Parrilli M., Molinaro A. Against the rules: a marine bacterium, Loktanella rosea, possesses a unique lipopolysaccharide // Glycobiology. 2010. Vol. 20, N5. P. 586–593.
- Tomshich S. V., Kokoulin M. S., Kalinovsky A. I., Komandrova N. A., Nedashkovskaya O. I. Structure of the O-specific polysaccharide from a marine bacterium Echinicola vietnamensis KMM 6221T // Carbohydr. Res. 2015. Vol. 402. P. 1–5.
- Tomshich S. V., Kokoulin M. S., Kalinovsky A. I., Komandrova N. A., Nedashkovskaya O. I. Structure of the O-specific polysaccharide from a marine bacterium Echinicola pacifica KMM 6172T containing 2,3-diacetamido-2,3-dideoxy-D-glucuronic acid // Carbohydr. Res. 2016. Vol. 425. P. 22–27.
- Pither M. D., Mantova G., Scaglione E., Pagliuca C., Colicchio R., Vitiello M., Chernikov O. V., Hua K.-F., Kokoulin M. S., Silipo A., Salvatore P., Molinaro A., De Lorenzo F. The unusual lipid A structure and immunoinhibitory activity of LPS from marine bacteria Echinicola pacifica KMM 6172T and Echinicola vietnamensis KMM 6221T // Microorganisms. 2021. Vol. 9, N12. 2552.
- Tomshich S. V., Kokoulin M. S., Kalinovskiy A. I., Nedashkovskaya O. I., Komandrova N. A. Structure of the O-specific polysaccharide from a marine bacterium Cellulophaga algicola // Carbohydr. Res. 2017. Vol. 443/444. P. 68–72.
- Томшич С. В., Командрова Н. А., Перепелов А. В., Видмальм Г., Недашковская О. И., Шашков А. С. Структура кислого О-специфического полисахарида Cellulophaga baltica // Биоорган. химия. 2007. Т. 33, № 1. C. 91–95.
- Perepelov A. V., Shashkov A. S., Tomshich S. V., Komandrova N. A., Nedashkovskaya O. I. A pseudoaminic acid-containing O-specific polysaccharide from a marine bacterium Cellulophaga fucicola // Carbohydr. Res. 2007. Vol. 342, N10. P. 1378–1381.
- Staaf M., Weintraub A., Widmalm G. Structure determination of the O-antigenic polysaccharide from the enteroinvasive Escherichia coli O136 // Eur. J. Biochem. 1999. Vol. 263, N3. P. 656–661.
- Perepelov A. V., Shashkov A. S., Tomshich S. V., Komandrova N. A., Nedashkovskaya O. I. Structure of the O-specific polysaccharide from a marine bacterium Cellulophaga pacifica containing rarely occurred sugars, Fuc4NAc and ManNAcA // Carbohydr. Res. 2013. Vol. 372. P. 69–72.
- Erbel P. J., Barr K., Gao N., Gerwig G. J., Rick P. D., Gardner K. H. Identification and biosynthesis of cyclic enterobacterial common antigen in Escherichia coli // J. Bacteriol. 2003. Vol. 185, N6. P. 1995–2004.
- Vinogradov E. V., Knirel Y. A., Thomas-Oates J.E., Shashkov A. S., L’vov V. L. The structure of the cyclic enterobacterial common antigen (ECA) from Yersinia pestis // Carbohydr. Res. 1994. Vol. 258. P. 223–232.
- Tomshich S. V., Kokoulin M. S., Kalinovsky A. I., Nedashkovskaya O. I., Komandrova N. A. Structure of the O-specific polysaccharide from a marine bacterium Cellulophaga tyrosinoxydans // Carbohydr. Res. 2015. Vol. 413. P. 1–4.
- Cirella R., Pagliuca Ch., Pither M. D., Scaglione E., Nedashkovskaya O. I., Chernikov O. V., Hua K.-F., Colicchio R., Vitiello M., Kokoulin M. S., Silipo A., Salvatore P., Molinaro A., Di Lorenzo F. Pushing the boundaries of structural heterogeneity with the lipid A of marine bacteria Cellulophaga // ChemBioChem. 2023. Vol. 24, N10. e202300183.
Дополнительные файлы





